O post Nutrientes para o cafeeiro: quais são os mais importantes? apareceu primeiro em Rehagro Blog.
]]>A interação entre as diferentes fases, junto com as plantas e a biota, resultam em interações complexas responsáveis por fornecerem serviços ambientais que possibilitam a vida na Terra.
Assim, o solo tem funcionalidades no sequestro de carbono, na purificação da água e degradação de contaminantes, na regulagem do clima, na ciclagem de nutrientes, e principalmente na produção de alimentos, fibras, combustíveis, entre outras diversas funções.
Sem tempo para ler agora? Baixe este artigo em PDF!

Representação gráfica hipotética da composição do solo.
É importante ressaltar que as proporções das fases variam de acordo com cada solo e os percentuais descritos são a base do que se espera encontrar no solo.
As diferentes fases do solo são interligadas e estão constantemente realizando trocas, juntamente com as raízes das plantas. Nos colóides do solo, ou seja, na fase sólida do solo, existem cargas negativas (ânions) e cargas positivas (cátions) e assim como nos ímãs, as cargas opostas se atraem.
Diante disso, existe a CTC (Capacidade de Troca de Cátions) e a CTA (Capacidade de Troca de Ânions), sendo a CTC mais importante em nossa realidade, visto que os solos brasileiros por serem, de modo geral, altamente intemperizados, são constituídos principalmente de cargas negativas, atraindo então as cargas positivas.
Visto que a nutrição das plantas depende diretamente das cargas, a “série liotrópica” demonstra a ordem preferencial de retenção de cátions na fase sólida do solo:
H+ >>Al3+>Ca2+>Mg2+>K+ ~NH4 + >Na+
Ou seja, o solo tende apresentar maior teor de cálcio do que de magnésio, maior teor de magnésio do que de potássio, e assim por diante.
Diante disso, o que explica a série liotrópica?
A composição química das plantas se baseia em:

Estrutura da planta de café.
Desse modo, assim como nós seres humanos, as plantas também precisam se nutrir. Nesse sentido, existem algumas leis que regem a fertilidade do solo e a nutrição de plantas, como:
Onde diz que o crescimento e a produção das lavouras são limitados pelo nutriente que se encontra em menor quantidade no solo (Liebig, 1843).
Mostra que o aumento da produção não é proporcional ao aumento do fator limitante, ou seja, se elevarmos gradativamente a aplicação de determinado fertilizante, a resposta das plantas em produção não aumentará linearmente ao aumento das doses de fertilizante (Mitscherlin, 1909).
Diz que o excesso de um nutriente no solo pode intoxicar a planta ou reduzir a eficácia e disponibilidade de outros. Como exemplo, o nitrogênio em excesso se torna tóxico para as plantas e o excesso de potássio que irá competir com Ca e Mg e inibir a absorção dos mesmos (Voisin, 1973).
Os nutrientes retirados pelas culturas, do desenvolvimento à produção, devem ser restituídos ao solo para evitar seu empobrecimento. Então quando tiramos a produção da lavoura estamos levando junto os nutrientes. Em uma lavoura com produção de 40 scs/ha já teríamos que fornecer 1,5 ton a cada dois anos, fora a correção da acidez ocasionada pela adubação nitrogenada (Voisin, 1973).
Alguns nutrientes são essenciais para a composição e funcionamento metabólico das plantas, eles são chamados de macro e micronutrientes. Os macronutrientes são os demandados em maiores quantidades enquanto os micronutrientes são exigidos em menores quantidades.
Dentre os macronutrientes estão:
Já dentro dos micronutrientes estão:
Esses nutrientes podem ser absorvidos por fluxo de massa (deslocamento do íon no mesmo sentido da água), por interceptação radicular (a raiz se encontra com o nutriente à medida em que vai crescendo) ou por difusão (íon vai de um ponto de maior concentração para um ponto de menor concentração).

Raízes do cafeeiro.
Em situações em que a proporção do nutriente do solo está baixa em relação à demanda da planta, pode ocorrer a deficiência que causa anomalias principalmente nas folhas, por onde é feito o diagnóstico visual. Todavia, é importante realizar análises periódicas de solo e de folha para evitar que isso aconteça.
Nutrientes onde a deficiência inicial ocorre em folhas velhas, são os que conseguem mobilizar novamente as reservas de folhas velhas para folhas novas, que são alguns macronutrientes, com exceção por exemplo do cálcio.
Já quando a deficiência inicial ocorre em folhas novas, pode indicar a falta de micronutrientes que não conseguem redistribuir das folhas velhas para as novas no caso de déficit.

Folhas com deficiência de ferro.
Para recomendar fertilizantes, sejam eles foliares ou de solo, é preciso em primeiro lugar ter em mãos as análises de folha e de solo.
Assim é necessário levar em consideração, principalmente, o histórico produtivo e de doenças da lavoura, a expectativa de safra, analisar como está o solo e as relações entre os nutrientes.
A partir disso é possível fazer uma recomendação adequada, sempre pensando no equilíbrio do solo e nas condições da lavoura.
Com isso, há redução de gastos desnecessários e melhores resultados produtivos, mantendo a sustentabilidade e a funcionalidade de cada nutriente dentro das plantas.
A cafeicultura é oscilante, mas nos últimos tempos, as safras têm ganhado cada vez mais destaque e valorização. Aquele que se prepara, produz mais, lucra mais e já consegue planejar os próximos passos para que a próxima safra seja ainda mais produtiva.
Se você busca esse resultado, comece se atualizando com as novas técnicas de mercado.
No curso online Gestão na Produção de Café Arábica, você aprenderá com quem entende do assunto, pois os professores atuam em fazendas comerciais e passarão o conhecimento a você. Não perca mais tempo e tire suas dúvidas:


O post Nutrientes para o cafeeiro: quais são os mais importantes? apareceu primeiro em Rehagro Blog.
]]>O post Tipos de poda do café: quais são e quando recomendar? apareceu primeiro em Rehagro Blog.
]]>Dessa forma, é imprescindível conhecer os tipos de podas que podem ser realizadas e em que situações elas são recomendadas, para que não se recomende podas muito drásticas em situações em que não era necessário esse tipo de poda ou mesmo realizar podas menos drásticas em situações em que era preciso um maior reestabelecimento das lavouras.
Por isso, para decisão do tipo de poda a ser realizado é indispensável que se conheça a situação da lavoura, com intuito de se ter mais sucesso no manejo da poda.
Sem tempo para ler agora? Baixe este artigo em PDF!
É uma poda alta, em que se elimina a parte superior da copa dos cafeeiros.
Essa poda é recomendada para plantas que ainda possuem saia (ramos inferiores) e não estão adensadas, ela pode ser usada para reduzir a altura de plantas para realização de tratos culturais e de colheita mecanizada, para corrigir deformações ou mesmo para estimular brotações.
Este decote pode ser alto (2,0 a 2,5 m) ou baixo ( 1,2 a 1,8 m) dependendo da finalidade da poda.

Lavoura decotada (Foto: Henio Inácio Pereira)
Essa poda consiste em cortar as extremidades dos ramos plagiotrópicos para estimular a maior ramificação. É recomendada para lavouras que ainda apresentem saia, que estão abertas, com o intuito de estimular brotações nos ramos.
É o corte na lateral da planta, deixando os ramos plagiotrópicos a um comprimento médio de 20 a 30 cm do ramo ortotrópico, com o intuito de promover a abertura da lavoura, visto que esse tipo de poda é recomendado para lavouras que estão adensadas, mas que ainda possuem saia.
Esse tipo de poda também é chamado safra zero, visto que no ano seguinte a essa poda o cafeeiro irá apenas vegetar, não apresentando produção, no entanto, no segundo ano após o corte, pode-se ter altas produtividades que podem compensar o ano sem produção.
É uma poda drástica, recomendada normalmente para lavouras que perderam a saia (ramos inferiores) ou para cafeeiros muito depauperados, mas que ainda apresentam um bom stand de plantas e bom alinhamento da lavoura.
Essa poda é realizada cortando em uma altura de 0,3 a 0,4 m. Após a realização desta poda é importante determinar o número de hastes que se vai conduzir de acordo com o espaçamento e eliminar o excesso de hastes que irão brotar.

Lavoura de café recepada (Foto: Henio Inácio).

Lavoura da cultivar Catucaí com um ano após a recepa. (Foto: Henio Inácio).
Já no caso, de lavouras que perderam a saia, possuem falha de stand, espaçamento inadequado ou alinhamento ruim, é recomendado a realização de um novo plantio, visando implantar a lavoura com um espaçamento adequado e melhorar o stand de plantas.

Plantio após arranquio de lavoura com baixo stand de plantas (Foto: Diego Baquião).

Lavoura em formação. (Foto: Luiz Paulo Vilela).
A poda no cafeeiro acarreta em morte de parte das raízes, devido ao equilíbrio entre raiz e parte aérea, dessa forma quando realizada podas menos drásticas, como o decote, a porcentagem de raízes vivas são maiores, refletindo assim em menor gasto de energia para o crescimento dessas plantas.
No entanto, quando realizada podas mais drásticas, como é o caso da recepa e do esqueletamento, ocorre grande modificação do sistema radicular, acarretando em menor porcentagem de raízes vivas, dessa forma, a planta necessitará de mais energia para o seu restabelecimento, para posteriormente retomar a produção de frutos.

Porcentagem de raízes vivas de acordo com os tipos de poda em plantas de café.
Portanto, para se recomendar a poda no cafeeiro, é preciso conhecer a situação da lavoura, para que a tomada de decisão do tipo de poda seja a que mais se encaixe nas condições que as plantas se encontram.
Além disso, é importante que se conheça os reflexos da poda nas plantas, e que este manejo seja planejado, visto que podas mais drásticas primeiramente irão vegetar para posteriormente produzir.
Estar de acordo com as novas técnicas de mercado é de suma importância para quem deseja produzir cafés com excelência.
Desde a implantação da lavoura, gestão de equipe na fazenda, manejos como a fertilidade e proteção, ou mesmo as fases finais de colheita e pós-colheita, é preciso ter domínio e segurança, caso queira obter sucesso.
Por isso, no Rehagro há o curso online Gestão na Produção de Café, onde professores atuantes em campo, ensinam de forma prática, atualizada e validada essas técnicas. Clique abaixo e conheça um pouco mais sobre esse curso:

O post Tipos de poda do café: quais são e quando recomendar? apareceu primeiro em Rehagro Blog.
]]>O post Maturadores na cultura do café: saiba mais sobre a utilização apareceu primeiro em Rehagro Blog.
]]>Diante disso, existem alternativas para otimizar o processo de colheita e auxiliar na manutenção da qualidade dos lotes, pela utilização de maturadores e retardadores de amadurecimento.
Sem tempo para ler agora? Baixe este artigo em PDF!
O etileno é um hormônio gasoso que promove o amadurecimento do fruto e outros processos. Na perspectiva da planta, o amadurecimento do fruto indica seu desenvolvimento completo, assim as sementes estão prontas para a dispersão.
E é com base nesse hormônio que os produtos maturadores atuam.

Estrutura química do etileno.
São, em resumo, aceleradores de maturação. O produto comercial mais conhecido nessa linha é o ETHREL®, constituído pelo Ethephon (ácido 2-cloro-etil-fosfônico). Essa substância após ser absorvida por meio de uma reação, é decomposta no citosol (meio básico) liberando o gás etileno.
Com isso acarreta em aumento da respiração, consequentemente, acelera a maturação dos frutos. No fruto de café o etileno degrada a clorofila, causando o desverdecimento do fruto e pedúnculo, facilitando sua retirada, o que possibilita a antecipação da colheita.
Os maturadores podem ser posicionados em situações como:

Frutos de café em processo de maturação após a aplicação de Ethepon. (Fonte: Joana Oliveira).
A utilização de maturadores exige técnica e conhecimento em relação ao processo. Assim como outros produtos, é essencial seguir as recomendações do fabricante.
Algumas recomendações importantes sobre seu uso são:

Medição do pH da água para aplicação do maturador. (Fonte: Joana Oliveira).
Em estudos, foi observado aumento na proporção de cereja de 36% para 60% nos tratamentos em que se utilizou Ethephon e elevação do volume de frutos colhidos na primeira e segunda passada.
Além disso, não observaram diferenças em relação à desfolha e qualidade da bebida do café colhido mecanicamente em duas passadas, entre as plantas tratadas ou não com Ethephon (Silva et al. 2009).
Já segundo os estudos de Negreiros et al. (2009), o produto aplicado interfere na qualidade da bebida e na classificação do café, por promover a uniformidade da maturação.

Resultados dos tipos de bebida de cada tratamento (0, 15, 30 e 45 DAA) com e sem a presença de Ethepon. Dois Córregos, SP. 2017.
Percebe-se que até 30 dias após a aplicação do Ethephon, a qualidade da bebida foi superior ou igual entre os tratamentos com e sem ethrel. A partir dos 30 dias, já houve a queda na qualidade do tratamento com ethrel, possivelmente devido ao fato dos frutos terem passado do ponto ideal de colheita.
O maturador possui ação externa ao fruto, ou seja, ele tem poder de maturação na casca do café, assim, não acelera o desenvolvimento fisiológico do fruto/semente.
Dessa forma, suas vantagens estão ligadas aos benefícios de se antecipar a colheita. Todavia, sua utilização deve ser cautelosa e planejada, visto que a aplicação incorreta pode causar danos às plantas ou até menos não ter o efeito desejado. Desse modo, apesar dos estudos apontarem baixa interferência na qualidade da bebida, em casos de lotes menores com finalidade de obter cafés especiais, deve ser feita uma avaliação mais criteriosa sobre o uso de maturadores.
A cafeicultura é oscilante, mas nos últimos tempos, as safras têm ganhado cada vez mais destaque e valorização. Aquele que se prepara, produz mais, lucra mais e já consegue planejar os próximos passos para que a próxima safra seja ainda mais produtiva.
Se você busca esse resultado, comece se atualizando com as novas técnicas de mercado.
No curso online Gestão na Produção de Café, você aprenderá com quem entende do assunto, pois os professores atuam em fazendas comerciais e passarão o conhecimento a você. Não perca mais tempo e tire suas dúvidas:


O post Maturadores na cultura do café: saiba mais sobre a utilização apareceu primeiro em Rehagro Blog.
]]>O post Secagem mecânica de cafés: manejo e cuidados apareceu primeiro em Rehagro Blog.
]]>A etapa de secagem consiste na remoção da água dos grãos de café colhidos, a fim de diminuir a ocorrência de variações, devido a fatores físicos, químicos e biólogos internos e externos ao grão, e assim, alcançar a homogeneidade dos lotes para atender aos padrões de comercialização.
A secagem dos grãos de café pode ser feita em secadores mecânicos, ou em terreiros, que podem ser:
Sem tempo para ler agora? Baixe este artigo em PDF!
Nos terreiros, a remoção da água dos grãos ocorre por meio da energia solar e o movimento natural do ar. Para uma secagem correta e uniforme em terreiros, é necessário dispor de grande mão-de-obra, espaço suficiente para comportar os picos da colheita, além de depender de condições climáticas favoráveis.
Já no caso de secadores mecânicos, essa remoção ocorre pela entrada de ar forçado e aquecido a diferentes temperaturas.
Frequentemente, aplica-se a combinação destes dois métodos, utilizando-se um período de pré-secagem em terreiros, quando o café ainda possui elevado teor de água, e a complementação em secadores mecânicos.
Há ainda os secadores mecânicos que dispensam o período de pré-secagem em terreiros, chamados de pré-secadores.
Com o avanço da cafeicultura, os secadores mecânicos ganharam espaço e hoje são altamente utilizados no processo, pois:
Com isso, o cafeicultor tem diferentes opções de secadores mecânicos no mercado e cada um possui suas características e especificidades.

Secador de baú. (Foto: Luiz Paulo Vilela).

Secador de leito fixo. (Foto: Joana Oliveira).

Secador horizontal. (Foto: Joana Oliveira).

Secador de camada fixa. (Foto: Luiz Paulo Vilela).
Para proceder à secagem mecânica, há diversas sub etapas para tornar esse trabalho eficiente, tais como:

Teores de umidade nos diversos tipos de cafés colhidos. (Fonte: Bártholo et al. (1989)).
Quando o objetivo do cafeicultor é a produção de cafés naturais especiais, é recomendado:

Termômetro na entrada de ar do secador. (Foto: Larissa Cocato).
Estar de acordo com as novas técnicas de mercado é de suma importância para quem deseja produzir cafés com excelência.
Desde a implantação da lavoura, gestão de equipe na fazenda, manejos como a fertilidade e proteção, ou mesmo as fases finais de colheita e pós-colheita, é preciso ter domínio e segurança, caso queira obter sucesso.
Por isso, no Rehagro há o Curso Gestão em Produção de Café, onde professores atuantes em campo, ensinam de forma prática, atualizada e validada essas técnicas.


O post Secagem mecânica de cafés: manejo e cuidados apareceu primeiro em Rehagro Blog.
]]>O post Terreiro suspenso no pós-colheita do café: como montar e técnicas de manejo apareceu primeiro em Rehagro Blog.
]]>O manejo do solo, os tratos culturais, e a colheita são elementos essenciais para obtenção de bons cafés. Todavia, a pós-colheita é uma das etapas mais influentes na manutenção da qualidade, principalmente, pelo processo de secagem, uma vez que, erros nesse processo prejudicam diretamente o produto final.
A secagem pode ser feita de diferentes formas, seja por meio de terreiros ou secadores mecânicos. Dentre estes, o terreiro suspenso tem ganhado espaço e mostrado ser efetivo na secagem de cafés especiais.
Sem tempo para ler agora? Baixe este artigo em PDF!

Foto: Larissa Cocato (Fazenda Guariroba).
O terreiro suspenso é uma estrutura de tela de malhas finas tipo sombrite 50%, sustentada por arame liso esticado sobre pilares de cimento, madeira ou outros materiais, e possui por finalidade secar lotes de café de forma lenta, evitando o contato dos grãos com o chão.
Esse tipo de estrutura é utilizada para secar pequenos lotes que possuem alto valor agregado, muito comum em propriedades produtoras de cafés especiais.
É indicado, preferencialmente, para cafés descascados e despolpados, por possibilitar um uso mais intensivo, pela redução no volume e pela sua secagem mais acelerada. O que não impede de também ser utilizada para secar o café natural.
Mas, quando falamos em secagem de um grande volume de café ou secagem de cafés commodity, não é viável a utilização desse tipo de terreiro, podendo-se optar por outras estratégias.
As diferenças entre os tipos de terreiros suspensos estão no piso e na cobertura.
De modo geral há 3 tipos distintos:


Foto: Larissa Cocato (Fazenda Guariroba).
Foto: Larissa Cocato (Fazenda Guariroba).
Foto: Larissa Cocato (Fazenda Barreiro/MG).
A cobertura evita que os grãos recebam umidade do orvalho durante a noite e em condições de chuva. Já a pavimentação do piso, evita que os grãos recebam umidade pela evaporação da água do solo.
Existem também pequenos terreiros suspensos, porém não fixados ao chão, chamados de camas africanas. Nesse tipo de terreiro, é possível recolher o terreiro inteiro e colocá-los empilhados em galpões durante a noite ou em dias de chuva.
Muitos fatores estão envolvidos na qualidade da bebida, como o material genético, terroir, nutrição, condições edafoclimáticas, ponto ideal de colheita, entre outros.
No entanto, o café seco em terreiro suspenso tem menor risco de fermentações indesejadas, desde que ele não entre em contato com o solo antes de chegar no terreiro.
Além disso, sua taxa de secagem é baixa, o que garante qualidade ao café, pelo fato de manter os compostos químicos íntegros dentro da membrana, não deixando que eles se percam no ambiente.
Algumas medidas são recomendadas para a construção do terreiro suspenso, no entanto, ele deve ser construído de forma a atender a necessidade de cada propriedade. Assim, as seguintes medidas são recomendadas:
É recomendado que o terreiro tenha recobrimento de telado mais grosso, como os utilizados em galinheiro, e também arames com esticadores na ponta.
A estrutura do terreiro pode ser metálica, cimento, e madeira, a escolha dependerá da disponibilidade de materiais e preferência da propriedade.
No terreiro suspenso a secagem de cafés naturais e descascados é feita da mesma forma. De acordo, com os seguintes manejos:
Algumas características do terreiro suspenso, como a baixa taxa de secagem do café e a anulação do contato dele com o chão, são responsáveis por garantir a manutenção da qualidade nessa etapa.
O manejo correto durante a secagem e a construção de uma estrutura adequada, são de grande importância para garantir o sucesso do processo.
Dessa forma, a escolha do método de secagem influencia fortemente na qualidade do produto final. No entanto, é importante estar atento à particularidade de cada um deles.
No caso da secagem mecânica, ela também pode ser uma opção, quando se deseja um processo mais rápido e menor custo com mão de obra, porém, requer muita atenção, pois se mal conduzido pode afetar a qualidade do café.
Estar de acordo com as novas técnicas de mercado é de suma importância para quem deseja produzir cafés com excelência.
Desde a implantação da lavoura, gestão de equipe na fazenda, manejos como a fertilidade e proteção, ou mesmo as fases finais de colheita e pós-colheita, é preciso ter domínio e segurança, caso queira obter sucesso.
Por isso, no Rehagro há o Curso Gestão na Produção de Café, onde professores atuantes em campo, ensinam de forma prática, atualizada e validada essas técnicas. Clique abaixo e conheça um pouco mais sobre esse curso:


O post Terreiro suspenso no pós-colheita do café: como montar e técnicas de manejo apareceu primeiro em Rehagro Blog.
]]>O post Tipos de colheita de café: como determinar o melhor? apareceu primeiro em Rehagro Blog.
]]>Existem diferentes tipos e sistemas de colheita do café, cada um deles possui características positivas e negativas. E é sobre isso que este texto abordará!
Sem tempo para ler agora? Baixe este artigo em PDF!
A colheita pode ser realizada de forma manual, semimecanizada e mecanizada. A determinação de qual o melhor sistema irá depender da mão de obra disponível, declive do terreno, escala de produção, e com o objetivo da propriedade.
O sistema de colheita manual consiste na derriça dos frutos com as mãos.

Colheita manual. Foto: Joana Oliveira
No sistema de colheita semimecanizada são utilizadas derriçadoras portáteis, manejadas manualmente, que provocam a vibração e queda dos frutos.
A colheita semimecanizada apresenta basicamente as mesmas características da colheita manual, porém, tem rendimento maior. Ela não possibilita a colheita seletiva e não é recomendada em lavouras de primeira e segunda safra, pois pode causar maior depauperamento das plantas.
A colheita é realizada a partir de máquinas colhedoras.

Colheita mecanizada. Foto: Joana Oliveira
No Brasil, apesar da desuniformidade na maturação dos frutos e devido ao número de floradas, ainda é possível realizar a colheita plena, que é a derriça completa dos frutos da planta, mesmo em diferentes estádios de maturação.
Assim, em todos os sistemas de colheita é possível fazer a colheita plena. Quando se trata da colheita manual e semimecanizada, que geralmente é feita apenas uma derriça completa, contudo, é recomendado que ocorram no momento de maior uniformidade de maturação, com o mínimo possível de grãos verdes, pois o café colhido verde perde na qualidade e no rendimento.
Já na colheita mecanizada, quando temos máquinas bem reguladas e período de colheita adequado, é possível colher grande quantidade de frutos cereja e esperar até que os frutos verdes remanescentes cheguem no estádio de maturação para realizar o repasse.
A maioria dos cafeicultores realiza esse tipo de colheita, principalmente, pela redução dos custos com essa prática.

Foto: Joana Oliveira
Na colheita seletiva, somente os frutos com maturação fisiológica completa, os denominados grãos cerejas, são colhidos. Essa prática visa, principalmente, alcançar o máximo potencial de qualidade dos cafés.
Dessa forma, é possível realizar a colheita seletiva no sistema manual e mecanizado. No manual, os frutos são selecionados a dedo e a avaliação da maturação é feita visualmente por sua coloração, o que aumenta a precisão.
No mecanizado, a colheita seletiva é feita por meio da regulagem da colhedora, são elas:
Nesse sentido, outra forma de regular a colhedora é pela metodologia proposta pelo Prof. Dr. Fábio Moreira da Silva – UFLA, chamada Índice Moreira.
Nessa metodologia a vibração deve ser dividida pela velocidade (i=vibração/velocidade). Assim, para colheita seletiva o índice i deve estar entre 0,5 e 0,7 e para colheita plena o índice deve estar entre 0,8 e 1,0.
Exemplo:
i = 700 vibração/ 1000 m/h = 0,7 (Colheita seletiva)
Isso proporcionará baixa quantidade de grãos verdes desprendidos da planta, colhendo em sua maioria os grãos secos e cereja que têm maior facilidade de desprendimento.
Assim, deve ser observada a maturação ao longo dos dias, para determinar o melhor momento para realizar novas derriças nessas lavouras.

Foto: Joana Oliveira
A melhor colheita é aquela que se adapta às condições e realidades de cada propriedade. Dessa forma, para avaliar e determinar a melhor opção, é preciso levar em consideração:
Com isso, entendemos que para determinar a melhor opção de colheita é preciso avaliar alguns fatores e encaixá-los à realidade de cada propriedade.
Deve-se levar em consideração a manutenção das lavouras, o custo, os objetivos da propriedade, a disponibilidade de ferramentas ou mão de obra, dentre outras.
Sabe-se que a colheita, seja ela mecanizada, manual ou semimecanizada, irá gerar certo estresse nas plantas. Assim, a colheita antecipada pode ajudar na recuperação da lavoura e na produção da safra seguinte. Para isso, é imprescindível ter planejamento e ferramentas prontamente disponíveis no período de colheita.
A cafeicultura é oscilante, mas nos últimos tempos, as safras têm ganhado cada vez mais destaque e valorização. Aquele que se prepara, produz mais, lucra mais e já consegue planejar os próximos passos para que a próxima safra seja ainda mais produtiva.
No curso online Gestão na Produção de Café Arábica, você aprenderá com quem entende do assunto, pois os professores atuam em fazendas comerciais e passarão o conhecimento a você. Não perca mais tempo e tire suas dúvidas:


O post Tipos de colheita de café: como determinar o melhor? apareceu primeiro em Rehagro Blog.
]]>O post Guia completo sobre calagem na cultura do café apareceu primeiro em Rehagro Blog.
]]>Receba um guia completo e 100% gratuito sobre o assunto.
A calagem é a aplicação de calcário no solo com o objetivo de corrigir sua acidez.
Solos ácidos possuem um baixo pH, o que afeta a disponibilidade de nutrientes para as plantas, prejudicando seu desenvolvimento. Com a aplicação do calcário, conseguimos elevar o pH do solo, melhorando essa disponibilidade.
Além disso, ele fornece cálcio, magnésio e neutraliza o alumínio, que é prejudicial para o desenvolvimento do sistema radicular.
Acesse o guia completo sobre a calagem no café e tenha acesso a todas as informações sempre que necessário:
O post Guia completo sobre calagem na cultura do café apareceu primeiro em Rehagro Blog.
]]>O post Pontos importantes na escolha de mudas de café para o plantio apareceu primeiro em Rehagro Blog.
]]>A etapa do viveiro é de grande importância dentro do processo e precisa de atenção e certo nível de detalhamento, visto que, nesta fase as plântulas de café são sensíveis e as mudas formadas serão a base para se obter lavouras produtivas.
Diante disso, alguns pontos podem e devem ser observados durante a aquisição de mudas:
Sem tempo para ler agora? Baixe este artigo em PDF!
As mudas, para serem levadas à campo, devem ter de quatro a seis pares de folhas, pois com menos de quatro pares, se houver alguma intempérie que cause desfolha, a muda terá o seu desenvolvimento comprometido e assim, maiores chances de morrer.
Já as mudas com mais de seis pares de folhas podem dificultar o manejo durante o plantio e aumentar o risco de tombamento.

Muda com bom desenvolvimento para ir à campo. Foto: Diego Baquião
É importante observar no viveiro a uniformidade das mudas em relação a cor, tamanho e arquitetura. Essas características podem estar ligadas a aspectos genéticos, o que auxilia na identificação de cultivares diferentes.
Além disso, as plantas devem estar em estádios similares para obtermos lavouras uniformes.

Viveiro de mudas. Foto: Diego Baquião
No viveiro, as principais doenças encontradas são: Rhizoctoniose, Bacterioses, Cercosporiose e Phoma. Elas podem ser identificadas da seguinte forma:
Causam lesões de 1 a 3 cm de extensão, que circundam o caule e provocam o estrangulamento. Consequentemente, paralisa a circulação da seiva e a planta fica sujeita à quebra. Em condições de alta umidade, é possível observar um bolor cinzento sobre a lesão.
É caracterizada por lesões foliares de coloração parda e escura, que podem ou não ser acompanhadas por um halo amarelado, o que provoca, posteriormente, a seca das folhas e pode chegar até a morte das mudas.
As folhas apresentam manchas circulares de coloração castanho clara a escura, com o centro branco-acinzentado, quase sempre envolvidas por um halo amarelado, o que acarreta a desfolha.

Muda de café com alta infestação de cercosporiose. Foto: Joana Oliveira
As folhas apresentam manchas irregulares de coloração escura, iniciando geralmente nos bordos, o que pode provocar curvatura.
É preciso observar a sanidade das mudas antes de levá-las à campo. O controle em campo pode se tornar muito mais difícil, devido às plantas já ficarem estressadas após o transplantio.
No início, principalmente, manter todas as folhas é essencial para o desenvolvimento e pegamento das mudas, e isso é dificultado na presença de doenças.
Além das doenças foliares, deve-se ter atenção ao solo. O recomendado para o substrato de viveiros é utilizar terra de barranco de áreas que nunca foi cultivado café, isso principalmente para evitar nematoides.
Em viveiros certificados é exigido a análise do substrato para garantir a sua sanidade. Uma das maiores fontes de disseminação de nematoides, todavia, são mudas contaminadas. Assim, é indicado realizar a análise particular do substrato das mudas adquiridas antes de levá-las para o plantio.
Deve-se ter em mente que uma vez a doença levada para lavoura, provavelmente, você terá problemas com ela durante todo seu ciclo, sobretudo, quando se trata de bacterioses e nematoides.
Dessa forma, realizar o diagnóstico ainda no viveiro pode te poupar dinheiro e evitar dores de cabeça.
Uma muda de qualidade é aquela que possui sistema radicular bem desenvolvido. As raízes são essenciais no pegamento da planta no campo. Assim, é preciso ter boa proporção entre parte aérea e sistema radicular, cerca de 1 para 1 em relação ao peso.

Parte aérea e raiz de mudas. Foto: Diego Baquião
Dessa forma, no viveiro, é preciso pedir autorização para abrir alguns saquinhos e verificar o volume de raízes, a consistência do substrato e a presença de pião-torto.
O substrato deve ter consistência firme, os saquinhos devem estar bem cheios para evitar que no plantio ocorra a desagregação e soltura da muda, o que a torna inviável ou dificulta o plantio.

Foto: Diego Baquião
Além disso, é importante verificar as raízes para avaliar a presença de pião-torto. Essa anormalidade ocorre pelo entortar da raiz pivotante do café. Isso pode acontecer pelo plantio incorreto, por anomalias das sementes etc.
Ao olhar somente a parte aérea da muda com pião-torto no viveiro, possivelmente não terá diferença das outras. O problema é observado quando as mudas já estão no campo.
Por isso, abrir alguns saquinhos te permite identificar irregularidades com as raízes, assim evita futuros contratempos.

Planta com pião-torto. Foto: Diego Baquião
A aclimatação é a preparação da muda para o plantio. Durante a formação do viveiro as plantas são mantidas sob o sombrite.
Ao final do processo, porém, é necessário retirar o sombrite para que as mudas se adaptem às condições de campo. Nessa fase, as plantas podem apresentar coloração verde-claro ou até mesmo aspecto amarelado.
Assim, nem sempre as mudas com folhas muito verdes, tenras e grandes são as melhores. Isso pode ser por falta de aclimatação e em campo sua resistência inicial é menor em comparação às mudas aclimatadas.
Com isso, a qualidade das mudas está relacionada a fatores genéticos, bom desenvolvimento da parte aérea e radicular, boa sanidade e, basicamente, o que proporciona tudo isso, são os cuidados durante a formação das mudas.
Visualmente, mudas de qualidade têm caule mais grosso, folhas coriáceas, de coloração verde-claro e estão livres de pragas e doenças.
Diante disso, procure sempre viveiros confiáveis e certificados, que utilizem substrato, sementes, produtos e equipamentos adequados.
Com o curso Gestão na Produção de Café Arábica, isso é possível!
Professores atuantes em campo, vão te passar por meio de dados reais, atuais e validados, as técnicas para atingir a excelência de produção. Domine as principais técnicas e destaque-se no mercado cafeeiro!


O post Pontos importantes na escolha de mudas de café para o plantio apareceu primeiro em Rehagro Blog.
]]>O post Viveiro de café: qual tela escolher, vermelha ou preta? Veja as diferenças apareceu primeiro em Rehagro Blog.
]]>Por isso, produzir mudas vigorosas e bem desenvolvidas torna-se uma ótima alternativa para obter mais sucesso no plantio.

Telado de viveiro com malha preta (Foto: Diego Baquião).

Telado de viveiro com malha vermelha (Foto: Diego Baquião)
Sem tempo para ler agora? Baixe este artigo em PDF!
A formação de mudas de café, normalmente se dá em viveiros sombreados ou parcialmente sombreados com uma passagem de 50% da radiação.
Nas propriedades é comum o uso do telado de coloração preta para esse fim, entretanto, estudos sugerem a utilização de malhas de coloração vermelha, isso porque a radiação vermelha e azul são as mais eficientes para otimizar várias respostas fisiológicas desejáveis nas plantas.
Os comprimentos de onda que são melhor absorvidos pelas plantas são principalmente 430 nm e 660 nm, que se refere as cores azul e vermelho respectivamente, apresentando nas plantas diferenças morfológicas devido a resposta dos pigmentos fotossintetizantes a esses comprimentos de onda.
Por isso a utilização de telas coloridas tem por objetivo causar mudanças no espectro de radiação disponível para planta, proporcionando ajustes metabólicos no sistema fotossintético.
Contudo, apesar da coloração azul ser um dos comprimentos de onda mais absorvidos pelas plantas, ela excita a clorofila a um estado energético mais elevado do que a absorção de luz vermelha, no entanto, nesse estado de excitação a clorofila é extremamente instável liberando parte da energia absorvida na forma de calor, o que não ocorre com a luz vermelha.

Viveiro com malha de coloração vermelha (Foto: Diego Baquião).
Henrique et al., (2001), avaliou o crescimento de mudas de cafeeiro sob diferentes malhas coloridas, e observou que a tela vermelha apresentou massa seca total superior quando comparado aos outros ambientes.
Além disso, a malha de coloração vermelha também proporcionou maior teor de carboidrato nas raízes, sendo essa cor a mais eficiente na promoção de crescimento e desenvolvimento das mudas de café. Fato que é extremamente vantajoso considerando as adversidades que essas mudas podem sofrer no campo.

Massa seca de raiz e massa seca total. (Fonte: UFLA – 2011).

Teores de amido em massa de matéria seca de folhas e raízes de mudas de cafeeiro. (Fonte: UFLA – 2011).
Dessa forma, apesar da malha de coloração vermelha apresentar um custo superior quando comparado a malha preta, nota-se que as plantas se desenvolvem mais no telado vermelho, e por isso, elas possuem maiores chances de sobrevivência no campo, além do maior arranque inicial do crescimento.
Estar por dentro das tendências, novidades e conhecimentos técnicos do mercado agrícola cafeeiro, é o que pode te diferenciar entre os profissionais da área.
Aquele que busca se destacar e criar carreira na cafeicultura, precisa estar se atualizando constantemente, afinal, o Agro não para e está cada vez mais exigente.
Com o curso Gestão na Produção de Café, isso é possível! Professores atuantes em campo, vão te passar por meio de dados reais, atuais e validados, as técnicas para atingir a excelência de produção. Domine as principais técnicas e destaque-se no mercado cafeeiro!

O post Viveiro de café: qual tela escolher, vermelha ou preta? Veja as diferenças apareceu primeiro em Rehagro Blog.
]]>O post Adubação racional do cafeeiro: como planejar e realizar apareceu primeiro em Rehagro Blog.
]]>A adubação do cafeeiro deve ser planejada de acordo com as análises do solo e dos tecidos foliares e as quantidades variam em função da produção, idade da planta e do tipo de adubo usado, das perdas de nutrientes que venham a ocorrer, entre outros aspectos.
Como os principais nutrientes que a planta exige não são de fontes renováveis e o preço dos fertilizantes está cada vez mais alto, é preciso fazer uma adubação racional no cafeeiro.
Para isso, é extremamente importante ter um planejamento, chegar o cisco e fazer amostragens corretas, ou seja, as operações que antecedem a adubação precisam ser bem feitas também.
Sem tempo para ler agora? Baixe este artigo em PDF!
O conceito de adubação racional é uma nutrição mais adequada dos cafeeiros, por meio do uso conjunto dos variados nutrientes, oriundos dos corretivos e adubos, mas sempre de forma equilibrada e observando as necessidades.
É muito comum ainda as recomendações de adubação do cafeeiro serem feitas por fórmulas diretas, programas no computador, ou seja, mecanicamente, sem analisar a área, as condições edafoclimáticas e as outras particularidades da lavoura.
Devido a isso, muitas vezes o produtor trabalha com excesso ou falta de determinados nutrientes.
É necessário procurar trabalhar com o equilíbrio dos nutrientes. Pela “Lei do Mínimo”, o crescimento e a produtividade das lavouras podem ficar limitados por apenas um ou alguns nutrientes que se encontram em quantidades insuficientes, tornando sem efeito a aplicação de muitos dos demais.
Diversos estudos foram realizados para determinar a correlação entre o potencial produtivo das lavouras e os níveis de nutrientes disponíveis.
A tabela abaixo traz as faixas dos teores de nutrientes no solo serem comparados com a análise de solo.
Fonte: MATIELLO, SANTINATO, GARCIA, ALMEIDA, FERNANDES. Cultura de café no Brasil. Novo Manual de Recomendações. Ed 2005.
Depois de ter em mãos a análise de solo e verificar em que faixa ele se enquadra, existem vários teores recomendados para se trabalhar em um solo.
A tabela a seguir mostra um parâmetro dos teores considerados ideais e a partir dela é possível fazer a recomendação dos corretivos para a lavoura.

Lembrando que essa tabela é somente uma sugestão de teores médios de nutrientes no solo considerado como teores básicos para se ter uma boa produção e um bom retorno econômico na atividade. Porém, esses teores variam de acordo com cada premissa e cada particularidade de fazenda, gleba, etc.
É extremamente importante não olhar os nutrientes dessa tabela de forma separada e lembrar que cada nutriente não tem ação sozinho. Eles se interagem e a falta de equilíbrio entre eles pode causar antagonismos.
Cada técnico utiliza seu parâmetro na hora de recomendar devido à experiência prática e técnica de cada um. Porém, é importante sempre buscar a máxima produtividade econômica. Lembre-se de que a curva de resposta dos nutrientes versus planta não é linear.
Estar por dentro das tendências, novidades e conhecimentos técnicos do mercado agrícola cafeeiro, é o que pode te diferenciar entre os profissionais da área.
Aquele que busca se destacar e criar carreira na cafeicultura, precisa estar se atualizando constantemente, afinal, o Agro não para e está cada vez mais exigente.
Com o curso Gestão na Produção de Café, isso é possível! Professores atuantes em campo, vão te passar por meio de dados reais, atuais e validados, as técnicas para atingir a excelência de produção. Domine as principais técnicas e destaque-se no mercado cafeeiro!
O post Adubação racional do cafeeiro: como planejar e realizar apareceu primeiro em Rehagro Blog.
]]>O post O protagonismo da mulher no agronegócio apareceu primeiro em Rehagro Blog.
]]>Ficou interessado? Assista ao conteúdo na íntegra!
Aproveite para se inscrever no nosso canal do Youtube e ativar o sininho das notificações.
O post O protagonismo da mulher no agronegócio apareceu primeiro em Rehagro Blog.
]]>O post Secagem do café em terreiro: importância e cuidados durante o processo apareceu primeiro em Rehagro Blog.
]]>O café, após a colheita no campo, possui certa umidade, que irá variar de acordo com o estado de maturação sendo necessário fazer sua secagem para que não ocorra fatores que venham a prejudicar a qualidade do produto.
O processo mais comum de secagem é feito em terreiros e secadores. Dentre esses existem vários tipos, sendo mais comuns os de terra, os de concreto e os de lama asfáltica.
Existe também a variação entre secadores verticais e horizontais, podendo ainda ser classificados como pré-secadores e secadores.
Sem tempo para ler agora? Baixe este artigo em PDF!
O café no terreiro será depositado numa superfície que poderá variar de acordo com a propriedade e assim será exposto ao sol para retirar a umidade dos grãos.
O revolvimento do café precisa ser feito a cada hora, movimentando os grãos no sentido em que a incidência da radiação solar tenha a melhor distribuição sobre eles, ou seja, caso essa movimentação seja manual é extremamente importante que a sombra do terreiro esteja à sua frente ou atrás.
Após alguns dias, os grãos terão perdido um pouco da umidade. Assim, no final do dia é preciso aproveitar a massa quente do café e enleirar no sentido da declividade do terreiro. No dia seguinte, esparramar o café somente quando o orvalho do terreiro já tiver evaporado.
O tempo de secagem poderá variar de 8 até 30 dias de acordo com o tipo de café, terreiro e condições climáticas. Um ponto importante a ser empregado para uma melhor secagem é a separação de lotes a partir da época de colheita, umidade e homogeneidade dos lotes.
Veja a seguir o quadro que considera alguns pontos importantes em função do tipo de terreiro a ser empregado na propriedade:
* x: não é recomendado; v: recomendado
O dimensionamento do terreiro é um ponto fundamental a ser considerado e pode ser calculado de acordo com a fórmula abaixo:
S = 0,02 x Q.t / n
Onde:
Exemplo: Para uma propriedade com uma colheita de 1.000 sacas e rendimento de 450 Lt/sc de café beneficiada, teremos 450.000 Lt de café da roça, com 12 dias de média para a completa secagem do café no terreiro e um período de 90 dias de colheita.
S = 0,02 x Q x t / n
S = 0,02 x (450.000) x 12 / 70
S = 1.200 m²
De acordo com os cálculos, o dimensionamento do terreiro será de 1.200 m².
A secagem completa do café no terreiro poderá onerar muito os custos dependendo do tamanho da produção, porque poderá exigir grande área e mão-de-obra. Por isso, é necessário adaptar e planejar a estrutura de secagem conforme a produção da propriedade.
É importante lembrar que quanto maior o tempo de secagem do café no terreiro, maiores também serão os riscos de deterioração do produto devido às condições climáticas que poderão ocorrer.
Estar de acordo com as novas técnicas de mercado é de suma importância para quem deseja produzir cafés com excelência.
Desde a implantação da lavoura, gestão de equipe na fazenda, manejos como a fertilidade e proteção, ou mesmo as fases finais de colheita e pós-colheita, é preciso ter domínio e segurança, caso queira obter sucesso.
Por isso, no Rehagro há o Curso Gestão na Produção de Café, onde professores atuantes em campo, ensinam de forma prática, atualizada e validada essas técnicas. Clique abaixo e conheça um pouco mais sobre esse curso:
O post Secagem do café em terreiro: importância e cuidados durante o processo apareceu primeiro em Rehagro Blog.
]]>O post Pós-colheita do café: dicas para ter qualidade e agregar valor ao produto apareceu primeiro em Rehagro Blog.
]]>Após a colheita, é época de realizar aquela poda que havia sido planejada e focar em um dos passos mais importantes para garantir a qualidade do café produzido: a pós-colheita.
Sem tempo para ler agora? Baixe este artigo em PDF!
Veja algumas dicas para que esta etapa seja realizada com sucesso, agregue valor ao produto e contribua para a valorização do preço da saca.

(Foto: Paulo Henrique Sá Fortes)

Café cereja.(Foto: Larissa Cocato)

(Foto: Larissa Cocato)
Após a colheita, não é recomendado que os cafés fiquem por mais de 6 horas amontoados.
Para a produção de um bom café natural o ideal é ter menos de 15% de cafés verdes, no entanto, essa porcentagem é um desafio muito grande devido ao número de floradas que podemos ter. Dessa forma, quanto menor a porcentagem de grãos verdes, melhor.

Colheita de frutos com grande porcentagem de frutos verdes – não recomendado quando se busca cafés de qualidade. (Foto: Rehagro)
Em relação aos frutos vermelhos e amarelos, eles possuem qualidades diferentes e, por isso, não devem ser misturados.
Além disso, a limpeza dos equipamentos é prática essencial para evitar contaminações.

(Foto: Luiz Paulo Vilela)

Tulha (Foto: Vinicius Moribe)

Tulha (Foto: Vinicius Moribe)

Café descascado no terreiro. (Foto: Rehagro)
Portanto, se você preza pela qualidade do seu café, fique de olho nesta etapa!
A cafeicultura é oscilante, mas nos últimos tempos, as safras têm ganhado cada vez mais destaque e valorização. Aquele que se prepara, produz mais, lucra mais e já consegue planejar os próximos passos para que a próxima safra seja ainda mais produtiva.
No curso online Gestão na Produção de Café Arábica, você aprenderá com quem entende do assunto, pois os professores atuam em fazendas comerciais e passarão o conhecimento a você. Não perca mais tempo e tire suas dúvidas:

![]()
O post Pós-colheita do café: dicas para ter qualidade e agregar valor ao produto apareceu primeiro em Rehagro Blog.
]]>O post Principais pragas do café: saiba quais são, como prevenir e realizar o controle apareceu primeiro em Rehagro Blog.
]]>Essas pequenas grandes vilãs geram um enorme comprometimento da qualidade e da produtividade das culturas.
Listamos as principais pragas do café arábica, para ajudar você a entender melhor sobre sua ocorrência e controle.

Fruto sendo afetado pela broca-do-café. (Fonte: Luiz Paulo Vilela).
A broca do café é causada por besouros de coloração preta que realizam orifícios normalmente na região da coroa dos frutos.
Os machos são menores que as fêmeas e não voam. Já as fêmeas voam e medem cerca de 1,7 mm de comprimento. As fêmeas colocam ovos dentro dos frutos.
Após a eclosão, são formadas as larvas, que causam os danos propriamente ditos. As larvas se alimentam dos grãos de café, reduzindo assim seu peso e depreciando seu tipo. Além disso, os orifícios feitos por essa praga nos grãos podem servir como porta de entrada para patógenos, comprometendo assim sua qualidade.
Devido à broca do café ser uma praga monófaga, ou seja, ela ataca somente a cultura do café, uma colheita bem feita com repasse, evitando-se deixar frutos remanescentes na lavoura é de grande importância, com o intuito de diminuir a fonte de alimento desses insetos na entressafra. Nesse sentido, esse controle cultural é de grande valia.
Além disso, para o controle biológico, pode-se utilizar o fungo Beauveria bassiana que atua colonizando a broca. Já para o controle químico, pode-se utilizar grupos químicos: Ciantraniliprole, Clorpirifós, Clorantraniliprole, Abamectina e Espinosade.

Folha do cafeeiro com lesões feitas pelo bicho mineiro.
O bicho mineiro é uma pequena mariposa de coloração branco-prateada, com hábitos noturnos.
A mariposa desta praga se esconde nas folhagens durante o dia e realiza suas atividades ao entardecer. Essa praga possui grande importância devido a sua generalizada ocorrência. Em algumas situações a perda no controle da praga resulta em intensa desfolha, refletindo assim na redução da produção da cultura.
O ciclo desta praga pode variar entre 19 a 87 dias, dependendo das condições climáticas, com encurtamento do ciclo em condições de alta temperatura e baixa umidade.
A lagarta se alimenta do parênquima paliçádico deixando um vazio entre as duas epidermes, por isso, as chamadas “minas”, que acarretam em diminuição da taxa fotossintética e desfolha. Logo, no controle cultural é importante a realização de tratos culturais adequados a fim de proporcionar maior enfolhamento das plantas.
Para o controle químico, utilizar grupos químicos registrados para a cultura, como: Neonicotinóides, organofosforado, diamidas, espinosinas, piretróide e carbamato, podendo aparecer um grupo químico ou a associação de mais de um deles, sempre tendo o cuidado de rotaciona-lós.

Cigarra.
São insetos sugadores de seiva, quando presente essa praga na lavoura é possível observar orifícios no solo próximos à saia do cafeeiro, presença de exúvias e adultos de machos cantando.
Apesar de ser uma praga polífaga, ou seja, que não ataca apenas a cultura do café, quando não manejada as cigarras podem trazer prejuízos ao cafeeiro, uma vez que as ninfas sugam a raiz do cafeeiro, e dessa forma resultar em depauperamento das plantas, clorose e queda de folhas, acarretando assim em prejuízos a granação.
Em casos mais severos, pode ocorrer a morte das plantas. Para o controle, deve-se utilizar inseticidas sistêmicos de diferentes grupos, tais como carbamato ou neonicotinóide.
Na cultura do café, uma das principais pragas do café arábica é o ácaro-vermelho (Oligonychus ilicis) e ácaro da mancha anular (Brevipalpus phoenicis).
O ácaro-vermelho vive na face superior das folhas de café, o principal sintoma do ataque deste ácaro é a perda de brilho das folhas do cafeeiro, que adquirem uma coloração bronzeada.
Esse bronzeamento acarreta em diminuição da fotossíntese das folhas e, consequentemente, pode resultar em redução da produção.
Ele é favorecido em períodos mais secos. Para esse ácaro, chuvas abundantes podem reduzir sua população, por isso, em muitos casos não é necessário o controle químico.
O ácaro da mancha-anular ou ácaro da leprose é transmissor do vírus da mancha anular, ele pode acarretar desfolha das plantas, reduzindo assim a taxa fotossintética e consequentemente a produtividade das culturas.
Os sintomas nas folhas, são caracterizados por manchas cloróticas, geralmente em forma de anéis, abrangendo grande parte do limbo ou ao longo das nervuras.
Nos frutos os sintomas são manchas amareladas em forma de anéis ou irregularidades deprimidas. O controle químico é feito através da utilização de acaricidas como: Hexythiazox, Spirodiclofen, Cyflumetofen, pertencente aos grupos químicos: Carboxamida, Ketoenoles e Benzoil Acetonitrila.

Lesões provocadas pelo ácaro. (Foto: Luiz Paulo Vilela)

Frutos de café com lesões provocadas pelo ácaro. (Foto: Luiz Paulo Vilela)
Conhece outras pragas do café arábica? Compartilhe com a gente!
E não se esqueça, o monitoramento é chave para evitar os prejuízos trazidos por elas, que causam defeitos nos grãos e comprometimento da qualidade.
Além disso, fique de olho nas doenças que podem acometer o cafeeiro.
Estar de acordo com as novas técnicas de mercado é de suma importância para quem deseja produzir cafés com excelência.
Desde a implantação da lavoura, gestão de equipe na fazenda, manejos como a fertilidade e proteção, ou mesmo as fases finais de colheita e pós-colheita, é preciso ter domínio e segurança, caso queira obter sucesso.
Por isso, no Rehagro há o curso online Gestão na Produção de Café, onde professores atuantes em campo, ensinam de forma prática, atualizada e validada essas técnicas. Clique abaixo e conheça um pouco mais sobre esse curso:

O post Principais pragas do café: saiba quais são, como prevenir e realizar o controle apareceu primeiro em Rehagro Blog.
]]>O post Adubação do cafeeiro: dicas para ter qualidade e evitar perdas apareceu primeiro em Rehagro Blog.
]]>Deve-se ter cuidados com a adubação do cafeeiro com ureia, dependo das condições do ambiente e do clima (cuidado com solo úmido, altas temperaturas, pH básico próximo ao local, excesso de matéria orgânica no local).
Sem tempo para ler agora? Baixe este artigo em PDF!
Um estudo feito por Bartelega (2018) mostra as perdas de ureia durante a 1ª adubação nitrogenada. No gráfico, observamos que houve maiores perdas quando se utilizou a ureia convencional (36,2% de perda) e quando se utilizou a ureia + polímero aniônico (36,5% de perda) (demarcados pelo retângulo vermelho).
Já os fertilizantes nitrato de amônio e sulfato de amônio, apresentaram perdas com valores quase que insignificantes, de 0,70% e 0,60% respectivamente quando se utilizou essas fontes (demarcados pelo retângulo verde), conforme a figura abaixo:

Perdas de N-NH3 acumuladas (A), diária (B) de fertilizantes nitrogenados convencionais e estabilizados e condições climáticas (C) após a 1ª adubação nitrogenada no cafeeiro no ano de 2016/2017. (BARTELEGA, 2018)
Outros autores também observaram perdas de ureia, conforme relatado por Júnior et al. (2014), que a combinação elevada de umidade do solo, ausência de chuvas durante o primeiro dia depois da adubação e temperatura elevada determinou elevadas perdas de amônia por volatilização, perdas observadas de 44% do N aplicado.
Excesso de nitrogênio, pode estimular muito a vegetação da cultura, em detrimento da sua produtividade. Além disso, algumas doenças são favorecidas pelo excesso de nitrogênio.
O estudo feito por Lima et al. (2010) mostra o aumento linear de 34,8% para a área abaixo da curva de progresso da incidência (AACPI) da mancha de Phoma, com o aumento das doses de nitrogênio.
Isso porque, altos teores de N promovem aumento na produção de tecidos jovens e suculentos, por serem constituintes de ácidos nucléicos, aminoácidos e proteínas, entre outros. Além disso, aumenta a concentração de aminoácidos e amidas no apoplasto e na superfície foliar, favorecendo a germinação e a infecção, principalmente de fungos (MARSCHNER, 1995).

Área abaixo da curva de progresso da incidência (AACPI) e da severidade (AACPS) da mancha de Phoma em mudas de café, em função de doses de nitrogênio em solução nutritiva.
Deve-se trabalhar com um teor mínimo no solo de potássio. Trabalhamos com cerca de 120 mg/dm3 ou 0,30 – 0,35 cmolc/dm3, observando sempre o equilíbrio Ca:Mg:K, na proporção de 9:3:1 ou 25:5:1.
Não se deve aplicar mais que 200 kg de K2O por parcelamento na lavoura de café, pois quantidades maiores que essas estão passíveis a lixiviação desse nutriente. Quando a recomendação de doses superiores a 200 kg de K2O por aplicação, deve-se optar por seu parcelamento.
Quando a adubação é feita somente com formulados NPK, por exemplo, no caso da utilização do formulado 20-00-20, há o fornecimento da mesma quantidade de nitrogênio e potássio por esse fertilizante.
Como a recomendação de adubação para nitrogênio e potássio normalmente não são iguais, deve-se aplicar o formulado baseado no nutriente menor demandado para aquela adubação.
Por exemplo, se for demandado menor valor de nitrogênio quando comparado ao potássio naquele parcelamento, aplique a quantidade total de nitrogênio via esse formulado, e o restante do potássio deve ser incrementado com fertilizantes que contêm apenas potássio, sem nitrogênio, como o cloreto de potássio ou sulfato de potássio.
Por isso, quando recomendado diferentes doses de N e K nesse caso, não deve-se fazer seu fornecimento 100% via esse formulado.
Caso sejam utilizados outros formulados, deve-se fazer os cálculos da quantidade de cada nutriente está sendo fornecido, para não proporcionar fornecimento excessivo de algum nutriente.
O uso do formulado, proporciona maior facilidade na aplicação, visto que nitrogênio e potássio são aplicados juntos, no entanto, deve-se ter o cuidado com o que foi explicado acima, devido ao excesso de qualquer nutriente não ser desejável ao cafeeiro.
Além disso, o excesso de potássio pode competir pelo mesmo sitio de absorção do cálcio, acarretando em menor absorção deste último, podendo proporcionar assim, maior incidência de cercospora, como mostra o estudo abaixo:
Garcia e Junior observaram que o aumento das doses de cálcio, acarretou em menor área abaixo da curva de progresso da incidência (AACPI) de Cercospora coffeicola (GARCIA JUNIOR, 2003)

Área abaixo da curva de progresso de incidência (AACPI) de Cercospora coffeicola em cafeeiro (Coffea arabica) em função das doses de cálcio em solução nutritiva.
Estar de acordo com as novas técnicas de mercado é de suma importância para quem deseja produzir cafés com excelência.
Desde a implantação da lavoura, gestão de equipe na fazenda, manejos como a fertilidade e proteção, ou mesmo as fases finais de colheita e pós-colheita, é preciso ter domínio e segurança, caso queira obter sucesso.
Por isso, no Rehagro há o curso online Gestão na Produção de Café, onde professores atuantes em campo, ensinam de forma prática, atualizada e validada essas técnicas. Clique abaixo e conheça um pouco mais sobre esse curso:

O post Adubação do cafeeiro: dicas para ter qualidade e evitar perdas apareceu primeiro em Rehagro Blog.
]]>O post Retardadores de amadurecimento na cultura do café: como funcionam? apareceu primeiro em Rehagro Blog.
]]>Isso porque, dependendo do sistema e época de colheita adotado, pode resultar em uma elevada quantidade de frutos verdes colhidos, ou mesmo, em uma grande quantidade de frutos secos caídos no chão.
Nesse sentido, uma estratégia a fim de reduzir essa dificuldade, é a utilização de produtos capazes de retardar o processo de amadurecimento dos frutos, visando assim, uma maior uniformidade.

Frutos verde e flores no mesmo ramo, mostrando assim a desuniformidade do cafeeiro.
São produtos que tem como princípio retardar a síntese do etileno, visto que, o etileno é um hormônio gasoso que promove o amadurecimento dos frutos. Como exemplos desses produtos, podemos citar o Acetato de potássio (Matury® – nome comercial) e produtos à base de cobalto (Hold®- nome comercial).
Esses produtos, atuam inibindo a biossíntese de etileno, dessa forma, podendo reduzir parte da queda dos frutos provenientes das primeiras floradas, e esperando o termino do desenvolvimento daqueles frutos de floradas mais tardias.
A biossíntese de etileno compreende a conversão da S-adenosil-metionina (SAM) em ácido 1-carboxílico-1-aminociclopropano (ACC) sob a ação da ACC sintase, e a conversão do ACC em etileno, pela ACC oxidase. Dessa forma, as duas enzimas chave na via de biossíntese do etileno são ACC sintase e a ACC oxidase.
Nesse ciclo, o Acetato de potássio (Matury®) é um percursor do AVG (Amino-etoxivinilglicina), que por sua vez inibe a ACC sintase, inibindo assim a conversão de SAM em ACC.
Já os produtos a base de cobalto (Hold®), inibem a atividade da ACC oxidase, retardando assim a produção de etileno, desacelerando a velocidade de amadurecimento para o estádio seco.
Dessa forma, os frutos que ainda estão verdes podem amadurecer para cereja, enquanto que os cereja permanecem no mesmo estádio.

Esquematização do modo de ação de inibidores de etileno na planta.

Rota biossitética do etileno e ciclo de Yang. (Taiz, Zeiger, Moller & Murphy, 2017) (De McKeon et al., 1995)
O Matury® é recomendado na fase em que a maior parte dos grãos esteja na maturação verde cana a maduro.
No caso do Hold®️ é recomendado de uma a duas aplicações durante fase de maturação dos frutos.
Os inibidores de etileno utilizado em lavouras que possuem uma maior força de desprendimento de frutos podem acentuar ainda mais essa característica, dificultando sua colheita.
Dias et al. (2014), realizaram um estudo que visualizou a operação de colheita mecanizada do café com o uso do inibidor da biossíntese de etileno, buscando compreender sua influência no volume de frutos cerejas em colheita mecanizada com uma passada da colhedora.
O trabalho foi realizado município de Lavras, MG. Foram utilizadas a cultivar Catuaí Vermelho IAC 15 (maturação tardia), implantada em 2004 no espaçamento 3,6 x 0,6 metros.
Para o estudo, utilizou-se o produto comercial Mathury®. Em 2012 foram dois tratamentos, um como testemunha, sem utilização do produto (Tratamento 1) e outro com utilização de de 5 L ha-1 de produto comercial com volume de calda de 400 L ha-1 (Tratamento 2).
Foi observado para a cultivar Catuai Vermelho IAC 15, na safra de 2012, diferença significativa para eficiência de colheita e derriça, sendo que , para ambas as variáveis, foi verificada maior eficiência, nas parcelas com Tratamento 2 (aplicação de 5 litros por hectare do inibidor da biossíntese de etileno), em relação às parcelas-testemunha (Tratamento 1).

A utilização de retardadores da maturação, que atuam inibindo a biossíntese de etileno, é uma ferramenta que pode ser utilizada no cafeeiro, a fim de proporcionar uma maior uniformidade dos frutos no momento da colheita, sendo capaz de reduzir a queda de frutos secos, e diminuir do número de grãos verdes colhidos, podendo assim trazer uma maior eficiência na colheita.

O post Retardadores de amadurecimento na cultura do café: como funcionam? apareceu primeiro em Rehagro Blog.
]]>O post Qualidade de bebida do café arábica: veja fatores que interferem apareceu primeiro em Rehagro Blog.
]]>Ela irá agregar mais valor ao seu produto, fazendo com que você consiga melhores preços no momento da comercialização.
Para isso, ela deve ser trabalhada desde os primeiros passos do manejo da cultura até o processamento de pós-colheita.
Ela é influenciada por diversos fatores, como:
Todos eles são grandes influenciadores da qualidade da bebida.
Entenda um pouco mais sobre eles!
Sem tempo para ler agora? Baixe este artigo em PDF!
A altitude é fator de grande impacto em cafés especiais, isso porque, à medida que se aumenta 100 m de altitude, ocorre queda de 0,7° C na temperatura.
Dessa forma, os grãos irão amadurecer mais lentamente, proporcionando maior acúmulo de açúcares, que é extremamente vantajoso para a melhoria das características favoráveis da bebida.
Silva et al. (2008) separaram as propriedades em três grupos de atitude, sendo elas: altitude 1: 700 a 850m, altitude 2: 851 a 950 m e altitude 3: 951 a 1255m, e perceberam que os cafés que se situam nas maiores altitudes apresentaram menor lixiviação de potássio e menor condutividade elétrica, o que está intimamente ligada a integridade das membranas, pois quanto maior a lixiviação de potássio, significa que as membranas foram degradadas e por isso houve extravasamento celular.

Em relação à nutrição, é importante destacar que o equilíbrio dos nutrientes influencia a qualidade da bebida, visto que, cada nutriente possui sua função específica dentro do metabolismo, e por isso, um desbalanço nutricional pode afetar os grãos.
Entretanto, alguns nutrientes apresentam uma relação mais direta com a qualidade de bebida, como é o caso do potássio (K), que está relacionado a elevação do índice de coloração dos frutos, ao enchimento dos grãos e a uma maior atividade da enzima polifenoloxidase, enzima antioxidante que está diretamente ligada a qualidade de bebida.
Essa enzima polifenoloxidase é uma enzima cúprica, por isso destaca-se a importância do cobre na atuação dessa enzima. O íon cloro tem ação negativa sobre a mesma, uma vez que ele age reduzindo a atividade dessa enzima.
A Cercospororiose, doença causada pelo fungo Cercospora coffeicola, pode afetar a qualidade da bebida.
Lima (2009), realizou um trabalho em relação a incidência de Cercospora e a qualidade do café, e percebeu que com o aumento da proporção de frutos infectados pela Cercospora houve aumento da quantidade de polifenóis, compostos fenólicos, que estão inversamente ligados a qualidade de bebida.
Somado a isso, houve aumento também do potássio lixiviado e da condutividade elétrica, o que indica que devido a Cercospora ser um fungo necrotrófico, houve a degradação de membranas, com consequente extravasamento desse conteúdo celular.
Neste trabalho também, houve diminuição dos açúcares totais, com o aumento de frutos infectados, destaca-se que o açúcar participa da reação de caramelização durante a torração, que são responsáveis pela formação de cor, sabor e aroma peculiares da bebida.

Potássio lixiviado, em função de diferentes proporções de frutos de café infectados por Cercospora coffeicola. (Lima, 2009).
A Cercospora também pode provocar aceleração da maturação, redução do tamanho dos mesmos, além da aderência da casca ao pergaminho, devido aos sintomas causados nos frutos.

Frutos com sintoma de Cercospora. (Foto: Do autor)
A broca-do-café proporciona dano direto ao café, uma vez que as larvas se alimentam dos grãos, podendo resultar em destruição total ou parcial dos grãos.
Esse dano pode afetar o tipo do café, uma vez que os grãos perfurados são considerados defeitos, e além disso, esses orifícios podem servir como porta de entrada de fungos, que podem vir a causar fermentações indesejáveis. Segundo alguns autores, a Broca também pode aumentar a queda natural dos frutos, fato que não é desejado, visto que, frutos caídos no chão podem fermentar.

Grão de café com larvas e o besouro da broca do café. (Foto: Do autor).
Em relação às cultivares, existem aquelas que apresentam maior predisposição genética a manifestar sabores e aromas distintos. No entanto, é importante que se faça um levantamento da qualidade de bebida das cultivares na região, pois podem haver algumas alterações nas características nas diferentes regiões em que se planta o café.
A fase de pré-colheita, colheita e pós-colheita também é muito importante para manter a qualidade do café. Por isso, antes da colheita deve-se eliminar os grãos da safra anterior de moegas, maquinários e tulhas, visto que, esses grãos podem estar fermentados e afetar a qualidade de um lote novo de cafés.
Após a colheita, não se deve deixar o café amontoado, por muito tempo, visto que as condições estarão propícias para que ocorram fermentações, por isso, Segundo Brando (2004), os frutos recém colhidos não devem ser armazenados em sacos ou solos por períodos superiores a 8 horas, pois a temperatura pode atingir valores superiores a 40°C e assim formar o defeito ardido, entretanto, alguns autores sugerem um tempo menor ainda, em torno de 3 horas.
Além disso, o café deve estar em local sombreado, e quando em sacos, deixá-lo com a boca aberta para que ocorra a ventilação.
Para secagem em terreiros, realizar a desinfecção dos terreiros. Por isso, deve-se estar atento às condições proporcionadas nesse período, a fim de não favorecer processos fermentativos que podem afetar a qualidade da bebida.

Frutos de café (Foto: Do autor).
Portanto, os cuidados com a qualidade do café começam desde a escolha da cultivar mais apropriada para a implantação da lavoura, passando por todas as etapas de manejo, incluindo uma adubação adequada, fornecendo todos os nutrientes necessários ao cafeeiro.
Para isso, vale destacar que precisamos fazer uma amostragem de solo adequada, para termos resultados fidedignos na análise do solo e podermos fazer recomendações nutricionais corretamente, incluindo técnicas para se aumentar as cargas do solo.
A cafeicultura é oscilante, mas nos últimos tempos, as safras têm ganhado cada vez mais destaque e valorização. Aquele que se prepara, produz mais, lucra mais e já consegue planejar os próximos passos para que a próxima safra seja ainda mais produtiva.
Se você busca esse resultado, comece se atualizando com as novas técnicas de mercado.
No curso online Gestão na Produção de Café Arábica, você aprenderá com quem entende do assunto, pois os professores atuam em fazendas comerciais e passarão o conhecimento a você. Não perca mais tempo e tire suas dúvidas:

O post Qualidade de bebida do café arábica: veja fatores que interferem apareceu primeiro em Rehagro Blog.
]]>O post Mercado de café: análise sobre as tendências apareceu primeiro em Rehagro Blog.
]]>Vale a pena conferir o conteúdo na íntegra!
Não deixe de se inscrever no nosso canal para acompanhar nossos conteúdos. Ative o sino!
O post Mercado de café: análise sobre as tendências apareceu primeiro em Rehagro Blog.
]]>O post Mulheres no agro: o protagonismo feminino no agronegócio apareceu primeiro em Rehagro Blog.
]]>Vale a pena conferir o conteúdo na íntegra!
Aproveite para se inscrever no nosso canal do Youtube e ativar o sininho das notificações.
O post Mulheres no agro: o protagonismo feminino no agronegócio apareceu primeiro em Rehagro Blog.
]]>O post Plantio de café: 6 recomendações para a sua lavoura apareceu primeiro em Rehagro Blog.
]]>O plantio do café é uma das fases mais importantes da produção, se não a principal.
Diante disso, alguns pontos são cruciais na implantação do cafeeiro, e serão abordados nos próximos tópicos.
Sem tempo para ler agora? Baixe este artigo em PDF!
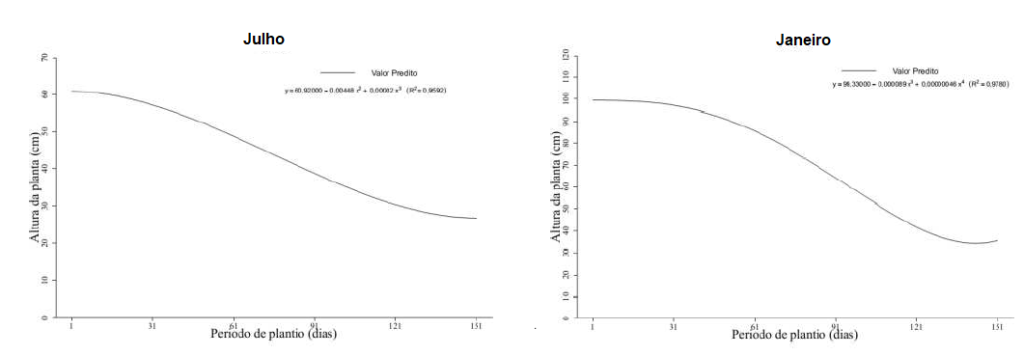
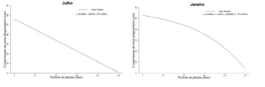
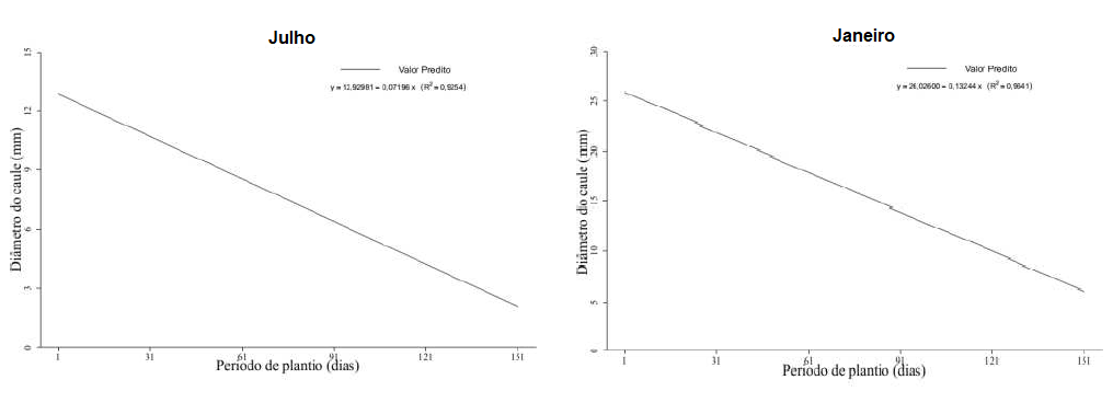
Sim. Estudos foram realizados analisando cafeeiros implantados em diferentes épocas do ano, e a partir dos resultados obtidos pode-se concluir que o plantio antecipado é benéfico para o desenvolvimento das plantas de café.
No período de outubro até o início de dezembro, as chances de ocorrer veranicos são menores, além disso, o cafeeiro terá mais tempo para crescer e desenvolver.
Assim sendo, haverá maior potencial produtivo na primeira safra, e o cafeicultor terá retorno mais rápido do seu investimento durante a formação da lavoura.
É recomendado que o plantio seja feito até dia 15 de dezembro (a depender de como está a distribuição de chuvas no ano), após esse período os riscos de perdas são consideravelmente maiores.
Lavoura e plantio. Fonte: Joana Oliveira.
Em grande parte das regiões produtoras de café, o plantio é feito por mudas de saquinho, todavia, este cenário tende a inverter, principalmente pelo risco de contaminação por nematoides desse material.
Dessa forma, no caso das mudas de saquinho é importante adquirir em viveiros confiáveis, e fazer a análise de nematoides antes de levá-las a campo, visto que a contaminação do solo com nematoides pode ser irreversível, trazendo grandes prejuízos.
Plantio de mudas com saquinho. Fonte: Joana Oliveira.
As mudas de tubetes são mais sensíveis, principalmente nos primeiros 15 dias a campo, já que há pouca reserva em seu substrato e o desenvolvimento radicular pode ser menor, dessa forma, sua resistência a veranicos é reduzida e a época de plantio é ainda mais importante nessas situações.
Após o estabelecimento, ambos tipos de mudas apresentam bons resultados se manejadas e conduzidas corretamente.
Sim, no entanto, é importante analisar a necessidade de preparar o solo, principalmente quanto à subsolagem. Essa ressalva se dá ao fato de, assim como a compactação irá inibir o desenvolvimento das plantas, a subsolagem sem necessidade também pode afetar negativamente.
É importante que o solo tenha certa resistência, havendo o ponto intermediário ideal entre a alta compactação e o solo muito solto.
Dessa forma, para analisar de forma precisa a estrutura do solo, é interessante retirar amostras indeformadas por meio de cilindros de diâmetro conhecido. O recomendado é fazer 3 pontos de amostragem para cada talhão homogêneo e retirar amostras por horizonte, assim, variando o número de amostras de acordo com o tipo de solo.
Determinada a necessidade, é importante realizar o preparo no momento certo, uma vez que o preparo em solos secos ocasionará formação de torrões, e em solos molhados o problema não será resolvido, podendo aumentar a compactação em certos pontos.
Com isso, é ideal preparar o solo quando o mesmo estiver friável, ou seja, na faixa intermediária entre seco e molhado, pois nessa faixa o solo fragmenta mais facilmente.
Preparo do solo. Fonte: Joana Oliveira.
A fertilidade, junto com a física do solo, são pontos decisivos para o sucesso da lavoura. Solos corrigidos e com boa fertilidade são expressivamente superiores em crescimento e em produção.
Alguns dos principais casos de sucesso de plantios de café são observados em áreas cultivadas anteriormente com cereais. Isso porque, nesses casos, a fertilidade já está construída, obtendo assim altas produtividades nas primeiras safras.
Alguns insumos são indispensáveis no plantio, como fósforo e calcário. No caso do fósforo é recomendado, na adubação de sulco, aplicar parte de fósforo solúvel e outra parte de fósforo insolúvel. Isso porque nessa etapa o cafeeiro tem alta demanda do nutriente, necessitando da fonte solúvel.
O fósforo é um nutriente relativamente imóvel no solo, absorvido sobretudo por difusão e interceptação radicular. É importante, portanto, que o nutriente esteja o mais próximo possível das raízes do cafeeiro para que haja absorção.
Por isso a adubação do sulco pode ser a oportunidade do cafeicultor acrescentar fósforo no sistema de maneira eficiente, sendo a fonte insolúvel uma boa opção para essa finalidade.
Em relação ao calcário, nos últimos anos houve alterações sobre a concepção da quantidade a ser aplicada. Diante disso, maiores doses têm sido utilizadas, especialmente no plantio.
A variação do limite de calagem acontece de acordo com a forma de aplicação. Ou seja, se o insumo será aplicado apenas em superfície, junto com a subsolagem ou será incorporado em profundidade, variando também de acordo com a fertilidade do solo.
A recomendação mínima em área de abertura no plantio tem sido de em média 3 toneladas por hectare em área total, e em alguns casos com acréscimos no sulco de plantio.
A época de aplicação é outro ponto primordial. O calcário deve ser aplicado em área total no mínimo 60 dias antes do plantio, e o fósforo deve ser acrescentado no sulco, preferencialmente, no dia do plantio.
É importante ressaltar que, quando associados, esses dois insumos reagem e perdem sua função, dessa forma, não devem ser misturados diretamente. Quando aplicados simultaneamente no plantio, é preciso bater a cova ou o sulco.
Outros insumos que podem ser utilizados no plantio são os compostos orgânicos, o gesso agrícola, o polímero hidroretentor e outros. Estudos comprovam os benefícios do composto para o solo e para o desenvolvimento das plantas. Apesar de conter nutrientes, no plantio é utilizado principalmente como condicionador do solo.
Todavia, é necessário que o composto esteja estabilizado para ser utilizado no sulco de plantio, para evitar fermentações e danos ao sistema radicular do cafeeiro.
O gesso pode ser aplicado como condicionador do solo, e atua:
Ele pode ser aplicado no plantio, ou na linha após o plantio antes do “chegamento” de terra.
Já o polímero hidroretentor, também conhecido como hidrogel, é utilizado de forma preventiva, a fim de reter água no solo e auxiliar as mudas de café, principalmente, em períodos de estiagem.
Utilização de gesso e composto orgânico em cafeeiros em formação. Fonte: Joana Oliveira.
Estes são dois pontos importantes no planejamento de plantio, pois afetam diretamente na produtividade das lavouras.
O espaçamento irá determinar o estande de plantas do talhão. Para determinar o melhor espaçamento, deve-se levar em consideração:
Atualmente, tem-se observado maiores produtividades em espaçamentos menores, como de 0,5 a 0,75 m entre plantas, e de 3,2 a 3,6 m nas entrelinhas de plantio, variando de acordo com os critérios citados anteriormente.
Em relação ao posicionamento e alinhamento da lavoura, o ideal para região de Minas Gerais é com a face exposta a 315° Noroeste/Sudeste, pois nesse posicionamento as plantas pegarão sol dos dois lados durante o ano todo. Esse tipo de técnica ajuda a:
Em determinadas condições é difícil manter esse alinhamento devido a topografia dos terrenos, assim é preferível alinhamentos que facilitem, otimizem os manejos e apresentem menores riscos de escoamento e erosões.
Esses foram os 6 questionamentos cruciais a se levar em conta na fase de plantio.
Dominar essas e outras técnicas pode diferenciar o seu cultivo, possibilitando atingir altas produtividades.
No entanto, muitos cafeicultores ainda ficam com dúvidas se devem optar pelo plantio tradicional ou investir em um plantio mais tecnológico. Pensando nisso, criamos um webinar gratuito com dois profissionais da área, cada um apontando as características principais de cada um desses sistemas. Confira:
Estar por dentro das tendências, novidades e conhecimentos técnicos do mercado agrícola cafeeiro, é o que pode te diferenciar entre os profissionais da área.
Aquele que busca se destacar e criar carreira na cafeicultura, precisa estar se atualizando constantemente, afinal, o Agro não para e está cada vez mais exigente.
Com o curso Gestão na Produção de Café, isso é possível! Professores atuantes em campo, vão te passar por meio de dados reais, atuais e validados, as técnicas para atingir a excelência de produção. Domine as principais técnicas e destaque-se no mercado cafeeiro!


O post Plantio de café: 6 recomendações para a sua lavoura apareceu primeiro em Rehagro Blog.
]]>O post Curso Gestão na Produção de Café: confira as principais dúvidas do curso apareceu primeiro em Rehagro Blog.
]]>Primeiramente, o GC online, como é chamado o nosso curso, contempla desde a implantação da lavoura de café até a sua pós-colheita, abordando também os temas de gestão econômica, financeira e gestão de pessoas!
Vamos lá para as dúvidas mais comuns em relação ao curso:
Essa é uma pergunta importantíssima e faz muito sentido que queiram saber.
O 1º ponto é que todos os nossos professores são consultores, dessa forma, eles trazem para nossas aulas suas experiências do dia a dia do campo.
São eles:


Não, o GC é um curso de capacitação, por isso, não é necessário ter formação superior para cursá-lo.
Nós temos aulas gravadas e aulas ao vivo.
Caso você falte e não consiga ir, existe a possibilidade de repor a presença.
Você pode assistir às aulas quantas vezes desejar! Após a publicação das aulas, elas ficam disponíveis até o fim do curso.
As disciplinas possuem materiais complementares, mas especificamente a disciplina de Lavouras em Produção possui uma apostila escrita exclusivamente para os alunos desse curso, sobre a recomendação de corretivos e fertilizantes para a cultura do café.
Sim! Na disciplina de Gestão Econômica e Financeira, o professor disponibiliza uma planilha a qual os alunos podem utilizar nas suas propriedades para realização de orçamento, fluxo de caixa e check de metas.
Após o fim das aulas do curso, os conteúdos ficam disponíveis por mais 30 dias.
Sim, o curso possui certificação com equivalência de 114 horas.

Espero que tenha esclarecido as dúvidas em relação ao curso de Gestão na Produção de Café online, mas caso tenha ficado qualquer questão, eu me coloco à disposição para saná-la.
Conte comigo, e espero encontrar você no curso com a gente!

O post Curso Gestão na Produção de Café: confira as principais dúvidas do curso apareceu primeiro em Rehagro Blog.
]]>O post Como fazer mudas de café em tubetes? Veja como é o processo apareceu primeiro em Rehagro Blog.
]]>Os tubetes são recipientes de formato cônico, fabricados com polietileno rígido, e apresentam ranhuras internas que direcionam as raízes para baixo, evitando seu enovelamento.
Eles possuem um orifício na sua parte inferior, para drenagem da água, e, além disso, evitam que as raízes de enrolem no fundo.
Sem tempo para ler agora? Baixe este artigo em PDF!
O tamanho do tubete a ser utilizado é decisão importante a ser tomada, visto que, temos volumes de tubete de 50 ml, 180 ml e 280 ml.
Nesse sentido, quanto maior o volume do tubete, melhor, no entanto, o mais econômico e que proporciona a produção de mudas boas é o de 180 ml, pois o tubete com volume de 280 ml é mais caro, ocupa um volume maior no viveiro, e além disso, demanda uma maior quantidade de substrato, dessa forma, proporcionando um maior custo de produção das mudas.
Para produção de mudas de café em tubetes as sementes podem ser pré-germinadas em caixas de areia até a fase esporinha.
Para isso, as sementes são colocadas em um canteiro com areia e sobre a areia é colocada palhada de braquiária seca, essa braquiária é irrigada, para manutenção da umidade. Sobre palhada é colocada lona, essa lona é retirada a cada 7 dias para realização da irrigação novamente.
Assim que as sementes estiverem na fase de esporinha elas já podem ser retiradas das caixas de areia e semeadas nos tubetes.
Para retirar as sementes do canteiro de areia pode-se utilizar uma peneira coletando uma quantidade de areia com sementes misturadas e mergulhar a peneira em uma caixa de água, ficando a areia na caixa de água, e as sementes sobre as peneiras. Dessa forma, as sementes já estão prontas para serem semeadas.
Quando as sementes são pré-germinadas, realiza-se o semeio de apenas uma semente por tubete, dessa forma, dispensando a prática de raleio, que é comumente realizada na produção de mudas por saquinho de polietileno, visto que, são colocadas duas sementes por saquinho, e posteriormente, devem ser retiradas uma das plantas, a menos vigorosa.
Uma outra alternativa, é semear duas sementes por tubetes, como é feito no semeio do saquinho convencional, no entanto, quando realizado dessa forma, é necessário que se realize a prática do raleio posteriormente, retirando uma das plantas.
Para o semeio, os tubetes (180 ml) devem ser preenchidos com substrato misturado com adubo de liberação controlada. Após preenchidos os tubetes com substratos, molha-se o substrato e faz uma marca no substrato com chucho, para se realizar o semeio das sementes. Após o semeio, preenche o tubete com substrato novamente.
Pelo fato dos substratos serem mais friáveis que o solo utilizado na produção de mudas por saquinho de polietileno convencionais, em que se utiliza uma mistura de solo e material orgânico (por exemplo esterco), há uma maior facilidade para o crescimento do sistema radicular das mudas produzidas no substrato.
Após o semeio é colocado palhada de braquiária sobre os tubetes na bancada, essa palhada permanece até a fase de palito de fósforo, a fim de que não haja problemas na fase de joelho. Após o estádio de palito de fósforo retira-se a palhada das bancadas.
A irrigação é realizada duas vezes por dia, uma no período da manhã e outra no período da tarde, durante cerca de 20 a 30 minutos cada uma delas, até a formação do primeiro par de folhas.
Até essa fase é importante que não falte água para essas mudas, uma forma prática de avaliar se o substrato está bem molhado é pegar um tubete e apertá-lo bem, se após isso soltar água, é porque ele está bem molhado, no entanto, se ao apertar não pingar nenhuma gota de água, possivelmente o substrato não está tão úmido.
As mudas produzidas por tubetes, quando se realiza a pré-germinação em areia ficam prontas para ir para o campo antes que as mudas produzidas por saquinho de polietileno, demorando menos de 180 dias para estarem prontas com 4 pares de folhas, enquanto que as mudas produzidas por saquinho demoram cerca de 210 dias.
O plantio com tubete apresenta um maior rendimento devido ao seu tamanho reduzido, e a facilidade de manuseio.
Além disso, para o plantio de mudas por tubetes não é necessário a realização da prática de corte do fundo do saquinho, que é comumente feito nas mudas produzidas por saquinho, isso porque os tubetes apresentam uma abertura na extremidade inferior que não permite que as raízes se enrolem.
Esse plantio pode ser realizado manualmente, com matracas ou com plantadoras. Um ponto importante a ser destacado, é a época de plantio para a utilização desse tipo de muda, sendo recomendado seu plantio principalmente nos meses de outubro e novembro, para que a muda permaneça por mais tempo no período das chuvas e dessa forma, proporcione melhores condições para sua adaptação do campo.
Após o plantio das mudas, os tubetes e toda a estrutura do viveiro podem ser reutilizados nos anos subsequentes, dessa forma, diluindo os custos do investimento inicial.
Quer saber sobre outras fases do processo? Leia este artigo sobre implantação de lavoura de café.
Estar por dentro das tendências, novidades e conhecimentos técnicos do mercado agrícola cafeeiro, é o que pode te diferenciar entre os profissionais da área.
Aquele que busca se destacar e criar carreira na cafeicultura, precisa estar se atualizando constantemente, afinal, o Agro não para e está cada vez mais exigente.
Com o curso Gestão na Produção de Café, isso é possível! Professores atuantes em campo, vão te passar por meio de dados reais, atuais e validados, as técnicas para atingir a excelência de produção. Domine as principais técnicas e destaque-se no mercado cafeeiro!
O post Como fazer mudas de café em tubetes? Veja como é o processo apareceu primeiro em Rehagro Blog.
]]>O post Novidades sobre o controle biológico de pragas na cultura do café apareceu primeiro em Rehagro Blog.
]]>Perdeu o webinar ao vivo? Assista ao conteúdo NA ÍNTEGRA clicando no play!
Para mais vídeos exclusivos, inscreva-se no nosso canal e ative as notificações!
O post Novidades sobre o controle biológico de pragas na cultura do café apareceu primeiro em Rehagro Blog.
]]>O post Colheita do café como elemento de qualidade apareceu primeiro em Rehagro Blog.
]]>No Brasil a colheita, geralmente, se estende de abril a setembro e engloba:
Assim, para obtenção de cafés de qualidade e com menor custo, é preciso planejar e conhecer os diversos processos envolvidos na colheita.

Frutos de café cereja. (Fonte: Larissa Cocato)

Colheita mecanizada do café. (Fonte: Joana Oliveira)
Sem tempo para ler agora? Baixe este artigo em PDF!
No Brasil, apesar da desuniformidade na maturação dos frutos, devido ao número de floradas que temos, ainda assim conseguimos realizar a colheita plena, que é a derriça plena dos cafés em diferentes estádios de maturação.
Vale destacar que, apesar dessa desuniformidade, quando temos máquinas bem reguladas e período de colheita adequado, é possível colher grande quantidade de frutos cereja.
A maioria dos cafeicultores realizam esse tipo de colheita, principalmente, pela redução dos custos com essa prática.

Colheita plena realizada com máquina. (Fonte: Henio Inácio)
Além disso, como opção para os frutos com várias maturações a partir da colheita plena, podemos lançar mão de práticas de processamento de cafés, conseguindo separar os grãos cereja dos verdes e secos.
Na colheita seletiva, somente os frutos com maturação fisiológica completa, os denominados grãos cerejas, são colhidos. Essa prática visa, principalmente, alcançar o máximo potencial de qualidade dos cafés.
Os grãos com desenvolvimento e maturação completos, apresentam maiores quantidades de compostos compartimentalizados no grão, como o açúcar.

Colheita seletiva do café. (Fonte: Joana Oliveira)
Os frutos de café colhidos na época certa e de modo correto, constituem matéria prima ideal para o posterior processamento de um café de qualidade. E para determinar essa época, é importante acompanhar a maturação dos frutos.
A desuniformidade dos frutos é o principal desafio quando se visa qualidade. Isso ocorre porque no estágio de frutos passas ou secos, podem ocorrer influências negativas por fermentações indesejáveis.
Nessa fase, os frutos se desprendem mais facilmente das plantas, sendo responsáveis por aumentar a quantidade de cafés de chão ou de varrição.
Outro problema são os frutos verdes, que causam menor rendimento de colheita e afetam a classificação por:
Os cafés com grãos verdes, irão apresentar certa adstringência na bebida, não sendo assim desejável.
Desse modo, visando obter cafés especiais, a colheita deve ser iniciada quando a lavoura ou talhão apresentar pequena quantidade de cafés verdes. O ideal é iniciar com menos de 15%, e ainda com pequena quantidade de frutos do tipo passas ou secos.
Se faz necessário, portanto, realizar mapeamentos das lavouras e com base nisso, fazer um planejamento de colheita para melhor tomada de decisão.

Determinação da porcentagem de maturação dos frutos a partir do mapeamento. (Fonte: Larissa Cocato)
Para fazer um planejamento de colheita, é preciso agrupar as lavouras de acordo com:
Assim, podemos obter maior homogeneidade dos lotes e trabalhar mais precisamente a qualidade do produto de cada talhão.
É essencial conhecer a época de maturação das lavouras, determinando as mais precoces, as médias e tardias.
Outro ponto importante no planejamento é ter uma estimativa da produção de cada área para determinar, previamente, a demanda de maquinários e funcionários no período da colheita. Isso também auxilia no escalonamento de terreiros e secadores, visto que os cafés não devem ficar amontoados por mais de 6 horas após colhidos.
Nesse sentido, devemos determinar também as glebas que serão colhidas de forma mecanizada e as de forma manual ou por meio de derriçadoras portáteis.
Com as estimativas em mãos, deve-se analisar e verificar se os maquinários da fazenda suportam essa colheita, ou, caso a fazenda não possua, agendar com antecedência o aluguel de colhedoras e/ou a contratação de funcionários sazonais, caso necessário.
Todo café que vem da lavoura passa por vários processos até ser beneficiado e, para que esses procedimentos não prejudiquem a qualidade do produto final, temos que ficar atentos e evitar imprevistos.
Só se consegue preços melhores se houver qualidade e, para isso, é primordial ter planejamento e organização.
Uma das formas de obter cafés melhores, é por meio da secagem em terreiros suspensos, pois diminuem as chances de imprevistos, seja por chuvas ou fermentações indesejadas.
A cafeicultura é oscilante, mas nos últimos tempos, as safras têm ganhado cada vez mais destaque e valorização. Aquele que se prepara, produz mais, lucra mais e já consegue planejar os próximos passos para que a próxima safra seja ainda mais produtiva.
No curso online Gestão na Produção de Café, você aprenderá com quem entende do assunto, pois os professores atuam em fazendas comerciais e passarão o conhecimento a você. Não perca mais tempo e tire suas dúvidas:


O post Colheita do café como elemento de qualidade apareceu primeiro em Rehagro Blog.
]]>O post Café verde: saiba como aproveitar no mercado apareceu primeiro em Rehagro Blog.
]]>Quanto maior a qualidade dos grãos de café, maiores são as chances de alta classificação da bebida, e claro, isso reflete no lucro!
A hora certa de colher é quando os grãos estão no ponto cereja de maturação. Ainda assim, alguns grãos verdes podem ser selecionados, o que afeta negativamente a qualidade da bebida e perde em rendimento.
Sem tempo para ler agora? Baixe este artigo em PDF!
Se o processamento desse café, principalmente no descascamento do grão, foi eficiente, mesmo verde possui uma qualidade boa, é o que aponta Leandro Paiva, especialista e professor de café.
Ele salienta que há diferenças entre os cafés verdes, muito aquosos e que originariam o grão preto, daqueles que estão formados, porém não terminaram a maturação e por isso estão verdes.
Nesse segundo tipo citado, ainda que tenha baixa classificação, existe mercado para ele. É possível comercializá-lo bem, quando o processamento é bem feito.
No vídeo abaixo você poderá entender melhor sobre esse processo:
Leandro pontua que a forma da secagem é o que fará toda a diferença.
Quando analisamos as diversas etapas até a comercialização desse café, de fato, a umidade ocupa boa parte.
Na colheita, além de observar a maturação, a umidade também ajuda na diferenciação, então é justificado ter etapas subsequentes sobre secagem.
Como esse café verde natural não atingiu sua maturação a tempo e, consequentemente, está com umidade inadequada, somos nós que devemos auxiliar nesse processo para garantir sua qualidade.
“Esse manejo é importante porque esse é um café que tem muita umidade e que não tem as estruturas muito bem feitas (…). Então, são cafés que possuem comportamentos diferentes durante a secagem se comparado aos cafés maduros.”
Uma das alternativas de manejo que ele propõe é que na secagem em terreiro, a camada seja mais fina e que o revolvimento seja mais intenso nos primeiros dias.
Esse manejo é um dos diversos que o cafeicultor deve proceder de colheita e na pós-colheita desse café, devendo se adaptar às realidades enfrentadas em sua fazenda.
Cada etapa dessas fases, por mais simples ou complexa que seja, vai afetar na qualidade final da bebida e isso vai interferir na lucratividade de toda a safra.
Estar de acordo com as novas técnicas de mercado é de suma importância para quem deseja produzir cafés com excelência.
Desde a implantação da lavoura, gestão de equipe na fazenda, manejos como a fertilidade e proteção, ou mesmo as fases finais de colheita e pós-colheita, é preciso ter domínio e segurança, caso queira obter sucesso.
Por isso, no Rehagro há o Curso Gestão na Produção de Café, onde professores atuantes em campo, ensinam de forma prática, atualizada e validada essas técnicas. Clique abaixo e conheça um pouco mais sobre esse curso:
O post Café verde: saiba como aproveitar no mercado apareceu primeiro em Rehagro Blog.
]]>O post Fermentação boa x ruim: principais diferenças apareceu primeiro em Rehagro Blog.
]]>Por muito tempo essa etapa foi associada a aspectos ruins, como os degradativos que aconteciam nos frutos, e a qualidade da bebida que poderia não atingir a classificação de café especial. Sendo julgado tanto na planta quanto na etapa de pós-colheita.
No entanto, o café cereja descascado foi o precursor na mudança da concepção sobre a fermentação, pois, inicialmente ela era utilizada na remoção da mucilagem, que apesar de ter duração e manejo diferente da fermentação que tem se buscado fazer atualmente nos cafés, também é um tipo de fermentação.

Grão de café envolvido pela mucilagem (substância gelatinosa). Foto: Joana Oliveira
O processo de remoção da mucilagem é feito em um período de poucas horas. Nele, os frutos de café são colocados em tanques com água, para que ocorra a ação de microrganismos que auxiliam na quebra de ligações responsáveis por fixar a mucilagem no fruto.
Portanto, a diferença entre os processamentos de cafés, levaram a bebidas com sabores distintos, despertando a curiosidade sobre esse processo.
A fermentação é um processo químico, no qual microrganismos transformam matéria orgânica em outros produtos e energia.
Dessa forma, no café, ocorrem transformações químicas no fruto, principalmente devido à quebra de alguns compostos.
Diante disso, existem fermentações desejáveis e indesejáveis, o que dependerá dos microrganismos presentes e das condições do processo.

Fermentações indesejáveis no café. Fonte: Joana Oliveira.
Em condições adequadas, os fungos, as leveduras e/ou as bactérias, se desenvolvem produzindo enzimas e ácidos orgânicos que vão quebrar carboidratos, proteínas e polifenóis, e assim os transformam em compostos menores e metabólicos secundários, que serão precursores de novas características de aroma e sabor para a bebida.
Algumas teorias mais aceitas sobre a influência desse processo, é que a fermentação iguala a umidade dos grãos na etapa de secagem.
Outras teorias defendem que a fermentação estimula o início do processo germinativo e assim ocorre a quebra de carboidratos e proteínas a fim de disponibilizar reservas para o embrião.
No fim, acontece as mudanças dos compostos presentes nos grãos.
Sem existir uma explicação unânime ainda, sabemos que tem se conseguido cafés com ótimas características a partir do processo de fermentação, no entanto, é importante saber que existe a fermentação boa e a fermentação ruim.
A fermentação boa ou desejada, acontece formando compostos que influenciam de forma positiva, já a fermentação ruim ou indesejada é aquela sem controle, que forma compostos que influenciam de forma negativa.
Este tipo de fermentação é responsável por trazer frutos ardidos, com sabores amargos, adstringentes e ásperos ao paladar.

Fermentações indesejáveis no terreiro de café. Fonte: Joana Oliveira

Fermentação de grãos de café na planta. Fonte: Joana Oliveira

Fermentação controlada em tanques. Fonte: Joana Oliveira.
Para produzir um café fermentado de boa qualidade é importante que os cafés que irão passar por esse processo já tenham uma base de qualidade.
A determinação desses lotes deve ser feita por meio de informações, que podem ser obtidas pelo monitoramento dos talhões.
Assim, o monitoramento pode ser realizado da seguinte forma:

Separação dos grãos. Fonte: Larissa Cocato

Separação de lote de café cereja natural. Fonte: Joana Oliveira
As características desejáveis para o lote, são:
Tais aspectos são importantes para que o processo fermentativo traga um café equilibrado e agradável ao paladar.
A fermentação é um processo que ainda necessita de muitos estudos e, principalmente, estudos feitos pelos próprios produtores, uma vez que o ambiente é parte importante do processo e tem grande variação entre regiões e propriedades.
Todavia, em ambos os tipos é de grande importante realizar o controle dos seguintes fatores:
Atenção! É essencial ter o controle desses fatores, pois a fermentação tem limites. Cafés com excesso de fermentação podem trazer baixo corpo, finalização seca e características adstringentes. Em contrapartida, a sub fermentação também não é interessante, pois não ocorre a produção dos compostos que são desejáveis.
O café está presente no cotidiano de diversas pessoas de diferentes lugares e faixas etárias. Assim, o consumidor tem buscado novas experiências, crescendo a cada ano a procura por cafés especiais.
Para suprir essa demanda, cada vez mais exigente, torna-se indispensável um manejo de pós-colheita, que pode incluir a produção de cafés fermentados. Essa prática pode diversificar a produção e valorizar a saca.
Assim, aquele que busca se destacar e criar carreira na cafeicultura, precisa estar se atualizando constantemente, afinal, o Agro não para e está cada vez mais exigente.
Com o curso Gestão na Produção de Café, isso é possível! Professores atuantes em campo, vão te passar por meio de dados reais, atuais e validados, as técnicas para atingir a excelência de produção. Domine as principais técnicas e destaque-se no mercado cafeeiro!


O post Fermentação boa x ruim: principais diferenças apareceu primeiro em Rehagro Blog.
]]>O post O que torna um café especial? Saiba quais são os parâmetros analisados apareceu primeiro em Rehagro Blog.
]]>Esse termo “cafés especiais” foi utilizado pela primeira vez no discurso de Erna Knutsen, em uma conferência internacional de café em 1978 na França. Os cafés especiais eram aqueles originados de locais especiais, que possuíam microclima favorável e produziam grãos com aspectos sensoriais únicos e exclusivos (Rhinehart, 2009).
Apesar de ser um fato verídico, na época a procura por esses cafés denominados especiais, ainda era pequena.
Foi a partir da fundação da Specialty Coffee Association of America (SCAA), que os cafés de qualidade elevada começaram a ter destaque e valorização mundial. A SCAA incentivou o consumo desses cafés com campanhas de divulgação do produto, bem como as várias pesquisas relacionadas à sua qualidade.
Enquanto isso, no Brasil o surgimento de várias associações também contribuiu para a valorização dessa classe de cafés. Dentre elas, podemos citar a Brazilian Specialty Coffee Association (BSCA).
A partir da década de 1990, a busca e o consumo de cafés especiais aumentaram fortemente e o Brasil teve melhorias relevantes, tanto no mercado interno quanto externo.
Os cafés especiais não possuem definição específica, porém, todos os cafés especiais devem apresentar um elevado potencial de expressão de aroma e sabor na hora de sua prova na xícara e precisam ser notavelmente bons (Giomo e Borém, 2011).
Para um café ser considerado especial, ele deve obter no mínimo 80 pontos na escala de classificação de cafés especiais da atual Specialty Coffee Association – SCA e isso equivale a um café de bebida mole, de acordo com a Instrução Normativa n° 8, de 11 de junho de 2003. Além disso, em sua amostra não poderá conter defeitos físicos de nenhum tipo de origem.
Figura 1. Prova de xícaras para determinação da qualidade do café

Fonte: Joana Oliveira
Para um café ser considerado de qualidade, não é apenas a bebida que conta, mas também as condições em que os grãos foram produzidos. Se diferenciando dos cafés comuns pelos seguintes fatores:
A determinação de um café especial vai além das características sensoriais da bebida, englobando também aspectos sociais, culturais e ambientais.
Diante disso, diferentes regiões originam cafés com diferentes características, por isso há peculiaridades regionais. Estes são fatores importantes para a valorização, quando apresentam atributos desejáveis e/ou são produzidos em regiões específicas.
Assim, a Identificação Geográfica (IG) é uma das formas de reconhecer uma região pela produção de determinado produto, como ocorre na cafeicultura. Além disso, a vinculação dessa origem, unido à tradição, também auxilia na valorização desse café. É o caso quando falam em “Cafés do Cerrado Mineiro” e os “Cafés da Alta Mogiana”.
Algumas cultivares apresentam geneticamente um maior potencial de produzir cafés com qualidade superior. Uma das mais conhecidas por esse aspecto é o Bourbon Amarelo, no entanto, novas cultivares estão aliando também a resistência à doenças e boa produtividade, como a Arara e a MGS Paraíso 2.
Figura 2. Lavoura da cultivar Arara.

Fonte: Joana Oliveira
A localização é determinante na qualidade dos grãos devido aos fatores que ela engloba.
De modo geral, maiores altitudes, solos com fertilidade construída, temperaturas amenas e bom volume de chuvas, são condições ideais para obtenção de bons cafés. No entanto, existem outras variáveis como a mineralogia do solo, a incidência de doenças e pragas entre outros que podem impactar no produto final.
Figura 3. Aspergillus ochraceus (fungo rosa) em grãos de café, é um fungo maléfico, que é beneficiado em condições climáticas ideais.

Fonte: Joana Oliveira
Existem grãos de diferentes peneiras, diferentes formatos e com diferentes características intrínsecas e extrínsecas. Esses fatores são analisados e avaliados por meio da classificação física dos lotes, que também determina a qualidade do produto.
Figura 4. Classificação física dos cafés

Foto: Larissa Cocato.
Os frutos que chegam à maturidade fisiológica, apresentam desenvolvimento completo e com isso, maior complexidade de compostos armazenados. Assim, para produzir um café especial, o ideal é trabalhar apenas com cafés maduros, podendo haver essa separação durante a colheita de forma seletiva, ou durante o processamento.
Posteriormente, os cafés podem ser submetidos à fermentação, que apesar de opcional, tem se tornado uma prática frequente nas fazendas. Ela ajuda no realce e/ou com novas características à bebida, mas é necessário cautela e conhecimento para sua realização, pois há chances de ocorrerem fermentações indesejadas, o que prejudica o lote.
Já o beneficiamento e o armazenamento são processos indispensáveis e podem afetar diretamente a qualidade, portanto também exigem cuidado.
Figura 5. Secagem de frutos de café maduros para determinação do potencial de qualidade do lote.

Fonte: Joana Oliveira.
A torra, a moagem e o método de preparo utilizados são chaves para validar todo o processo anterior, mas se feitos incorretamente, desqualificam a bebida.
Figura 6. Diferentes níveis de torra em café.

Fonte: Joana Oliveira.
Pode-se dizer que os cafés especiais representam um mercado que está em constante crescimento, onde segundo algumas certificadoras a demanda mundial pelo produto cresce cerca de 15% ao ano.
Tal fato, faz com que os cafés especiais sejam uma ótima opção diante das oscilações de preço das commodities, onde o valor de sua venda é normalmente de 30% a 40% superior aos cafés convencionais. Em algumas situações pode ultrapassar os 100%, gerando maior renda, principalmente aos pequenos cafeicultores.
De acordo com o relatório do Conselho dos Exportadores de Café do Brasil (Cecafé), a exportação de cafés especiais correspondeu a 7,9 milhões de sacas em 2020, o maior volume dos últimos cinco anos.
O volume representa 17,7% do total de café embarcado em 2020, com avanço de 4,4% em relação ao volume exportado no ano de 2019. Os principais mercados consumidores dos cafés especiais brasileiros foram: Estados Unidos, Alemanha e Bélgica, respectivamente.
O mercado está aquecido, competitivo e cada vez mais exigente. Produtores que almejam grandes produções e com foco em qualidade, precisam conhecer as técnicas capazes de tornarem isso possível.


O post O que torna um café especial? Saiba quais são os parâmetros analisados apareceu primeiro em Rehagro Blog.
]]>O post Índice de qualidade microbiológica do solo apareceu primeiro em Rehagro Blog.
]]>Aperte o play e confira ao conteúdo na íntegra!
Para mais conteúdos exclusivos, se inscreva no nosso canal e ative as notificações!
O post Índice de qualidade microbiológica do solo apareceu primeiro em Rehagro Blog.
]]>O post Como melhorar o lucro sem expandir área de plantio de café? apareceu primeiro em Rehagro Blog.
]]>Podemos dispor de dois pilares estratégicos, sem necessariamente envolver a expansão da área:
Sem tempo para ler agora? Baixe este artigo em PDF!
Quando se fala em aumento da produtividade, deve-se ter em mente que ela não é sinônimo de aumento desordenado dos custos de produção.
É possível sim, alcançar altas produtividades, sem necessariamente elevar de forma desproporcional os custos de produção, e para isso é importante saber que:
Dessa forma, você consegue explorar o máximo da capacidade produtiva das plantas, alcançando altas produtividades por hectare, e assim, obtendo mais lucratividade na sua propriedade.

Lavoura do cultivar Catuaí 99. Fonte: Luiz Paulo Vilela.
Não é novidade que, nos últimos tempos, houve uma mudança no hábito de consumo de cafés. Isso tem ocorrido porque os consumidores passaram a apreciar mais a bebida, e com isso, a busca por cafés especiais tem crescido.
Portanto, é uma ótima oportunidade para os produtores conseguirem agregar mais valor ao seu produto.
Quando se pensa em uma produção de cafés de qualidade, estamos falando desde um manejo adequado na lavoura, até as práticas de pós-colheita. Tudo isso reflete em um café com melhor valor de mercado e sem aumentar a área de plantio.

Café processado e torrado em grãos
Nesse sentido, práticas adequadas de pós-colheita do café são imprescindíveis para a obtenção de cafés de qualidade.
Esse processo envolve diversos cuidados:
É preciso ser criterioso nesse período, tratando o café como fruto – que de fato ele é – para conseguir elevar a qualidade do café!
Ainda na linha de cafés de qualidade, a produção de cafés fermentados também pode ser uma estratégia.
Existem diversas práticas na cafeicultura que podem valorizar ou deteriorar o produto.
A secagem em terreiros é uma delas! Saber qual tipo se adequa à sua fazenda e como realizar o manejo desse café no terreiro, é um dos passos para conseguir elevar a qualidade final dos grãos de café.
No curso online Gestão na Produção de Café Arábica, você aprenderá com quem entende do assunto, pois os professores atuam em fazendas comerciais e passarão o conhecimento a você. Não perca mais tempo e tire suas dúvidas:

O post Como melhorar o lucro sem expandir área de plantio de café? apareceu primeiro em Rehagro Blog.
]]>O post Como aumentar a qualidade do seu café? apareceu primeiro em Rehagro Blog.
]]>Existem duas linhas de pensamento que falam sobre a pós-colheita do café e sua relação com a qualidade:
Sem existir uma verdade absoluta, o que sabemos é que a pós-colheita tem um impacto muito importante na qualidade do café, e por isso requer uma maior atenção em suas etapas, pois, erros nesse processo podem comprometer a qualidade deste café, acarretando em prejuízos à bebida, e consequentemente ao preço de venda desse café.
Por isso, devemos ter atenção a vários processos, desde o tempo que o café fica amontoado após a colheita, até as condições e tempo de permanência na tulha de café.
Sem tempo para ler agora? Baixe este artigo em PDF!
Diante disso, preparamos alguns pontos críticos que merecem atenção para quem busca a produção de cafés especiais!

Frutos cereja em terreiro suspenso. Fonte: Larissa Cocato da Silva
Quando se pretende produzir cafés de qualidade, o mapeamento é uma ferramenta importante para a tomada de decisão. Nisso, surgem duas grandezas:
Através desse mapeamento, será feita uma coleta de informações e por meio desses dados a tomada de decisões consegue ser mais assertiva, principalmente nas fases de colheita e de pós-colheita.
Antes de falarmos propriamente sobre a parte da recepção dos cafés, uma etapa que parece simples, porém também pode acarretar problemas, é na amontoa desse café colhido. Não se recomenda que o café fique mais de 6 horas amontoado, pois pode acontecer fermentações indesejáveis nesse café.
Já a recepção, em si, também é uma etapa importante desse sistema. A atenção maior nesse caso é quanto à higienização, pois as moegas precisam estar sempre limpas!
Essa parte é particularmente importante, pois se não estiverem limpas, pode ocorrer contaminação e isso vai refletir na qualidade final do café.
Existem vários pontos no manejo do café, e se ele for processado do tipo natural, alguns desses pontos se diferenciam, quando comparados ao cereja descascado.

Café cereja amarelo. Fonte: Larissa Cocato

Estádios de maturação do fruto vermelho. Fonte: Larissa Cocato
Alguns aspectos desse processo requerem maior atenção:
Frutos cereja. Fonte: Larissa Cocato
Nessa etapa, alguns cuidados devem ser tomados para a garantia da qualidade:
Cafés em grãos cereja. Fonte: Luiz Paulo Vilela
A parte do terreiro é a parte inicial da secagem desse café e como as demais, contém vários pontos que devemos nos atentar:
Em relação à secagem em secadores, os pontos de observações aumentam. Confira:
Em relação aos cafés do tipo cereja descascados, alguns pontos divergem do natural, ainda assim requerem sua atenção. Confira:
Café descascado no terreiro. Fonte: Rehagro
Tulha. Fonte: Vinicius Moribe
A cafeicultura é oscilante, mas nos últimos tempos, as safras têm ganhado cada vez mais destaque e valorização. Aquele que se prepara, produz mais, lucra mais e já consegue planejar os próximos passos para que a próxima safra seja ainda mais produtiva.
No curso online Gestão na Produção de Café, você aprenderá com quem entende do assunto, pois os professores atuam em fazendas comerciais e passarão o conhecimento a você. Não perca mais tempo e tire suas dúvidas:

O post Como aumentar a qualidade do seu café? apareceu primeiro em Rehagro Blog.
]]>O post Preço da saca do café: veja como aumentar apareceu primeiro em Rehagro Blog.
]]>Uma das formas mais certeiras para conseguir agregar mais valor à saca de café, é a busca pela produção de cafés especiais.

Sacos de café em galpão
Sem tempo para ler agora? Baixe este artigo em PDF!
Um café especial é definido de acordo com a SCA (Specialty Coffee Association) como todo café que atinge, no mínimo, 80 pontos na escala de pontuação na metodologia, que vai até 100.
Essa escala leva em consideração mais de 10 fatores e a classificação é feita de modo sensorial e experimental. São eles:

Classificação sensorial. Fonte: Vinicius Moribe
O consumo de café tem crescido a cada dia, e somado a isso, a busca por cafés de qualidade também apresenta um aumento crescente.
De acordo com dados da ABIC (Associação Brasileira da Indústria de Café), o consumo brasileiro em 2020 foi de 21,2 milhões de sacas, seguindo um ritmo de crescimento de 1,34% em relação ao mesmo período de 2019. O consumo em habitante ano está em 4,81 kg de café torrado (ABIC).
Apesar do consumo de café tradicional ainda dominar os lares, o mercado brasileiro de cafés premium tem crescido de forma acelerada, inclusive na pandemia.

Mudança no hábito de consumo de cafés. Fonte: Larissa Cocato
Além da produção de cafés de qualidade, que hoje tem apresentado grande procura e agregado valor ao preço de venda no nosso produto, a segmentação também pode ser uma ótima estratégia.
É possível notar essa valorização, por exemplo, com:
Portanto, buscar o aumento da qualidade do nosso café é uma ferramenta indispensável para quem busca aumentar o preço de venda da saca de café.
Isso é possível por meio de um manejo de pós-colheita adequado, envolvendo cuidados e higiene em todo processo, regulagens adequadas no processamento e boas condições de armazenamento.
Diante disso, a secagem do café, que é uma das etapas do manejo da pós-colheita, também apresenta grande influência na qualidade do café.
No curso online Gestão na Produção de Café Arábica, você aprenderá com quem entende do assunto, pois os professores atuam em fazendas comerciais e passarão o conhecimento a você. Não perca mais tempo e tire suas dúvidas:

O post Preço da saca do café: veja como aumentar apareceu primeiro em Rehagro Blog.
]]>O post Adubação nitrogenada no cafeeiro: saiba a importância e evite perdas apareceu primeiro em Rehagro Blog.
]]>Considerando que buscamos sempre a produtividade máxima econômica, (ponto onde a produção gera a maior rentabilidade da atividade) torna-se necessária obtenção do equilíbrio entre os diferentes nutrientes a fim de buscarmos incremento produtivo de nossas lavouras.
Este correto equilíbrio nos fará ter base para produções elevadas a partir de adubações anuais de reposição e suprimento da demanda produtiva da safra seguinte.
Gráfico retirado do site da ANDA.
Para tanto, práticas como a avaliação da fertilidade do solo, diagnóstico das deficiências da lavoura (podem ser reais ou induzidas), análise da demanda de macro e micro nutrientes, proporção entre nutrientes no solo e folhas, identificação das carências através de sintomas foliares, devem ser realizadas a fim de obtermos um diagnóstico atual e, a partir deste ponto, começarmos a planejar as práticas seguintes de manejo.
Passamos então ao exame do potencial atual das lavouras e delineamento das metas para o futuro em termos de produtividade.
A relevância desses detalhes é reforçada pelo elevado preço dos adubos nitrogenados, assim como sua considerável participação no custo de produção.
Sem tempo para ler agora? Baixe este artigo em PDF!
O nitrogênio é importante na expansão da área foliar, no crescimento da vegetação e na formação dos botões florais, sendo essencial na atividade fotossintética.
As deficiências de nitrogênio ocorrem principalmente na época de granação dos frutos, em função de adubações insuficientes, problemas no sistema radicular, falta de chuva que impede a sua absorção do solo ou excesso, pois adubos nitrogenados são facilmente lixiviados, principalmente os nitratos.
A deficiência é crítica nas lavouras com alta carga pendente e principalmente se estas lavouras forem de primeira safra, visto que apresentam baixa relação folha fruto.
Nas plantas com deficiência, as folhas adultas da base do ramo para a extremidade e, principalmente, nos ramos com carga, perdem o brilho e a cor verde escura, passando para verde limão.
Quando a deficiência se acentua as folhas amarelecem, iniciando pelas nervuras e caminhando para as folhas mais novas, chegando ao ponto de desfolha e seca de ponteiros depauperando a planta.
A matéria orgânica é a principal fonte de nitrogênio no solo, onde cerca de 85% do N encontra-se na forma orgânica, e o seu teor depende do processo de mineralização.
De acordo com a recomendação oficial, as doses de N baseiam-se em função do rendimento esperado e do teor de nutriente na folha para cafeeiros em produção.
São recomendadas, em média, doses de até 450 Kg por ha de N por ano agrícola, fornecidos no período chuvoso, de setembro a março, compreendendo as fases de floração, frutificação e desenvolvimento vegetativo. Existem poucos trabalhos de pesquisa realizados para fundamentar uma recomendação específica de adubação de formação, ou seja, antes da 1ª safra.
A eficiência da adubação nitrogenada é conhecida apenas indiretamente, por meio da resposta da cultura em termos de produção.
O melhor aproveitamento dos fertilizantes pelo cafeeiro, principalmente o N, está relacionado com o efeito de doses e parcelamentos e, sobretudo com a época de adubação. A absorção de nitrogênio pelo café é intensificada a partir do quarto mês do florescimento, coincidindo com o período de granação e maturação.
A época de aplicação dos adubos nitrogenados é determinada em função de:
É recomendado que as adubações nitrogenadas sejam feitas em três a quatro parcelas, devido a alta quantidade aplicada por ano e seus problemas com volatilização e lixiviação.
Estar de acordo com as novas técnicas de mercado é de suma importância para quem deseja produzir cafés com excelência.
Desde a implantação da lavoura, gestão de equipe na fazenda, manejos como a fertilidade e proteção, ou mesmo as fases finais de colheita e pós-colheita, é preciso ter domínio e segurança, caso queira obter sucesso.
Por isso, no Rehagro há o curso online Gestão na Produção de Café, onde professores atuantes em campo, ensinam de forma prática, atualizada e validada essas técnicas.
Clique abaixo e conheça um pouco mais sobre esse curso:
O post Adubação nitrogenada no cafeeiro: saiba a importância e evite perdas apareceu primeiro em Rehagro Blog.
]]>O post Cuidados para se ter uma boa colheita de café apareceu primeiro em Rehagro Blog.
]]>A colheita engloba, além da retirada dos frutos do pé, as etapas de:
Sem tempo para ler agora? Baixe este artigo em PDF!
Para que se tenha um café de qualidade, ou seja, uma bebida boa e melhor preço pago pelo mercado, é preciso atentar para as várias etapas ou processos.
Cada fazenda apresenta diferentes dificuldades, sejam elas financeiras, com mão-de-obra ou com equipamentos. Para que isso não venha prejudicar a fazenda, é importante se adequar com o que tem e fazer o melhor.
A maturação dos grãos pode variar de acordo com a região e com a variedade da lavoura. Com isso, cabe ao proprietário ou quem for o responsável pelas lavouras fazer um planejamento de colheita.
Para fazer um planejamento de colheita, a pessoa responsável precisa saber quais são as glebas de maturação adiantadas e tardias. Outro ponto importante no planejamento da colheita é saber quais glebas serão feitas com colheitas mecanizadas e quais será colheita manual.
A preparação da lavoura para a colheita objetiva facilitar o posterior recolhimento dos frutos no chão.
A arruação é uma operação de limpeza da parte de baixo e próximo ao cafeeiro.
Uma arruação bem feita evita que o café que cai no chão se misture aos restos de vegetais, dificultando a varrição, ou seja, apuração do café após a derriça, e prejudicando a qualidade do produto final. Muitas vezes, após a arruação, é preciso fazer um controle de plantas daninhas caso seja necessário.
Todo café que vem da lavoura passa por vários processos até ser beneficiado e, para que esses processos não venham prejudicar na qualidade do produto final, temos que ficar atentos e evitar imprevistos e prejuízos.
Para evitar imprevistos e prejuízos durante a colheita, é muito importante fazer uma revisão em toda a infraestrutura (terreiros, estradas, tulhas) da fazenda e equipamentos (lavadores, secadores, maquinas de beneficiar) usados durante a colheita.
Outro ponto importante é a compra de materiais como panos, peneiras, escadas e peças de reposição. Não deixe para a última hora e procure sempre fazer cotações de todo material comprado para não pagar mais caro.
Não deixe que seu café seja prejudicado! Só se consegue preços melhores se houver qualidade e, para ter qualidade, é primordial ter planejamento e organização.
Estar por dentro das tendências, novidades e conhecimentos técnicos do mercado agrícola cafeeiro, é o que pode te diferenciar entre os profissionais da área.
Aquele que busca se destacar e criar carreira na cafeicultura, precisa estar se atualizando constantemente, afinal, o Agro não para e está cada vez mais exigente.
Com o curso Gestão na Produção de Café, isso é possível! Professores atuantes em campo, vão te passar por meio de dados reais, atuais e validados, as técnicas para atingir a excelência de produção.
Domine as principais técnicas e destaque-se no mercado cafeeiro!
O post Cuidados para se ter uma boa colheita de café apareceu primeiro em Rehagro Blog.
]]>O post Pós-colheita do café: o especialista responde apareceu primeiro em Rehagro Blog.
]]>Assista ao conteúdo na íntegra e tire suas dúvidas sobre o assunto! Aperte o play no vídeo abaixo.
Para ter acesso a dicas técnicos sobre o agronegócio, siga o nosso perfil exclusivo! Clique AQUI.
O post Pós-colheita do café: o especialista responde apareceu primeiro em Rehagro Blog.
]]>O post Geada no café: como evitar prejuízos na propriedade apareceu primeiro em Rehagro Blog.
]]>A planta de café está entre as culturas mais sensíveis à geada. A sensibilidade está ligada a estrutura da parede celular, que no exemplo do café é sensível ao congelamento por se romper facilmente.
Sem tempo para ler agora? Baixe este artigo em PDF!
O frio por si só, causa um retardamento no crescimento da planta e as bordas das folhas novas amarelecem e podem ate a escurecer. Quando a geada atinge a planta, as partes atingidas atingem coloração escura, com aspecto de queima.
A geada pode atingir apenas as partes externas da planta (geada de capote), atingir o tronco em lavouras de até 1,5 anos (canela de geada) ou ainda queimar a planta como um todo. Os pontos da planta atingidos são caracterizados por grande formação de brotações (palmeamento) (MATIOELLO, et al, 2016).
Fonte: Luiz Paulo Vilela
Considerando o ponto de vista agronômico, a geada é um fenômeno que causa morte das plantas ou de algumas de suas partes em função da redução da temperatura ambiente. A morte da planta se dá devido a formação de gelo nos espaços intercelulares das plantas, que podem danificar o tecido de duas formas:
Ao contrário do que muitos pensam, o sol que atinge o gelo formado superficialmente no tecido vegetal não é a causa da queima das plantas. As geadas agronômicas são divididas em geada branca ou geada negra. A geada branca é quando há congelamento do orvalho e deposição na superfície do material vegetal, devido a condensação do vapor de água atmosférico.
A geada branca ocorre quando a temperatura de congelamento do ar é menor do que a temperatura de congelamento da planta, ou seja a umidade do ar está alta.
Geada branca em folha de cafeeiro no município de Nova Resende – MG (Foto: Diego Baquião).
Em condições em que a umidade do ar está baixa (o ar do ambiente está seco), o frio é capaz de congelar a seiva da planta antes mesmo de formar cristais de gelo na superfície vegetal. Portanto, não é visível como a geada branca e é denominada de geada negra. Diferente da geada negra, a geada branca em alguns casos pode ser reversível.
Como já citado, a geada ocorre nas noites que a temperatura ambiente esta baixa, ou seja, noites frias. Os meses de inverno (junho, julho e agosto) são os mais propensos a ocorrência do fenômeno, por serem secos e com as noites longas. Dias com o céu limpo (sem nuvens) e noites sem vento, também favorecem a redução da temperatura noturna.
Vários são os fatores que influenciam na resistência das plantas a geada, um deles é o estádio de desenvolvimento, em que nas fases de frutificação e maturação, a atividade fisiológica é maior, acarretando assim em maiores danos, ao passo que, uma injuria em plantas com menor atividade fisiológica causa menos danos.
O estado nutricional também influencia na resistência das plantas a geada, nesse sentido, quando se tem maior concentração de potássio diminui a temperatura de congelamento no interior da folha.
Dentre os manejos existentes para reduzir o prejuízo com geadas, a escolha da área é a melhor prevenção. Realizar plantios acima da “linha de geada” (mínimo de 4 anos sem ocorrência de geada) para evitar locais de risco.
Para saber onde é formada a linha de geada é interessante buscar o histórico da área e realizar bate papos com os vizinhos e pessoas mais velhas. Os locais abaixo da lavoura devem promover a drenagem do ar frio (evitar vegetação densa) e manter vegetação de porte alto acima da lavoura para evitar a entrada de ar frio na lavoura.
Manter a cultura no limpo, é uma medida recomendada para se realizar quando se tem risco de geada, isso porque a vegetação no solo faz com que o solo não receba calor durante o dia.
Também, a eliminação da palhada é recomendada nesses casos, uma vez que a palhada apresenta baixa condutividade térmica e baixa capacidade calorífica, dessa forma, ela aquece rapidamente, e também esfria rapidamente.
Portanto, em casos de risco de geada não é recomendada manter a braquiária na entrelinha do cafeeiro para cobrir o solo, nem mesmo a palhada da braquiária, mantendo o solo nu nas entrelinhas.
Entrelinha do cafeeiro mantida no limpo (Foto: Diego Baquião).
A boa condução da lavoura também é uma medida preventiva, visto que, uma lavoura bem cuidada oferece uma maior resistência a geada.
As propriedades que dispõe de irrigação devem fazer uso da mesma, pois o processo umidifica o ar e eleva o ponto de congelamento.
Quando observado o risco de geada, realizar uma adubação foliar com sulfato de potássio tem mostrado bons resultados por dois motivos: o nutriente potássio na planta aumenta o ponto de congelamento da seiva e o processo de pulverização, além de aplicar água, também causa uma turbulência no ar frio, dispersando-o no ambiente.
Também, o chegamento de terra junto ao tronco de cafeeiros é uma prática para proteger as plantas da “canela de geada”. Em que, caso ocorra a geada, a terra protege as gemas ortotrópicas e mesmo que as folhas e ramos plagiotrópicos sejam afetados, haverá rebrota.
Foi realizado um experimento em Londrina – PR, a fim de avaliar os efeitos do tempo de permanência de terra em contato com o tronco, no crescimento de cafeeiros jovens durante o período sujeito a geadas, e a eficiência desta prática na proteção contra o fenômeno da “canela de geada”.
Por meio desse estudo, foi observado que o tempo de permanência do solo junto ao tronco não interferiu no crescimento das plantas. Já em relação aos tratamentos cujos caules das plantas foram protegidos antes da ocorrência das geadas, estes não apresentaram nenhuma planta com sintomas de “canela de geada”, enquanto que nos demais, em que as plantas não foram protegidas, houve pelo menos uma planta afetada.
Após a ocorrência da geada, não é possível verificar exatamente até onde queimou, e os estragos causados para se tomar a decisão do que deverá ser feito no momento. Dessa forma, é necessário esperar para que os danos apareçam e se tome a melhor decisão, sendo assim, não é recomenda a poda imediata logo após a geada em lavouras de café.
Portanto, após o aparecimento dos danos causados pela geada e dependendo da sua intensidade é recomendado a realização de podas mais leves ou podas mais drásticas, como é o caso da recepa, ou mesmo não ser recomendado nenhum tipo de poda, e realizar apenas desbrotas.
Danos observados nas lavouras de café devido a ação da geada. (Foto: Luiz Paulo Vilela)
Estar por dentro das tendências, novidades e conhecimentos técnicos do mercado agrícola cafeeiro, é o que pode te diferenciar entre os profissionais da área.
Aquele que busca se destacar e criar carreira na cafeicultura, precisa estar se atualizando constantemente, afinal, o Agro não para e está cada vez mais exigente.
Com o curso Gestão na Produção de Café, isso é possível! Professores atuantes em campo, vão te passar por meio de dados reais, atuais e validados, as técnicas para atingir a excelência de produção. Domine as principais técnicas e destaque-se no mercado cafeeiro!

O post Geada no café: como evitar prejuízos na propriedade apareceu primeiro em Rehagro Blog.
]]>O post Colheita do café: a importância de um bom planejamento apareceu primeiro em Rehagro Blog.
]]>Por isso, diante desses fatores é importante o produtor e o técnico responsável observar a época de maturação dos frutos de sua região para fazer um bom planejamento de sua colheita e evitar atrasos que possam comprometer a safra subsequente.

Lavoura do cultivar Catuaí 62 (Foto: Luiz Paulo Vilela).
Sem tempo para ler agora? Baixe este artigo em PDF!
A colheita do café é uma das operações que mais impacta no custo de produção, logo a escolha do método de colheita para cada lavoura é essencial para uma boa relação custo-benefício para o produtor. Ou seja, para definir a melhor estratégia de colheita que se encaixa em seu sistema de produção é importante saber a produtividade esperada de cada lavoura, a disponibilidade de máquina, mão de obra, número de dias que serão gastos para sua realização e a capacidade que os terreiros ou secadores mecânicos suportam.

Terreiro de café com café cereja descascado. (Foto: Paulo Henrique).
A colheita pode ser realizada de forma manual, semimecanizada e mecanizada, variando de acordo com a escala de produção, nível tecnológico, mão de obra e com o objetivo de cada fazenda.
O sistema de colheita manual é muito utilizado, e nele as operações da colheita são realizadas a partir do trabalho braçal. Quando falamos nesse tipo de colheita, geralmente lembramos dos produtores de regiões montanhosas, essa forma de colheita é um método muito utilizado por eles, e sabendo do impacto que o custo com mão de obra representa na colheita do café, é importante que esses produtores invistam na cultura, principalmente no aumento da produtividade e na qualidade da bebida.
Por isso é recomendado que a colheita ocorra no momento de maior uniformidade de maturação, com o mínimo possível de grãos verdes, pois o café colhido verde perde na qualidade e no rendimento acarretando prejuízo ao produtor na época da comercialização.
No sistema de colheita semimecanizada são utilizadas derriçadoras portáteis, manejadas manualmente que provocam a vibração e queda dos frutos. É uma forma onde o rendimento é maior em relação à colheita manual.
O sistema de colheita mecanizado é muito utilizado em terrenos onde não há limitações com declividade. Isso permite um rendimento operacional maior e consequentemente reduzindo os custos de colheita. Para uma colheita mecanizada bem feita, é importante regular a velocidade da operação, vibração das hastes, tensão dos freios dos cilindros e verificar o número de passadas necessárias na lavoura.

Colheita mecanizada. (Foto: Paulo Henrique).
A colheita seja ela mecanizada ou manual, pode ser considerada um fator de estresse à planta, a partir disso a colheita antecipada pode ajudar na recuperação da lavoura no período pós-colheita, levando a lavoura a maior produção de ramos plagiotrópicos para a safra subsequente.
De acordo com o trabalho de Bordin et al. (2019), que teve como objetivo quantificar as estruturas reprodutivas do cafeeiro após submetê-lo a diferentes épocas de colheita, os autores observaram que: realizando a colheita mais precoce a planta tem maior tempo para se recuperar do estresse causado pela colheita e pelo forte dreno advindo dos frutos. Além disso, o atraso na colheita também compromete o manejo de lavoura em que se vai realizar a poda e os tratos culturais.

Média das estruturas reprodutivas* quantificadas em cada parcela experimental: colheita precoce, colheita ideal e colheita tardia.
Por isso, um bom planejamento de colheita visando colher a planta antes, torna-se imprescindível para um bom crescimento e produção da safra seguinte.
Além disso, a colheita antecipada das lavouras é uma estratégia importante também em lavouras que serão podadas. Isso porque as plantas podadas mais cedo, têm mais tempo para seu crescimento vegetativo. Neste caso, pode-se optar até mesmo pela utilização de aceleradores de maturação, a fim de liberar essa planta o quanto antes.
A colheita do café deve ser vista como o início de um novo ciclo. Por isso, é importante planejar a colheita para não comprometer a safra subsequente e, assim, obter bons resultados.
No curso online Gestão na Produção de Café, você aprenderá com quem entende do assunto, pois os professores atuam em fazendas comerciais e passarão o conhecimento a você. Não perca mais tempo e tire suas dúvidas:

O post Colheita do café: a importância de um bom planejamento apareceu primeiro em Rehagro Blog.
]]>O post Sucessão familiar: caminhos e legados apareceu primeiro em Rehagro Blog.
]]>
No dia 24/03, transmitimos um Webinar especial sobre sucessão familiar, onde falamos sobre os caminhos e legados enfrentados pelas três gerações do Grupo Jacto.
O evento foi um sucesso! Mais de 400 pessoas estiveram presentes para assistir ao relato do empresário Jorge Nishimura. Ele narrou a trajetória de sucesso da sua família na construção de uma empresa forte e reconhecida no mercado.
Além disso, fizemos dois sorteios durante a palestra. Cinco participantes foram contemplados com uma consultoria exclusiva, com Mauro Rossales e Vanessa Napp, que são especialistas em gerenciamento de riscos da sucessão. Também sorteamos exemplares do Livro ‘Caminhos e legados’.
A palestra foi muito elogiada! Quem participou, pediu bis e quem perdeu, ficou ansioso para assistir. Atendendo aos clames, vamos disponibilizar o vídeo NA ÍNTEGRA! É só clicar no botão abaixo:
Compartilhe com quantas pessoas quiser! O conteúdo é extremamente relevante para quem quer fazer o negócio familiar prosperar e ter sucesso.
Para ter acesso a este e outros assuntos, siga-nos no Instagram! É só clicar AQUI.
Para assistir outros Webinars, clique AQUI!
O post Sucessão familiar: caminhos e legados apareceu primeiro em Rehagro Blog.
]]>O post Braquiária na entrelinha do cafeeiro: um case de sucesso apareceu primeiro em Rehagro Blog.
]]>Muito empregada pelos produtores, ela é uma estratégia que traz inúmeros benefícios para cafeeiros em formação e lavouras em produção, como a manutenção da umidade do solo, diminuição na utilização de herbicidas e no controle de plantas daninhas.
No entanto, atenção!
Muitos produtores erram na escolha da cultivar mais apropriada e em seu manejo.
Neste e-book, você verá dicas importantes para acertar todos os pontos nessa técnica, beneficiar sua lavoura e alcançar resultados fantásticos.
Clique no link abaixo para baixá-lo. O conteúdo é gratuito!
O post Braquiária na entrelinha do cafeeiro: um case de sucesso apareceu primeiro em Rehagro Blog.
]]>O post Fermentação do café: saiba como funciona essa técnica apareceu primeiro em Rehagro Blog.
]]>Aliado a isso, também tem crescido a procura e interesse por cafés fermentados, visando a mesma estratégia, de agregar mais valor ao produto, somado ao diferencial de ampliar o mercado e de ter uma maior diversidade dentro da fazenda, contribuindo assim, para melhorar a lucratividade do produtor.
Sem tempo para ler agora? Baixe este artigo em PDF!
A fermentação já é um processo conhecido, que ocorre por exemplo em pães, cervejas, vinhos, queijos, dentre outros. No entanto, no café, a fermentação sempre esteve mais associada a processos degradativos que aconteciam nos frutos, tanto na planta, quanto na pós-colheita.
Essa fermentação ruim, acontecia devido a ação de microrganismos saprófitas, que degradavam os frutos de café, consumindo as partes que têm açúcar e água no fruto, prejudicando assim as sementes do café.
Como resultado dessa fermentação, tínhamos principalmente, frutos ardidos, com sabores amargos e ásperos ao paladar, e também prejuízos à classificação física, uma vez que frutos ardidos são considerados defeitos na classificação.
Entretanto, atualmente, a fermentação trazida para a pós-colheita, é caracterizada pela condução e controle do processo fermentativo, onde é feito com microrganismos específicos que promovem um meio adequado as mudanças dentro da semente, mudanças essas que são para trazer melhor qualidade e novas nuances para a bebida. Sendo ela, totalmente o contrário daquela fermentação ruim, que não é controlada, trazendo complicações para a bebida.
A fermentação do café consiste na degradação natural da polpa e da mucilagem do fruto realizada por microrganismos. Como resultado desta degradação, são produzidos compostos que podem interferir no sabor e aroma da bebida final.
Em condições adequadas, a mucilagem que está presente nos frutos de café, é atacada por fungos e leveduras e são produzidas enzimas e ácidos orgânicos, estes vão quebrar os carboidratos, proteínas e polifenóis. Através da quebra desses compostos, são formados compostos menores, metabolizados, que vão ser precursores de aroma e sabor para o café.
Nesse sentido, essa fermentação boa vem com o intuito de agregar qualidade ao café, mas pensando dessa forma, então seria recomendado fermentar todos os cafés produzidos na fazenda? A fim de buscar melhora na sua bebida?
Para saber sobre isso, devemos responder a seguinte pergunta:
Não, realizar a fermentação de qualquer café não vai fazer ele se tornar um café especial.
Para isso, o café deve ter uma base de qualidade, para se conseguir agregar características que são bastante interessantes nesse processo fermentativo. Por isso, o acréscimo desses aromas e sabores diferenciados só ficam interessantes se eles tiverem uma base.
Portanto, deve-se monitorar os cafés no campo, para monitorar a qualidade desses talhões, a fim de tomar a decisão dos cafés a serem fermentados.
E pensando em cafés naturais e descascados, ambos podem ser fermentados?
Sim, apesar de haver diferenças nas quantidades de polpa em cada um deles, tanto os cafés naturais, quanto os cafés descascados podem ser fermentados.
Não somente devemos tomar a decisão de quais cafés serão fermentados na propriedade, mas também a decisão de qual o tipo de fermentação que vamos realizar nesses cafés.
Isso porque, existe mais de um tipo de fermentação, cada uma delas com sua particularidade e característica específica.
É caracterizada por fermentar o café em um sistema aberto, com a presença de oxigênio.
É caracterizada por fermentar o café em um sistema submergido em água limpa e, dessa forma, sem a presença de oxigênio.
É caracterizado por injetar CO2 no processo, dessa forma, é uma fermentação estritamente anaeróbia, sem oxigênio.
É semelhante à maceração carbônica, no entanto, sem a injeção de CO2. Dessa forma, existe uma pequena quantidade de oxigênio presente no início do processo, e à medida que a fermentação produz CO2, vai tornando o processo estritamente anaeróbico, ou seja, sem oxigênio.
É caracterizada pelo emprego de dois métodos de fermentação, independente de qual é o método.
Apesar de termos mais de um tipo de fermentação, cada uma com sua particularidade, todas necessitam de acompanhamento e controle das fermentações.
A fermentação pode ser influenciada por vários fatores, dentre eles:
Portanto, o tipo do microrganismo assim como a sua quantidade pode afetar e mudar todo o processo. Assim como, a polpa do café, em que, cada uma traz uma qualidade diferente, e podem ter diferenças também em relação à quantidade/qualidade da polpa nas diferentes cultivares.
A temperatura é um fator fácil de ser levantado, por meio de termômetros, e também muito importante para verificar se o processo de fermentação está acontecendo ou não, e se a gente já pode finalizar a fermentação.
O pH mede a acidificação do meio, por meio de pHmetros, e é importante para verificar se o processo está declinando, uma vez que a acidificação do meio, vem pela atividade desses microorganismos, acarretando em um ambiente acido ali.
Também, fatores como a qualidade da água, nos processos que possuem água influenciam na fermentação, e além disso, o local onde está sendo feito a fermentação deve ser bem limpo e higienizado a fim de evitar possíveis contaminações. Dessa forma, tornando-se imprescindível o controle dessas condições externas.
O tempo da fermentação também é fator fundamental a ser controlado. Isso porque a variação do tempo, pode acarretar em variações na qualidade e nas propriedades sensoriais do café.
Portanto, percebe-se que vários são os fatores que influenciam na fermentação do café. Por isso, devem ser anotados/acompanhados todas as condições do processo, para entender o que está acontecendo ali, e com isso, conseguir finalizar e repetir o processo.
Após o processo de fermentação, independente de qual deles foi utilizado, todo o café deve ser lavado para retirada dos resíduos do processo de fermentação e interromper a mesma, para assim passar para o processo de secagem.
Agregar mais valor ao seu produto é o segredo para alcançar maior vantagem competitiva no mercado e um maior retorno para o seu bolso.
Aqui no Rehagro, além de Consultora Técnica, sou coordenadora de um curso, que é o Curso Online Gestão na Produção de Café.
Nele, temos uma disciplina completa que fala sobre a Fermentação de Cafés e várias outras que falam sobre como podemos melhorar a qualidade dos grãos, o que aumenta o valor da saca no momento da comercialização e, consequentemente, a lucratividade. E ele vai muito além disso.
É um curso feito para quem tem o pé no cafezal e quer encontrar, em um só lugar, toda a informação que precisa sobre todo o processo produtivo do café, passo a passo, e a gestão da fazenda.
Você sairá preparado para ter a palavra final e conduzir suas equipes e lavouras rumo à produtividade máxima. E então, caberá a você aplicar o que aprendeu para construir um negócio de sucesso.

O post Fermentação do café: saiba como funciona essa técnica apareceu primeiro em Rehagro Blog.
]]>O post Como interpretar uma análise de solo e fazer os cálculos de recomendação apareceu primeiro em Rehagro Blog.
]]>No dia a dia do campo, sabemos que a análise do solo é uma ferramenta valiosa, que ampara com exatidão os próximos passos do manejo, como a adubação racional.
Com o resultado em mãos, devemos conhecer bem os parâmetros que buscamos, para realizarmos os cálculos de recomendação dos nutrientes corretamente.
Sem tempo para ler agora? Baixe este artigo em PDF!
Quando há escassez de nutrientes no solo, os sintomas de deficiência se manifestam e, neste ponto, as alterações no metabolismo da planta já ocorreram, o que significa que a produção já está sendo comprometida e o prejuízo já está ocorrendo.
Por isso, faz-se necessário uma recomendação adequada de nutrientes, suprindo todas as demandas do cafeeiro.
Neste artigo, vamos demonstrar, passo a passo, como interpretar uma análise de solo e realizar os cálculos de recomendação de:
Para isso, vamos usar um exemplo prático. Acompanhe abaixo:
Tabela 1. Resultado da análise de solo de 0 – 20 cm de profundidade em lavoura de café.
Informações do talhão 1:
Tabela 2. Padrões referenciais médios para avaliação de resultados de análise de solo na cultura do café. Fonte: Luiz Paulo Vilela – Coordenador da equipe Rehagro Café e consultor técnico.
Como não há resultado de teor de nitrogênio na análise de solo, devido a sua dinâmica no solo, a recomendação para esse nutriente é feita com base na expectativa de produtividade esperada para a cultura:
N (kg/ha) = (produção (em sacas por ha) x 2,6) + (próxima safra (em sacas por ha) x 3,6)
Calculando:
N (kg/ha) = (25 sc/ha x 2,6) + (45 sc/ha x 3,6)
N (kg/ha) = 65 + 162
N (kg/ha) = 227 kg/ha de nitrogênio.
Se a fonte utilizada for a ureia, que possui 45 % de N, serão necessários:

No entanto, é necessário calcular a demanda de ureia com base na sua eficiência (perdas por volatilização), que pode ser considerada de 60 a 80% dependendo das condições, assim consideramos 70%:
504,4 kg de ureia / 0,70 (eficiência) = 720,6 kg de ureia por ha
Dessa forma, com base nos cálculos, para essa lavoura com produtividade esperada para esse ano agrícola de 25 sacas por hectare e para a safra do ano seguinte de 45 sacas por hectare, é recomendado a aplicação de 227 kg/ha de nitrogênio.
Utilizando a fonte ureia é demandado 720 kg desse fertilizante por hectare, considerando sua eficiência de 70%.
Na análise foi utilizado o extrator Mehlich 1, e o teor de fósforo é 15,5 mg/dm3, mas eu quero atingir 20 mg/dm3 (tabela 2). Por isso, é necessário aumentar 4,5 mg/dm3:
20 mg/dm3 (teor desejável) – 15,5 mg/dm3 (teor no solo) = 4,5 mg/dm3.
Conforme a tabela abaixo, utilizando o extrator Mehlich, para elevar 1 mg/dm3 de fósforo em um solo com 40% de argila, é necessário 30 kg de P2O5 (marcado em vermelho):
Tabela 3. Valores do fator CT (capacidade tampão de fósforo) para estimar a dose do adubo fosfatado, em função do teor de argila no solo, para os métodos de Mehlich 1 e resina.
Dessa forma, se eu desejo aumentar 4,5 mg/dm3:

Utilizando a fonte de Superfosfato Simples que possui 18% de P2O5, teremos que aplicar:

Dessa forma, a quantidade de Superfosfato Simples recomendada será de: 750 kg desse fertilizante por hectare.
**Se o extrator utilizado for o resina, devemos olhar os parâmetros para se trabalhar no solo com o extrator resina (tabela 2), e verificar quantos kg de P2O5 é necessário para aumentar no solo 1 mg/dm3 de P (tabela 3). Após isso, realizar os mesmos cálculos exemplificados acima.
Para o nutriente potássio, pode-se trabalhar para manter 120 mg/dm3 no solo (tabela 2), adicionado a extração pela cultura, de acordo com a produção e vegetação:
K (kg/ha) = (produção x 3) + (vegetação x 2,9)
K (kg/ha) = (25 sc x 3) + (45 sc x 2,9)
K (kg/ha) = 75 + 130,5 = 205,5 kg/ha de K2O
Como o solo já está com teor de potássio acima de 120 mg/dm3, vamos calcular para descontar essa reserva do solo da quantidade de potássio demandada para aplicação:
153,0 mg/dm3 (teor no solo) – 120 mg/dm3 (nível para manter no solo) = 33 mg/dm3
Em cmolc/ dm3 essa quantidade corresponde a: 0,08 cmolc/dm3 que preciso aumentar no meu solo:

Para aumentar 1 cmolc/dm3 é necessário 942 kg de K2O por hectare:

Recomendação de potássio:
205,5 kg/ha de K2O (para produção e vegetação) – 75,4 kg de K2O/ha (reserva do solo) = 130,1 kg de K2O/ha.
Se a fonte utilizada for o cloreto de potássio, que contém 60% de K2O:

Tabela 4. Demanda de nitrogênio, fósforo e potássio por hectare para essa lavoura
Exemplificamos acima, como é feita a recomendação de adubação para os nutrientes NPK, com base na análise de solo, e nas condições da lavoura exemplificadas neste material.
E então? Da próxima vez que a análise de solo chegar, você vai estar pronto para fazer uma recomendação adequada?
Essa interpretação e esses cálculos geram muitas dúvidas, até mesmo nos mais experientes profissionais.
Mas precisamos saber realizá-los com exatidão, porque são a base de planejamento para outras etapas de importância crucial na produção.
A cafeicultura é oscilante, mas nos últimos tempos, as safras têm ganhado cada vez mais destaque e valorização. Aquele que se prepara, produz mais, lucra mais e já consegue planejar os próximos passos para que a próxima safra seja ainda mais produtiva.
Se você busca esse resultado, comece se atualizando com as novas técnicas de mercado.
No curso online Gestão na Produção de Café Arábica, você aprenderá com quem entende do assunto, pois os professores atuam em fazendas comerciais e passarão o conhecimento a você. Não perca mais tempo e tire suas dúvidas:

O post Como interpretar uma análise de solo e fazer os cálculos de recomendação apareceu primeiro em Rehagro Blog.
]]>O post Parâmetros para se trabalhar na interpretação de uma análise de solo apareceu primeiro em Rehagro Blog.
]]>Após a realização da amostragem do solo e envio da amostra para o laboratório, recebemos um laudo repleto de números, mostrando a quantidade de cada nutriente.
E, nesse momento, pode bater aquela dúvida: e agora?
Os teores indicados estão ruins, bons ou ideais?
Saiba quais são os parâmetros usados nessa avaliação!

É muito importante conhecermos os teores que devemos buscar nos solos. Como a lei no mínimo aborda, aquele nutriente em menor disponibilidade irá afetar a produtividade da cultura.
Dessa forma, de nada adianta termos altos teores de um determinado nutriente no solo, enquanto temos outro nutriente extremamente escasso, com valores abaixo dos níveis ideais.
O potencial hidrogeniônico se refere à concentração de H+ em uma solução. A escala de pH varia entre 0 – 14, em que quanto menor o valor, mais ácido, e quanto maior o valor, mais básico. Para o solo, buscamos trabalhar com um pH em água entre 6,0 – 6,5.
O potássio, em mg/dm3, buscamos trabalhar com teores superiores a 120 mg/dm3 no solo. Se a unidade de medida for cmolc/dm3, o valor deve ficar em torno de 0,30 cmolc/dm3. Vale destacar, que para o potássio, devemos estar atentos ao equilíbrio dos nutrientes Ca:Mg:K no solo, sempre se atentando e buscando relações de 9:3:1 ou 25:5:5.
Para passar de cmolc/dm3 para mmolc/dm3, devemos multiplicar por 10.
Para passar de mmolc/dm3 para cmolc/dm3, devemos dividir por 10.
Para passar de mg/dm3 para cmolc/dm3, devemos dividir o valor em mg/dm3 por 391.
Para o fósforo, o resultado desse nutriente pode ser dado utilizando o extrator mehlich 1 ou resina (em alguns locais deve ser solicitado a análise com esse extrator).
O extrator resina apresenta um resultado de P mais fidedigno da realidade, quando comparado ao extrator mehlich 1.
Quando utilizado o extrator resina, buscamos trabalhar com teores acima de 40 mg/dm3 no solo.
Quando utilizado o extrator mehlich 1, buscamos trabalhar com teores acima de 30 mg/dm3 no solo.
Para o cálcio, buscamos trabalhar no solo acima de 3,0 cmolc/dm3, devendo também ficar atento ao equilíbrio de Ca:Mg:K mencionado acima, devido a esses nutrientes competirem pelo mesmo sitio de absorção.
Para passar de cmolc/dm3 para mmolc/dm3, devemos multiplicar por 10.
Para passar de mmolc/dm3 para cmolc/dm3, devemos dividir por 10.
Para o magnésio, buscamos trabalhar no solo, com teores acima de 1 cmolc/dm3.
Para passar de cmolc/dm3 para mmolc/dm3, devemos multiplicar por 10.
Para passar de mmolc/dm3 para cmolc/dm3, devemos dividir por 10.
O boro é um micronutriente, em que o ideal é trabalharmos com teores acima de 1,0 mg/dm3 no solo.
O alumínio é um elemento tóxico às raízes, por isso, o ideal é que seu valor no solo seja de 0 cmolc/dm3.
Para passar de cmolc/dm3 para mmolc/dm3, devemos multiplicar por 10.
Para passar de mmolc/dm3 para cmolc/dm3, devemos dividir por 10.
Importante: em alguns locais, o resultado da análise é dado em mmolc/dm3 e em outros laboratórios é dado em cmolc/dm3, por isso, abaixo de cada nutriente está como transformar as unidades de um para outro.
O manejo do solo é fundamental para o sucesso da produção, desde seu preparo para a implantação até a adubação de produção.
A partir de uma boa interpretação da análise do solo, podemos partir para a elaboração de uma estratégia de adubação racional, oferecendo ao cafeeiro tudo o que ele precisa para alcançarmos safras cada vez mais produtivas!
Estar por dentro das tendências, novidades e conhecimentos técnicos do mercado agrícola cafeeiro, é o que pode te diferenciar entre os profissionais da área.
Aquele que busca se destacar e criar carreira na cafeicultura, precisa estar se atualizando constantemente, afinal, o Agro não para e está cada vez mais exigente.
Com o curso Gestão na Produção de Café, isso é possível! Professores atuantes em campo, vão te passar por meio de dados reais, atuais e validados, as técnicas para atingir a excelência de produção. Domine as principais técnicas e destaque-se no mercado cafeeiro!

O post Parâmetros para se trabalhar na interpretação de uma análise de solo apareceu primeiro em Rehagro Blog.
]]>O post Métodos de preparo de café: Coado, Hario V60, Moka (ou Cafeteira Italiana) e Aeropress apareceu primeiro em Rehagro Blog.
]]>Dentre os métodos, temos: Coado, Hario V60, Moka (Cafeteira italiana), Aeropress, Chemex, Franch Press, Globinho e Pressca.
Nesse texto falaremos sobre os métodos de preparo: Coado, Hario V60, Moka (cafeteira italiana) e Aeropress.
O café coado surgiu na França por volta de 1780, e se popularizou na Inglaterra em 1815. No entanto, os cafés eram coados em coadores de algodão ou linho com um trançado de má qualidade, o que não deixava a bebida tão agradável. Assim, em 1908 a dona de casa alemã Melitta Bentz, inventou o primeiro filtro descartável de papel. A partir disso, o café coado em filtro de papel ou de pano ganhou espaço, sendo atualmente por sua praticidade, eficiência e qualidade, um dos métodos mais utilizados pelos brasileiros.
No preparo do café coado, o ideal é que se utilize cafés com moagem média ou fina. Em relação ao tempo de preparo, após a água ferver, demora-se cerca de 3 minutos. Esse método possui baixa dificuldade no preparo, baixo investimento e média complexidade de sabor. Dessa forma, o sabor da bebida por esse método, geralmente, é mais leve, doce e com acidez acentuada. Uma desvantagem em comparação aos outros métodos é que não há o controle em nenhuma etapa de extração, dessa forma não é possível prever a potência dos elementos presentes no café na xícara.

(Foto: site Vila café)
– Escalde o filtro com água fervente para evitar qualquer transferência de resíduos para a bebida;
– Coloque o pó no filtro, espalhando-o uniformemente, sem compactar;
– Despeje a água, antes da fervura (90ºC) ou após fervura (98ºC), em pequenas quantidades sobre o pó das beiradas para o centro do filtro, para umedecê-lo e deixe por cerca de 30 segundos. Posteriormente, despeje o restante do líquido lentamente no centro do filtro.
O Hario V60 é um método japonês similar ao café coado, onde também se utiliza um filtro de papel. No entanto, o porta filtro apresenta linhas espirais ou veios na parte interna, com isso proporciona a expansão do pó de café no momento em que a bebida é coada. Há também um grande orifício circular na parte inferior do coador permitindo que a velocidade seja controlada, além de impedir o acúmulo de resíduos na base da extração.
Dessa forma, o filtro de papel segue em um modelo diferente. Ele possui formato de cone, o que permite uma filtragem rápida, igualitária e uniforme. A moagem indicada é de média para fina e seu tempo de preparo é similar ao café coado comum. O resultado desse método é uma bebida adocicada e com sabor suave, na qual fica evidente todas as nuances do café. Dentre as poucas desvantagens do método, é o uso de filtros específicos, dessa forma, não estão disponíveis para venda em qualquer supermercado como o filtro comum.

(Foto: site Grão gourmet)
Criada em 1933 por Alfonso Bialetti, a cafeteira Moka ou Italiana é conhecida por preparar um café forte, encorpado e saboroso, tendo características de café expresso. A Moka geralmente é de metal, formada por três compartimentos: base, dispenser de pó e parte superior com filtro na base. O café por esse método pode ser preparado em menos de 4 minutos, sem o uso de filtro de papel e sem a necessidade de verter a água sobre o pó.
O recomendado é que se utilize moagem média/grossa, pois a fina pode entupir o filtro e impedir a passagem da água. Além disso, o controle do fogo nesse método é essencial, pois o metal muito quente pode ocasionar a queima do café.

(Foto: site coisas da Léia)
A Aeropress foi criada em 2005 pelo engenheiro Alan Adler, apesar de ser um método recente, encanta pela praticidade e pela variedade de possíveis receitas, podendo apresentar uma xícara intensa com características de um café expresso, ou até mesmo uma bebida suave, com acidez acentuada, lembrando o café coado. Com isso, o método permite variações de moagem, de acordo com a preferência e apresenta baixo tempo de preparo, de apenas 2 minutos. Além disso, a Aeropress também é portátil e de fácil manipulação, possui formato de cilindro e duas peças que se encaixam, formando um vácuo.
O método não dispensa a utilização de filtro, podendo ser de papel ou metálico. O filtro de papel é descartável, e pode reter alguns óleos, produzindo uma bebida mais limpa com menor amargor. Apesar de ter um preço acessível, no Brasil ainda é difícil encontrar locais de venda.
Já o filtro metálico não é descartável, podendo ser mais econômico por não necessitar de trocas de filtros. Esse tipo de filtro gera uma bebida menos limpa, por não segurar tantas partículas, com isso, uma bebida mais amarga. Havendo também dificuldades para encontrar locais de venda no Brasil.

(Foto: site cafeculturabrasil)
Existem duas maneiras de utilizar a Aeropress, pela montagem tradicional e pela montagem invertida:
Para saber outros métodos de preparo do café, confira o artigo:
“Métodos de preparo de café: Chemex, French Press, Cafeteira Globinho e Pressca”


O post Métodos de preparo de café: Coado, Hario V60, Moka (ou Cafeteira Italiana) e Aeropress apareceu primeiro em Rehagro Blog.
]]>O post Métodos de preparo de café: Chemex, French Press, Cafeteira Globinho e Pressca apareceu primeiro em Rehagro Blog.
]]>Considerado um método sofisticado de se preparar um bom café, o Chemex, é mais utilizado por amantes da bebida que o apreciam de forma gourmet. Este método tem origem alemã, e foi se espalhando com facilidade por se tratar de uma única peça e ter um designer muito atrativo, além de ser considerado muito prático. Seu formato tende a promover uma maior conservação das propriedades intrínsecas do café, aumentando assim, a qualidade da bebida através de técnicas de infusão.
Das proporções, recomenda-se que para o preparo da bebida utilizando este método com a Chemex, seja aquecida 275 ml de água à 95 °C e 20g de café moído, em moagem média grossa. É importante lembrar, que essas proporções são sugestões que não impedem que haja alterações para agradar os gostos pessoais.
Este método tem algumas desvantagens que podem dificultar o preparo do café. Deve-se ter atenção no manuseio da cafeteira, tendo em vista que seu material pode ser facilmente quebrado.
Seu tempo de preparo pode variar de acordo com a habilidade que o preparador já possui com o equipamento, variando de 3 a 4 minutos.

(Foto: site espressomachine.com)
O método French Press, popularmente conhecido como “prensa francesa” é uma forma bem simples de se preparar um café. Como já diz o próprio nome, este método foi originado na França, em 1852, como um método que utiliza a filtragem e infusão como meio de se extrair melhor as propriedades do café.
Neste método a água fica em contato com o café o tempo todo, com isso o processo de extração tende a continuar mesmo com o êmbolo já abaixado, portanto deve-se consumir a bebida o quanto antes, para que não haja perda da qualidade do café.
As proporções irão depender muito dos gostos pessoais, uma bebida mais forte ou mais suave, cada preferência tem suas proporções, além disso, cada método de preparo tem sua moagem ideal. Uma sugestão é que para o método da prensa francesa, deve-se moer 25 gramas de café, equivalente a duas colheres de sopa, em moagem grossa, para 200ml de água à 95 °C.
As principais desvantagens deste método de preparo, são a presença de sedimentos de café ao final do preparo e a possibilidade de se fazer uma super extração do pó.
O preparo da bebida neste método é um pouco mais rápido, podendo ser servido após 2 ou 3 minutos de começar a ser feito.

(Foto: site revistaespresso.com)
Criada em meados de 1830, na Alemanha, a cafeteira Globinho, também conhecida como Sifão ou Globo, possui um formato ímpar que desperta curiosidade em quem conhece em preparar um belo café, diante de tanta elegância.
Este método traz algumas características que não são encontradas em cafeteiras convencionais. Como o próprio nome já diz, ela possui globos de vidro na parte superior e inferior, além do filtro e funil. Seu segredo está na transferência de calor a vácuo, que tende a acontecer quando a água ferve. Essa particularidade se dá naturalmente pela disposição de sua estrutura, que proporciona que a água tenha esse movimento natural dentro da cafeteria.
Para preparar um bom café utilizando a Globinho, recomenda-se que a moagem do café seja média grossa (como açúcar cristal), para evitar que o pó passe para o globo que ficará com a bebida já pronta. Tendo como proporção ideal de 20g de café para 200ml de água.
Esta cafeteria pode ser encontrada em lojas especializadas em bebida de café e tende a ter um valor de compra alto. Seu manuseio também se torna uma desvantagem, pois pode ser facilmente danificado. A pessoa que ainda não tem habilidades para manusear esta cafeteira é comum de acontecer pequenas queimaduras durante o preparo da bebida, por isso deve- se ter atenção.
O tempo de preparo neste método pode variar bastante, uma vez que pode haver interferência no controle de aquecimento da água controlando a intensidade do fogo. Normalmente este processo demora até 5 minutos para que esteja pronto a servir.

(Foto: site blog.ucoffee.com)
A cafeteira Pressca, é uma invenção nacional, que vem sendo bastante procurada no mercado, diante da facilidade em estar carregando ela, uma vez que, ela consegue preservar a temperatura do café, sendo útil para transportar para o trabalho, escola, viagens e diversos outros lugares.
Sua fácil locomoção é dada, pela simplicidade em sua estrutura, sendo composto apenas por dois copos, interno e externo, garantindo o isolamento térmico, e o êmbolo, onde fica o filtro de aço.
Esta cafeteira permite ao consumidor alternar nos tipos de moagens, proporcionando diferentes resultados dentro de um mesmo café, o que não acontece em outros métodos que normalmente já vem com recomendação de uma moagem específica.
Junto da embalagem na Pressca vem uma marcação delimitando o máximo de água que se deve adicionar, esse limite deve ser respeitado para que não haja danificação do material. Com isso, podemos variar bastante em relação a proporção de água e café que iremos fazer a bebida, de acordo com os gostos individuais. Uma recomendação é uma porção de 100ml de água quente para 10g de café.
Este método é tão simples e rápido que quase não se encontra desvantagens em comparação com outros métodos. A única particularidade desta cafeteira é que foi planejada para suprir uma pessoa, preparando quantidades quase que individuais.

(Foto: site revistaespresso.com)

O post Métodos de preparo de café: Chemex, French Press, Cafeteira Globinho e Pressca apareceu primeiro em Rehagro Blog.
]]>O post Diferenças entre a mancha aureolada e cercosporiose: veja as principais apareceu primeiro em Rehagro Blog.
]]>Mas esse erro gera grandes prejuízos para o bolso e para a produção, uma vez que o agente etiológico é diferente e, dessa forma, o controle também!
Saiba com esse artigo como não errar esse diagnóstico!
Sintomas de mancha aureolada no cafeeiro. (Foto: Luiz Paulo Vilela).
Sem tempo para ler agora? Baixe este artigo em PDF!
É causada pela bactéria Pseudomonas Syrigae.
A mancha aureolada é favorecida por temperaturas de 25° a 30°C, pluviosidade elevada e alta umidade relativa.
Além disso, os ferimentos servem como porta de entrada para esse patógeno, podendo ser causado por áreas sujeitas a ação dos ventos (maiores altitudes), por chuva de granizo ou frio intenso que podem provocar essas lesões (Pozza et al., 2010).
Sintomas de mancha aureolada no cafeeiro. (Foto: Diego Baquião).
É causada pelo fungo Cercospora coffeicola.
A cercosporiose é favorecida pela radiação solar, uma vez que locais mais expostos ao sol ativam a enzima cercosporina, aumentando assim a incidência da doença.
Outra condição favorável é o desequilíbrio nutricional principalmente entre potássio e cálcio, assim como temperaturas de 10° a 25°C e alta umidade relativa.
Sintomas de cercosporiose no cafeeiro. (Foto: Luiz Paulo Vilela).
Mancha aureolada (foto da esquerda) e cercosporiose (foto da direita). (Foto: Luiz Paulo Vilela).
A mancha aureolada (foto da esquerda) pode infectar desde mudas de café no viveiro, lavouras novas até lavouras adultas, causando manchas de cores pardas, circundadas por um grande halo amarelo, o que caracteriza o nome mancha-aureolada.
A cercosporiose (foto da direita) é uma doença que também pode infectar desde mudas no viveiro, até lavouras novas e adultas, e pode apresentar sintomas nas folhas e nos frutos.
As folhas apresentam manchas circulares de coloração castanho-clara a escura, com centro branco-acinzentado, que não é verificado no sintoma da mancha aureolada.
Essas manchas quase sempre são envolvidas por um halo amarelado, como o sintoma causada pela bactéria Pseudomonas Syrigae, porém com coloração amarelo menos acentuada.
Reboleira de Mancha Aureolada em viveiro (Foto: Diego Baquião)
Para diferenciar a mancha aureolada da cercosporiose, pode-se observar a seca de ramos, que é um sintoma característico, em que os ramos secam e ficam inicialmente com as folhas murchas, caindo posteriormente as folhas, sintoma esse que não é observado pela incidência de Cercospora coffeicola.
Incidência de mancha aureolada nos ramos de lavouras de produção (Foto: Diego Baquião).
Incidência de mancha aureolada nos ramos de lavouras de produção (Foto: Diego Baquião).
Sintomas de Cercospora nas folhas de café (foto da esquerda) e nos frutos de café (foto da direita).
É importante estar atento aos sintomas no campo! Assim, o manejo correto pode ser realizado em cada uma das situações, evitando maiores prejuízos!
Fique de olho também em outras doenças que acometem o cafeeiro, como a ferrugem, além das pragas, que causam defeitos nos grãos e comprometimento da qualidade.
A cafeicultura é oscilante, mas nos últimos tempos, as safras têm ganhado cada vez mais destaque e valorização. Aquele que se prepara, produz mais, lucra mais e já consegue planejar os próximos passos para que a próxima safra seja ainda mais produtiva.
Se você busca esse resultado, comece se atualizando com as novas técnicas de mercado.
No curso online Gestão na Produção de Café, você aprenderá com quem entende do assunto, pois os professores atuam em fazendas comerciais e passarão o conhecimento a você. Não perca mais tempo e tire suas dúvidas:

O post Diferenças entre a mancha aureolada e cercosporiose: veja as principais apareceu primeiro em Rehagro Blog.
]]>O post Carneirinho no café: como manejar essa praga? apareceu primeiro em Rehagro Blog.
]]>Essa praga é polífaga e por isso, além de causar prejuízos ao cafeeiro, podem causar danos em diversas outras culturas como Citrus sp, cana-de-açúcar, alfafa, entre outras.

Carneirinho (Foto: Dalyse Castanheira).

Adulto de Naupactus cervinus. (Fonte: SOUZA, ANJOS & SORGATO, 2009.)
Apesar de não serem muito comuns na cultura do café, podem ocorrer ataques ocasionando assim em danos as lavouras.
Sem tempo para ler agora? Baixe este artigo em PDF!
Os adultos permanecem durante o dia escondidos entre as folhas ou nas axilas das folhas e se alimentam durante a noite.
Esses besouros se alimentam de folhas tenras, por isso é comum seu ataque em cafeeiros novos e em brotações de lavouras recepadas, recortando os bordos das folhas, acarretando assim em aspecto rendilhado. Os danos causados podem servir como porta de entrada de patógenos.
Além disso, as larvas que permanecem no solo, podem consumir as radicelas e raízes finas.

Danos causados pelo Carneirinho no café. (Foto: Dalyse Castanheira).

Danos causados pelo Carneirinho no café. (Foto: Dalyse Castanheira).
O período de maior ocorrência dos carneirinhos é de novembro a março, em lavouras podadas com intensa emissão de folhas novas (Silva et al., 2010). Pode-se observar um maior ataque na rebrota.
Para o controle químico é recomendado a utilização de inseticidas do grupo dos organofosforados.
Os inseticidas organofosforados são neurotóxicos, e por isso, agem no sistema nervoso, inibindo a enzima acetilcolinesterase.
Estar de acordo com as novas técnicas de mercado é de suma importância para quem deseja produzir cafés com excelência.
Desde a implantação da lavoura, gestão de equipe na fazenda, manejos como a fertilidade e proteção, ou mesmo as fases finais de colheita e pós-colheita, é preciso ter domínio e segurança, caso queira obter sucesso.
Por isso, no Rehagro há o curso online Gestão na Produção de Café, onde professores atuantes em campo, ensinam de forma prática, atualizada e validada essas técnicas. Clique abaixo e conheça um pouco mais sobre esse curso:

O post Carneirinho no café: como manejar essa praga? apareceu primeiro em Rehagro Blog.
]]>O post Sintomas de fitotoxicidade por herbicidas em cafeeiros apareceu primeiro em Rehagro Blog.
]]>Desta forma, o controle das plantas invasoras se torna extremamente necessário. Uma das maneiras de controle amplamente utilizado é o químico, que se dá por meio da utilização de herbicidas.
No entanto, quando aplicado de forma incorreta ou sem os cuidados necessários, os herbicidas podem acarretar em sintomas no cafeeiro.
Neste e-book, nós mostramos os sintomas de fitotoxicidade por herbicidas em cafeeiros, para que você saiba identificar os problemas quando observá-los no campo.
Clique no link abaixo para baixá-lo. O conteúdo é gratuito!
O post Sintomas de fitotoxicidade por herbicidas em cafeeiros apareceu primeiro em Rehagro Blog.
]]>O post Fenologia do café: saiba quais são as fases apareceu primeiro em Rehagro Blog.
]]>Nesse sentido, de acordo com Camargo e Camargo (2001), o ciclo fenológico é constituído de seis fases distintas, sendo duas vegetativas e quatro reprodutivas:

Esquematização das seis fases fenológicas do cafeeiro arábica, durante 24 meses, nas condições climáticas tropicais do Brasil. Adaptado CAMARGO E CAMARGO (2001).
Sem tempo para ler agora? Baixe este artigo em PDF!
A primeira fase, caracterizada pela vegetação e formação das gemas foliares, vai de setembro a março.
São sete meses de dias longos, com fotoperíodo acima de 13 e 14 horas de luz efetiva ou acima de 12 horas de brilho solar.
A segunda fase, também vegetativa, é caracterizada pela indução, maturação e dormência das gemais florais, normalmente no período de abril a agosto – período com dias curtos.
Com os dias mais curtos, intensifica-se o crescimento das gemas florais. Essas gemas, depois de completarem se desenvolvimento, entram em dormência e ficam prontas para antese.
Nos meses de julho e agosto, referido como período de repouso, as gemas dormentes produzem um par de folhas pequenas, etapa que separa o primeiro ano fenológico do segundo.
A terceira fase, já dentro do período reprodutivo, é caracterizada pela florada e expansão dos frutos, período que compreende os meses de setembro a dezembro. Em que, após uma restrição hídrica, seguido por chuva ou irrigação abundante, acarreta na florada da cultura.
Por isso, se nesse período, ocorrer grande restrição hídrica, pode ocasionar abortamento das flores. Após a fecundação, forma-se os chumbinho e a expansão dos frutos.

Florada na cultura do café (Foto: Larissa Cocato)

Florada do café (Foto: Larissa Cocato).
A quarta fase, ainda no período reprodutivo, é caracterizada pela granação dos frutos, que ocorrem nos meses de janeiro a março do ano subsequente em que houve a formação dos grãos.
Nesse período, a restrição hídrica pode acarretar em grandes prejuízos na granação dos frutos.

Frutos de café (Foto: Larissa Cocato)
Na quinta fase, também período reprodutivo, é caracterizada pela maturação dos frutos, que ocorre nos meses de abril a junho.

Maturação dos frutos (Foto: Equipe Rehagro Café).
Na sexta, e última fase do ciclo fenológico da cultura, caracterizada pela senescência, que ocorre no período de julho a agosto, ocorre a autopoda do cafeeiro, em que ramos produtivos não primários, secam e morrem.
Apesar das 6 fases distintas que ocorrem dentro de dois anos para completar o ciclo fenológico de frutificação do cafeeiro, dentro do mesmo ano cronológico e da mesma planta, estará ocorrendo duas fases.
Por exemplo, no período de janeiro a março do mesmo ano cronológico, na mesma planta e no mesmo ramo está ocorrendo a 1ª fase, caracterizada pela vegetação e formação das gemas foliares, assim como, estará ocorrendo também no mesmo ramo a granação dos frutos.

O post Fenologia do café: saiba quais são as fases apareceu primeiro em Rehagro Blog.
]]>O post 11 perguntas comuns em relação ao plantio de café apareceu primeiro em Rehagro Blog.
]]>Essa etapa é determinante para o sucesso do cultivo e alguns pontos são cruciais para evitar erros que podem refletir na produção da lavoura.
Dessa forma, trouxemos nesse artigo 11 perguntas comuns sobre o plantio do café que poderão te ajudar.
Sem tempo para ler agora? Baixe este artigo em PDF!
Deve-se levar em conta a época de maturação dos frutos do cultivar para possibilitar o escalonamento de colheita na propriedade, a resistência ou não a ferrugem, porte da planta, possibilidade de mecanização (porte alto em lavoura manual não é recomendado) e a resistência à colheita mecanizada (desprendimento do fruto).

Implantação de lavouras de café. (Foto: Diego Baquião).
Sim! De acordo com os resultados do estudo feito por Oliveira em 2015, a época de plantio influenciou no crescimento das plantas de café.
O estudo comparou 6 épocas (outubro, novembro, dezembro, janeiro, fevereiro e março), e de acordo com os resultados, o autor observou que a partir do mês de outubro, quanto mais tardios foram os plantios, menor foi o crescimento inicial dos cafeeiros no primeiro ano em campo.
Isso possivelmente ocorre, pois plantios mais tardios recebem menor quantidade de chuvas, e dessa forma, terão menor tempo para adaptação antes do período de menor disponibilidade hídrica.

Lavoura do cultivar Catuaí 99 na terceira safra. (Foto: Luiz Paulo Vilela).
Por isso, recomenda-se que o plantio seja realizado mais cedo, preferencialmente nos meses de outubro e novembro (de acordo com a quantidade de chuvas), para que tenham maior disponibilidade de água para seu crescimento e dessa forma, plantas mais desenvolvidas apresentam maior possibilidade de melhores produtividades na primeira safra.
São polímeros que são valorizados pela sua capacidade de absorver água, dessa forma podendo suprir as plantas em épocas de escassez.
Na agricultura, tem sido mais utilizado os polímeros sintéticos como propenamida (denominados de poliacrilamida ou PAM). Esses polímeros têm a capacidade de absorver de 150 a 400 vezes sua massa seca.
O polímero hidroretentor ou gel hidroretentor é um condicionador de solo, e pode ser usado para aumentar a capacidade de armazenamento de água no solo, minimizando os problemas associados à disponibilidade irregular ou deficitária de água.
Depende das condições. Estudos mostram que plantios mais tardios**, tiveram menor percentual de mortalidade quando foi utilizado o gel hidroretentor adicionado a cova de plantio.
Já para plantios realizados mais cedo, com boa disponibilidade água para as plantas, a utilização deste polímero não acarretou em diferenças significativas.
Por isso, sua utilização em condições de déficit hídrico e/ou plantios tardios é uma boa estratégia, no entanto, em plantios em que se tem boa disponibilidade de água, sua utilização não proporciona diferenças.
**Vale destacar que recomendamos sempre que o plantio seja realizado mais cedo – outubro e novembro (de acordo com a quantidade de chuvas).
Isso é problema no plantio. Toda boa muda vai ter pião torto, pois o pião/raiz vai desenvolver bem, chegar no fundo e entortar.
Na hora do plantio é preciso cortar o fundo do saquinho. Já o tubete não tem esse problema, pois quando a raiz chega na parte inferior ela seca devido a presença de luz.

Muda com pião torto. (Foto: Larissa Cocato).
Nessas áreas deve-se atentar para teores de zinco (se estiverem altos podem causar intoxicação na lavoura), compactação do solo e residual de algum herbicida.
Nas questões química, pragas e doenças não há problema.
Se for uma pastagem degradada tem que fazer uma boa correção do solo, fornecer todos os nutrientes necessários e atentar para que não tenha compactação.
A definição de espaçamento correto é complexa de ser falada, pois existem variáveis que irão definir qual o melhor a ser utilizado para a área.
Um espaçamento com bom funcionamento é de 50 a 60 cm entre plantas, independente se a colheita será manual ou mecanizada. No caso da mecanizada um ponto mais importante é a largura da rua que pode ser entre 3,30 m e 4,0 m de acordo com a região.

Lavoura com espaçamento 3,60 m x 0,60. (Foto: Luiz Paulo Vilela)
Não tem uma melhor fonte. Deve ser levada em consideração as características de cada uma, como por exemplo teor de P, custo, se possui outros nutrientes como o nitrogênio no MAP, o cálcio e o enxofre no Super Simples, por exemplo.
Ainda, existem as fontes de fósforo protegido que devem ser analisadas também com relação a custo e recomendação do fornecedor.
Não. Isso acontece com as fontes de fósforo reativos, que sofreram separação do cálcio em sua composição através da utilização de ácidos.
As outras fontes não têm, mas possuem liberação lenta apresentando eficiência baixa.
Pode. Quando se realiza o chegamento de terra é aconselhável ter uma pessoa vindo depois do trator para desafogar essas mudas e se o implemento não estiver bem regulado ainda pode causar o tombamento ou quebra dessas mudas e ferimentos.
Um ponto importante também é ter umidade no solo para não formar torrões que também podem atrapalhar o desenvolvimento das mudas.
A cafeicultura é oscilante, mas nos últimos tempos, as safras têm ganhado cada vez mais destaque e valorização. Aquele que se prepara, produz mais, lucra mais e já consegue planejar os próximos passos para que a próxima safra seja ainda mais produtiva.
Se você busca esse resultado, comece se atualizando com as novas técnicas de mercado.
No curso online Gestão na Produção de Café, você aprenderá com quem entende do assunto, pois os professores atuam em fazendas comerciais e passarão o conhecimento a você. Não perca mais tempo e tire suas dúvidas:

O post 11 perguntas comuns em relação ao plantio de café apareceu primeiro em Rehagro Blog.
]]>O post Calcário x gesso agrícola: quais são as principais diferenças? apareceu primeiro em Rehagro Blog.
]]>A seguir, veremos as principais diferenças de calcário x gesso.
Gesso agrícola em lavouras de café. (Foto: Larissa Cocato)
Calcário em superfície. (Foto: Luiz Paulo Vilela).
Sem tempo para ler agora? Baixe este artigo em PDF!
O gesso agrícola é um subproduto da indústria de fertilizantes fosfatados, em que a partir da reação da rocha fosfatada com o ácido sulfúrico se dá a formação do adubo fosfatado e o resíduo desta reação química é o sulfato de cálcio, popularmente conhecido como gesso agrícola.
O calcário é uma rocha sedimentar, que tem em sua composição carbonato de cálcio, podendo ter outros compostos.
Tabela 1. Diferença entre calcário e gesso
O calcário corrige a acidez dos solos, essa correção se faz necessária para promover maior eficiência na absorção de água e nutrientes pelas plantas e consequentemente obter melhores produtividades para as culturas.
O gesso promove alteração da forma iônica do alumínio, para uma forma menos tóxica, sendo este fato, extremamente vantajoso, pois o alumínio é um elemento prejudicial às raízes, visto que ele acarreta em engrossamento das mesmas, afetando assim na absorção de nutrientes.
Dessa forma, propiciando melhores condições para o desenvolvimento das raízes e maior volume de solo explorado por elas.
É importante destacar que, o ânion SO42- (base fraca) não tem praticamente capacidade de hidrolisar a água e produzir OH-, por essa razão, o gesso não é considerado corretivo da acidez.
Conforme mostrado na tabela acima, o gesso e o calcário apresentam grandes diferenças, e por isso, um insumo não pode ser substituído pelo outro.
O calcário é um corretivo do solo, ou seja, ele corrige o pH do solo, já o gesso, é um condicionador de solo.
Um condicionador de solo é um material que proporciona melhoria das propriedades físicas, químicas ou da atividade biológica do solo. O gesso atua como melhorador químico do ambiente radicular, principalmente devido a sua ação sobre o alumínio trocável.
Como já mencionamos as diferenças entre o calcário e o gesso, as reações deles no solo também são diferentes.
Após a aplicação de calcário no solo, o ânion CO32- (base forte) é o principal responsável pela hidrolise da água e formação do íon OH-, que irá neutralizar a acidez ativa (H+) do solo.

A partir das reações, percebemos o quanto é importante a presença de água para que ocorra a reação do calcário, e consequentemente ele atue no solo.
A correção da toxidez do alumínio ocorre por reações de precipitação desses elementos, na forma de oxihidróxido: Al(OH)3.

Em um solo com umidade suficiente, o gesso agrícola sofre dissolução.
Uma vez na solução do solo, o Ca2+ pode interagir com o complexo de troca do solo, deslocando cátions, como Al3+, K+, Mg2+, para a solução do solo, que podem, por sua vez, reagir com SO42-, formando AlSO4+, que é menos tóxica às plantas e os pares iônicos neutros: K2SO40, CaSO40 e MgSO40.
Dada a sua neutralidade, os pares iônicos apresentam grande mobilidade ao longo do perfil, ocasionando uma descida de cátions para as camadas mais profundas do solo.
Tabela 2. Benefícios do calcário e do gesso
Resultados de estudos mostram que o gesso propicia maior distribuição das raízes em profundidade (Souza et al., 2001), dessa forma, acarretando em maior volume de solo explorado e maior absorção de água e nutrientes.
Esse fato torna-se ainda mais importante em períodos de veranico, em que plantas com raízes mais profundas apresentam melhores condições para tolerar esses períodos.
Em relação aos calcários, pelos teores de Mg, eles podem ser classificados nos seguintes tipos:
Além disso, os calcários também se diferem pelo seu PRNT, ou seja, Poder Relativo de Neutralização Total. O PRNT é calculado por uma fórmula que considera o PN e o ER:
PRNT = (PN x ER) / 100
Dessa forma, para analisarmos o PRNT temos que nos atentar ao ‘’Poder de neutralização (PN)’’ que se define na capacidade neutralizante que as bases do corretivo possui e também a “Reatividade das partículas (ER)’’, que considera a granulometria do calcário.
Nesse sentido, para a escolha do calcário devemos considerar os valores de PN e ER, pois um calcário com mesmo PRNT, pode ter tempo de neutralização diferente, visto que, os valores de PN e ER podem ser diferentes e resultar em um mesmo valor de PRNT.
O gesso agrícola por sua vez, atua como um grande fornecedor de cálcio e enxofre e condicionante de solo como foram citados anteriormente, sua composição química varia entre 16 a 20% nos teores de cálcio e de 13 a 16% nos teores de enxofre.
Estar de acordo com as novas técnicas de mercado é de suma importância para quem deseja produzir cafés com excelência.
Desde a implantação da lavoura, gestão de equipe na fazenda, manejos como a fertilidade e proteção, ou mesmo as fases finais de colheita e pós-colheita, é preciso ter domínio e segurança, caso queira obter sucesso.
Por isso, no Rehagro há o curso online Gestão na Produção de Café Arábica, onde professores atuantes em campo, ensinam de forma prática, atualizada e validada essas técnicas. Clique abaixo e conheça um pouco mais sobre esse curso:

O post Calcário x gesso agrícola: quais são as principais diferenças? apareceu primeiro em Rehagro Blog.
]]>O post Consequências e impactos da seca na fisiologia e fenologia do cafeeiro apareceu primeiro em Rehagro Blog.
]]>Dessa forma, mudanças climáticas, como o aumento da temperatura e modificações no regime de chuva podem afetar diretamente a produção, além de alterar a geografia e o calendário da produção agrícola brasileira.

Foto: Vinicius Teixeira.
De acordo com o gráfico, nos últimos anos, observa-se aumento constante da temperatura global.
Nesse sentido, condições de aumento da temperatura associado ao déficit hídrico trazem consequências a fisiologia das plantas, afetando assim a produtividade da cultura.

Fonte: NASA
O ano de 2020 é um ano de bienalidade positiva do café, ou seja, um ano com alta produção de café.
Segundo a CONAB (Companhia Nacional de abastecimento), em levantamento realizado em setembro de 2020, estima-se uma produção de 61,6 milhões de sacas beneficiadas, sendo desse total, 47,4 milhões de café Arábica e 14,3 milhões de café Conilon.
Já, o ano de 2021, será um ano de bienalidade negativa, onde é esperado um volume menor de produção do grão. Com a seca prolongada observada em 2020, projeta-se uma safra ainda menor para 2021.
Isso ocorre, pois como já mencionado, condições de altas temperaturas associadas ao déficit hídrico trazem consequências para a fisiologia das plantas, sendo observado um aumento na evapotranspiração das plantas, e redução da taxa fotossintética, em função do fechamento estomático.
Para entender o comportamento da cultura do café em relação ao clima é necessário conhecer alguns aspectos de sua fenologia e fisiologia, pois o café arábica (Coffea arábica L.) leva dois anos para completar o ciclo fenológico de frutificação, ao contrário da maioria das plantas, quem completam seu ciclo reprodutivo no mesmo ano fenológico (CAMARGO & CAMARGO, 2001).
Conforme mostra o esquema abaixo, o ciclo fenológico é constituído de seis fases distintas, dessas, sendo duas vegetativas e quatro reprodutivas:

Esquematização das seis fases fenológicas do cafeeiro arábica, durante 24 meses, nas condições climáticas tropicais do Brasil. Adaptado CAMARGO E CAMARGO (2001).
Nesse sentido, condições de seca na 1ª fase (setembro a março do primeiro ano fenológico), que ocorre a vegetação e formação de gemas foliares, pode afetar as gemas e produção do ano seguinte.
Da mesma forma, condições de seca na 3ª fase, que compreende o período de setembro a dezembro do 2.º ano fenológico, pode ocasionar em abortamento das flores, e em peneiras baixas.

Florada em condições de seca e altas temperaturas (Foto: Vinicius Teixeira).

Flores do tipo “estrelinha” caracterizada pelo abortamento da florada, que é atribuído a altas temperaturas e períodos secos durante o abotoamento e floração.
A florada do café acontece geralmente entre os meses de setembro a novembro, em que após uma restrição hídrica, seguida por chuva ou irrigação abundante, acarreta em florada da cultura.
No florescimento do cafeeiro, as gemas seriadas, localizadas nos nós dos ramos plagiotrópicos, são induzidas a gemas florais pelo estímulo da diminuição do comprimento do dia, e entram em dormência devido ao estresse hídrico que coincide com o estímulo de dias curtos. Quando a estação da seca termina e o balanço hídrico da planta volta as condições normais, essas gemas florais iniciam o processo de antese (SAKIYAMA et al., 2015).
A irregularidade na distribuição de chuvas, afetam a uniformidade do florescimento do café, implicando em maior número de floradas e com isso uma maturação desuniforme, tendo por consequência problemas logísticos de colheita e perda na qualidade do produto final.
Desuniformidade na maturação – Presença de flores e frutos na mesma planta. (Foto: Larissa Cocato).
Além da irregularidade na florada, há prejuízos na safra seguinte, uma vez que, em condições de seca, a interferência na capacidade de gerar novos ramos do cafeeiro e somente a partir desses ramos novos o café pode produzir no ano seguinte.
Em relação a fisiologia, a fotossíntese das plantas é caracterizada pela captação da energia solar para oxidar a H2O (água), liberando O2 (oxigênio), e para reduzir CO2, produzindo compostos orgânicos, primeiramente açúcares. Esta energia estocada nas moléculas orgânicas é utilizada nos processos celulares da planta e serve como fonte de energia.
Sob condições de altas temperaturas, e déficit hídrico, há o fechamento estomático, como estratégia para a planta reduzir a perda de água, e dessa forma, há redução da taxa fotossintética, uma vez que, não há a entrada de CO2, que é um produto da fotossíntese, afetando assim a produtividade das plantas.
Além disso, devido ao cafeeiro ser uma planta C3 (nome dado devido ao composto formado apresentar 3 carbonos), a faixa adequada de temperatura para se obter a máxima fotossíntese é inferior quando comparada a uma planta C4, como exemplo do milho. Inclusive, as plantas com esse tipo de metabolismo (C3), apresentam maiores taxas de fotorrespiração, ou seja, processo que há a absorção de luz, associada a liberação de CO2. Esta estratégia, apesar de ruim, é necessária para a sobrevivência da planta.
Portanto, em condições de altas temperaturas, como vem sendo observado nos últimos anos, associados ao déficit hídrico, há interferências na fisiologia da planta de café e em seu desenvolvimento vegetativo e reprodutivo.
Por isso, estratégias que visem atenuar o efeito dessas condições desfavoráveis as plantas, tornam-se altamente desejáveis.
Elas devem visar a proteção do solo, reduzir a perda de água por evaporação, também, condições que proporcionem maior desenvolvimento radicular em profundidade, com boas condições químicas e físicas desse solo em profundidade, pois, dessa forma, as plantas tendem a sentir menos as condições de seca e altas temperaturas.
Estar por dentro das tendências, novidades e conhecimentos técnicos do mercado agrícola cafeeiro, é o que pode te diferenciar entre os profissionais da área.
Aquele que busca se destacar e criar carreira na cafeicultura, precisa estar se atualizando constantemente, afinal, o Agro não para e está cada vez mais exigente.
Com o curso Gestão na Produção de Café, isso é possível! Professores atuantes em campo, vão te passar por meio de dados reais, atuais e validados, as técnicas para atingir a excelência de produção. Domine as principais técnicas e destaque-se no mercado cafeeiro!


O post Consequências e impactos da seca na fisiologia e fenologia do cafeeiro apareceu primeiro em Rehagro Blog.
]]>O post Estresse hídrico no café: veja estratégias para minimizar o efeito apareceu primeiro em Rehagro Blog.
]]>Isso porque, o cafeeiro em condições de déficit hídrico no café combinado a altas temperaturas, induz ao fechamento estomático, dessa forma, a taxa fotossintética dessas plantas é reduzida, pois não haverá entrada de CO2.
Além disso, o estresse hídrico severo pode acarretar em morte das raízes, especialmente na superfície do solo. Também pode ser observado maior senescência foliar devido a alterações hormonais proporcionadas nessas condições. Por isso, são necessárias estratégias visando minimizar o efeito de veranicos no cafeeiro, em períodos de estiagem.
Nesse sentido, estratégias que proporcionem maior desenvolvimento radicular são muito desejáveis, isso porque, com um maior volume de solo explorado, principalmente se esse desenvolvimento das raízes for em profundidade, maior será a possibilidade das plantas suportarem melhor os períodos de veranico e estiagem.
Sem tempo para ler agora? Baixe este artigo em PDF!
O gesso é um subproduto da indústria de fertilizantes fosfatados, obtidos a partir da ação do ácido sulfúrico sobre rocha fosfatada. Devido à solubilidade desse condicionador ele penetra facilmente no perfil do solo, proporcionando melhoria do ambiente radicular em profundidade.
Dessa forma, o gesso atua de forma positiva no aumento do comprimento do sistema radicular e no volume de raízes, assim propiciando a absorção de água e nutrientes em profundidade.
Essa melhoria do ambiente radicular é proporcionada pela neutralização do alumínio, que é um elemento tóxico às plantas, e afeta o desenvolvimento radicular.
Além disso, o gesso fornece enxofre, sendo essa fonte uma das principais utilizadas para fornecimento deste nutriente, e também fornece cálcio em profundidade, com maior eficiência quando comparado ao calcário devido sua solubilidade.

Lavoura com 7 meses com aplicação de gesso em superfície. (Foto: Diego Baquião)
Para exemplificar, Sousa et al. (2001) mostram a distribuição relativa do sistema radicular da leucena (Leucena leucocephala cv. Cunningham) no perfil do solo, com e sem a aplicação de gesso.
Dessa forma, nota-se que o volume radicular explorado na condição de presença do gesso (verde) é superior quando comparado a testemunha, em que não houve a aplicação de gesso (vermelho).

Distribuição relativa do sistema radicular da leucena (Leucena leucocephala cv. Cunningham) no perfil de um Latossolo Vermelho argiloso, sem ou com aplicação de 6t há-1 de gesso. O valor de 100% equivale a 5,206g dm-3 de raízes no solo do tratamento com gesso.
Outra prática com grande impacto no desenvolvimento de raízes, é uma boa preparação do solo com grade aradora e subsolagem, proporcionando descompactação e melhor aeração do solo, dessa forma favorecendo o desenvolvimento das raízes.
Deve-se salientar, que por se tratar de uma cultura perene, a implantação da lavoura é uma ótima oportunidade para a realização de um bom preparo de solo, principalmente em profundidade, isso porque, a cultura ficará no campo por muitos anos.
Por isso, a realização de um preparo de solo profundo, propiciando boas condições para o desenvolvimento das raízes tanto na parte superior do solo quanto em profundidade é uma ótima estratégia para que as plantas consigam suportar melhor condições de déficit hídrico.
Afinal, em solos compactados e sem uma boa preparação do solo podem acarretar em sistema superficial, sofrendo mais com condições de déficit hídrico.

Subsolador (Foto: Luiz Paulo Vilela)
O calcário atua na correção da acidez do solo, fato esse que influencia na disponibilização dos nutrientes as plantas. Também, esse corretivo fornece cálcio e magnésio, nutrientes que atuam na formação da parece celular das células e na composição da molécula de clorofila respectivamente.
Além disso, o calcário reduz a toxidez do alumínio, fato já mencionado, que afeta o desenvolvimento do sistema radicular.
Por isso, a utilização de calcário a fim de corrigir a acidez do solo, e proporcionar melhores condições ao desenvolvimento do sistema radicular é muito desejável.
Sua utilização pode ser feita em superfície ou incorporado no solo, esta última forma é muito desejável principalmente durante a preparação do solo para o plantio, visando o colocar esse corretivo em profundidade no solo, considerando sua baixa solubilidade, quando comparada ao gesso.
Dessa forma, sempre que possível sua incorporação é recomendada, visando favorecer as condições químicas do solo, e assim proporcionar um aprofundamento de raízes e consequentemente maior absorção de água e nutrientes devido ao maior alcance do sistema radicular.
Além disso, técnicas que visem a proteção do solo atuando na maior retenção de água e também protegendo o solo a exposição de altas temperaturas, que podem afetar o desenvolvimento das raízes, são recomendadas.
Podem ser utilizadas casca de café, esterco, composto orgânico, palhadas entre outros resíduos existentes na própria propriedade.
Essas coberturas também podem fornecer nutrientes e possibilitar melhores condições para o desenvolvimento radicular, devendo sempre estar atento ao equilíbrio nutricional dos elementos fornecidos por esses materiais orgânicos.

Manejo de braquiária com roçadeira invertida “jogando” a braquiária roçada na projeção da saia das plantas com intuito de amenizar o déficit hídrico no período seco no sul de minas (Maio-Setembro)(Foto: Arquivo Rehagro).

Braquiária recém roçada, visando a proteção do solo. É desejável que este material orgânico seja direcionado para a linha do cafeeiro, com o intuito de proteger o solo na projeção da saia (Foto: Larissa Cocato).

Lavoura da cultivar Mundo Novo, em que foi realizada aplicação de composto orgânico. (Foto: Luiz Paulo Vilela).
Portanto, destaca-se a importância de práticas que visem aprofundamento do sistema radicular do cafeeiro, a começar pela boa preparação do solo, com aplicações de gesso e calcário e quando possível sua incorporação.
Cafeeiros assim estabelecidos e conduzidos, possuem sistemas radiculares profundos e resistem satisfatoriamente, de modo geral, a períodos de estiagens mais facilmente quando comparados a cafeeiros com sistema radicular superficial. Assim como, práticas com o intuito de proteção do solo para melhor armazenamento de água no solo.
A cafeicultura é oscilante, mas nos últimos tempos, as safras têm ganhado cada vez mais destaque e valorização. Aquele que se prepara, produz mais, lucra mais e já consegue planejar os próximos passos para que a próxima safra seja ainda mais produtiva.
Se você busca esse resultado, comece se atualizando com as novas técnicas de mercado.
No curso online Gestão na Produção de Café, você aprenderá com quem entende do assunto, pois os professores atuam em fazendas comerciais e passarão o conhecimento a você. Não perca mais tempo e tire suas dúvidas:

O post Estresse hídrico no café: veja estratégias para minimizar o efeito apareceu primeiro em Rehagro Blog.
]]>O post Zinco na cultura do café: funções, sintomas de deficiência e recomendação apareceu primeiro em Rehagro Blog.
]]>Apesar de ser demandado em menores quantidades, quando comparado a outros nutrientes, principalmente os macronutrientes, não o torna menos importante, pois cada macro e micronutriente tem sua função especifica dentro da planta.
Dessa forma, é necessário a presença de todos em quantidades suficientes para seu bom funcionamento.
Sem tempo para ler agora? Baixe este artigo em PDF!
Este elemento está intimamente ligado ao crescimento da planta de café, uma vez que tem entre suas funções a síntese do aminoácido triptofano, que é percursor do regulador de crescimento auxina, sendo responsável pelo crescimento de tecidos vegetais.
Também, o zinco está ligado a diversas reações enzimáticas e fotossintéticas. Além disso, outras funções também estão ligadas a esse nutriente, como produção de açucares e síntese de proteínas.
Na ausência deste elemento a planta apresenta sinais bem característicos, como exemplo a presença de internódios curtos, com folhas novas pequenas, estreitas e cloróticas. Em alguns casos surgem rosetas na ponta dos ramos plagiotrópicos, comumente chamado de “vassoura de bruxa”.
Os sintomas de deficiência são observados inicialmente nas folhas mais novas, uma vez que este nutriente apresenta baixa mobilidade na planta, dessa forma, não permitindo que se desloquem das folhas velhas para as folhas novas.

Sintomas de deficiência de zinco em cafeeiro. (Foto: Luiz Paulo Vilela).

Sintomas de deficiência de zinco em cafeeiro. (Foto: PROCAFÉ).
Devemos ter o cuidado para não confundir os sintomas de deficiência de zinco, com a toxidez por glifosato, visto que eles são parecidos.
Os sintomas observados para intoxicação por glifosato são: estreitamento do limbo foliar, clorose e excesso de brotações nas regiões apicais do ramo.

Sintoma de toxidez por glifosato (Foto: Larissa Cocato).

Diferença visual de desenvolvimento de plantas de café intoxicadas pelo Glifosato (seta vermelha) e plantas normais (seta verde), sem a ocorrência de intoxicação. (Foto: Larissa Cocato)
Considerando todos os nutrientes, o equilíbrio sempre é necessário, por isso, tanto a deficiência quanto excesso de qualquer nutriente são prejudiciais, e para o zinco isso não é diferente.
Abaixo, temos a foto de uma lavoura com altos teores de zinco, apresentando 15 mg/dm3 no solo, acarretando em toxidez deste nutriente. Vale destacar que os sintomas de deficiência e de excesso são parecidos, por isso, é importante estar atento ao que foi realizado de manejo na lavoura.
O zinco na solução do solo ocorre na forma Zn2+, forma essa que é absorvida pelas plantas.
Devemos nos atentar em relação a disponibilidade desse nutriente via solo, visto que, sua concentração diminui cerca de 100 vezes com o aumento de uma unidade no pH, como mostra o gráfico abaixo.
Com o aumento do pH, há a redução da disponibilidade de alguns micronutrientes, como ferro, cobre, manganês e o zinco.

Gráfico de disponibilidade de nutrientes em função do pH. (Fonte: Adaptado de Matiello).
Além disso, condições de altos teores de fósforo, também afetam a disponibilidade desse nutriente. Não é comum se observar essa condição no campo, mas é importante saber que há um antagonismo entre os nutrientes P e Zn, dessa forma, altas concentrações de fósforo, acarretam em baixa disponibilidade de zinco.
Por isso, torna-se imprescindível estar atento aos teores de zinco tanto via solo, quanto via foliar.
Após realizado as adubações de zinco na lavoura, ou suas pulverizações com fontes de zinco, é importante sempre fazer o acompanhamento deste micronutriente, tanto via solo quanto via foliar, para evitar que sua lavoura sofra com as perdas das funcionalidades que este elemento irá trazer para as plantas.
Na análise foliar, teores considerados adequados se tratando do cafeeiro estão na faixa de 10-20 ppm ou 10-20 mg/dm3. Malavolta e Vitti mostram os teores adequados de zinco na folha de acordo com os meses do ano, conforme mostra a tabela abaixo:
Fonte: Adaptado de E. Malavolta / G.C.Vitti
Já para análise de solo, de acordo com o Procafé, níveis de zinco abaixo de 1,5 mg/dm3 são considerados baixos, entre 1,5-3,0 mg/dm3 são considerados médios, e acima de 3,0 mg/dm3 são considerados altos.
Dessa forma, os técnicos buscam trabalhar com um teor de zinco no solo acima de 3,0 mg/dm3.
No entanto, para o manejo deste nutriente, devemos estar atentos ao teor de argila dos solos, se o solo é mais arenoso ou mais argiloso, uma vez que, em solos mais argilosos, o zinco fica muito retido no solo, nestes casos, a aplicação de zinco via foliar é mais eficiente.
Além disso, pelo fato dos micronutrientes serem demandados em menores quantidades, a aplicação via foliar é bem recomendada, e também acarreta em respostas mais rápidas após a aplicação.
Quando possível, e em solos mais arenosos, o fornecimento tanto via solo quanto via folha é desejável, devido a ação mais residual do fornecimento via solo e mais rápida do fornecimento via folha, sempre estando atento aos níveis adequados do zinco.
A cafeicultura é oscilante, mas nos últimos tempos, as safras têm ganhado cada vez mais destaque e valorização. Aquele que se prepara, produz mais, lucra mais e já consegue planejar os próximos passos para que a próxima safra seja ainda mais produtiva.
Se você busca esse resultado, comece se atualizando com as novas técnicas de mercado.
No curso online Gestão na Produção de Café, você aprenderá com quem entende do assunto, pois os professores atuam em fazendas comerciais e passarão o conhecimento a você. Não perca mais tempo e tire suas dúvidas:

O post Zinco na cultura do café: funções, sintomas de deficiência e recomendação apareceu primeiro em Rehagro Blog.
]]>O post Classificação sensorial do café: saiba como é feita a análise apareceu primeiro em Rehagro Blog.
]]>A classificação sensorial do café é ferramenta indispensável para a indústria de alimentos, que dispõe de vários métodos distintos, utilizados por diferentes tipos de provadores.
No Brasil, essa classificação, normalmente, é feita seguindo a Instrução Normativa n° 8, de 11 de junho de 2003. No entanto, o método internacional da Specialty Coffee Association (SCA) também é bem aceito, principalmente quando se trata de cafés especiais (qualidade superior).

Classificação sensorial. Fonte: Joana Oliveira
Sem tempo para ler agora? Baixe este artigo em PDF!
Nesse método, a classificação é feita de acordo com o aroma e sabor, por meio da prova de xícara, que deve ser realizada por um provador com certificado de classificação emitido pelo MAPA ou pelas pessoas jurídicas devidamente credenciadas pelo mesmo, de acordo com a legislação vigente.
Após a eliminação dos defeitos da amostra, o café é analisado de acordo com o grupo pertencente, sendo o grupo I – Arábica e grupo II – Robusta. Logo após analisa-se o Subgrupo, que possui 7 classificações:
O método SCA é um dos mais utilizados no Brasil para a classificação sensorial de cafés, principalmente de cafés especiais. O fato de sua classificação ser feita por meio de pontuações, lhe confere maior consistência na discriminação da qualidade da bebida quando comparado a Instrução Normativa.
O formulário de avaliação da SCA conta com 11 fatores que são avaliados individualmente para maior precisão da pontuação, dentre eles está:
Os avaliados em um intervalo de 6 a 10 pontos:
Há ainda aqueles que são avaliados de 0 a 10 pontos:
A contagem dos defeitos também é avaliada, a partir do número de xícaras defeituosas multiplicado pela intensidade do defeito encontrado.
O produto desta multiplicação deve ser descontado na nota final, que é feita com a soma das notas de todos os atributos, e assim indicando a qualidade global da bebida.
Para serem considerados cafés especiais, a pontuação final deve ser acima de 80 pontos. Além disso, a ficha ainda conta com um espaço para anotações, com a finalidade de especificar ainda mais a bebida analisada.

Ficha sensorial utilizada na avaliação de qualidade SCA. Fonte: Specialty Coffee Association (SCA)
Apesar de haver algumas diferenças na forma de preparar as amostras e na realização da análise sensorial entre os métodos mencionados, em geral os procedimentos adotados devem garantir ao provador o máximo potencial da bebida avaliada, de forma que não haja diferenças em classificações de um mesmo lote de café em locais distintos.

Classificação sensorial. Fonte: Vinicius Moribe
Diante disso, seguem as recomendações gerais para a execução da classificação sensorial, como:

Café sendo colocado para classificação sensorial. Fonte: Vinicius Moribe
A classificação sensorial do café é uma forma de validar não somente a qualidade da bebida do café, mas também de todos os processos feitos anteriormente até se chegar ao produto final.
Isso pois, diversos fatores influenciam na qualidade do café, como por exemplo o processo de fermentação.
A fermentação, quando bem conduzida, pode auxiliar elevando a qualidade final dos grãos.
Mas como identificar se ela é boa ou ruim? Saiba mais com o artigo “Fermentação boa x ruim“.
Estar de acordo com as novas técnicas de mercado é de suma importância para quem deseja produzir cafés com excelência.
Desde a implantação da lavoura, gestão de equipe na fazenda, manejos como a fertilidade e proteção, ou mesmo as fases finais de colheita e pós-colheita, é preciso ter domínio e segurança, caso queira obter sucesso.
Por isso, no Rehagro há o curso online Gestão na Produção de Café, onde professores atuantes em campo, ensinam de forma prática, atualizada e validada essas técnicas. Clique abaixo e conheça um pouco mais sobre esse curso:


O post Classificação sensorial do café: saiba como é feita a análise apareceu primeiro em Rehagro Blog.
]]>O post Matéria orgânica no solo: veja os benefícios dessa forma que vai além do fornecimento de nutrientes apareceu primeiro em Rehagro Blog.
]]>
Composto orgânico e casca de café. (Foto: Diego Baquião).
Sem tempo para ler agora? Baixe este artigo em PDF!
A matéria orgânica quando mineralizada pode atuar no fornecimento de nutrientes essenciais para o desenvolvimento das plantas, como nitrogênio (N), fósforo (P), potássio (K), outros macronutrientes e também os micronutrientes.
No entanto, os benefícios proporcionados pela matéria orgânica vão muito além do fornecimento de nutrientes, ela pode atuar também na disponibilidade de fósforo, visto que o P é um nutriente que apresenta grande fixação com o solo, e por isso não fica disponível para absorção pelas plantas.
Nesse sentido, os ácidos orgânicos liberados a partir da decomposição da matéria orgânica atuam competindo com os sítios de adsorção de P, dessa forma, deixando o P mais disponível para a adsorção pelas plantas.
Diversas são as fontes que podem ser utilizadas no cafeeiro, dentre elas: o esterco de curral, esterco de galinha, palha de café em coco, torta de mamona, entre outras. Abaixo temos o teor dos nutrientes N, P e K de algumas fontes:
Teores médios (%) de nitrogênio (N), fósforo (P) e potássio (K). Fonte: Adaptado do Cultura de café no Brasil – Manual de Recomendações (2010) e arquivo Rehagro.
Além das fontes citadas acima, a palhada da braquiária e resíduos vegetais de cafés podados, também podem colocados em cobertura na projeção da saia do cafeeiro, resultado em diversos benefícios, além da proteção do solo.
No entanto, é importante destacar, que os materiais possuem diferentes relações C/N (carbono/nitrogênio), desta forma, quanto maior essa relação, menor a taxa de decomposição, isso porque os microrganismos não irão encontrar nitrogênio suficiente para síntese de proteínas, e por isso terão seu desenvolvimento limitado, diferentemente do que ocorre em condições de baixa relação C/N.
A braquiária e resíduos de poda, por exemplo, apresentam baixo teor de N resultando numa alta relação C/N, por isso sua decomposição é mais lenta, quando comparada ao esterco, que possui uma menor relação C/N acarretando em uma decomposição mais rápida.
Portanto, é importante saber qual a relação C/N do material fornecido, a fim de compreender a velocidade da decomposição desse material.
Relação C/N de materiais. Adaptado: Esalq/USP e Souza et al., 1999.
Quando nos referimos as propriedades biológicas do solo, a matéria orgânica favorece a atividade biológica do solo, que consiste principalmente de microrganismos que realizam diversas funções essenciais para o funcionamento do solo.
A estrutura física do solo também é beneficiada, pois a utilização de matéria orgânica proporciona maior retenção de água no solo, reduz o impacto da gota da chuva no solo, reduz os riscos de erosão, dentre outros.
Apesar dos vários benefícios já citados quando se utiliza a matéria orgânica, destaca-se o aumento da CTC do solo, sendo este, um dos principais fatores da utilização deste condicionador de solo.
Essa grande importância ocorre pois nossos solos brasileiros são ricos em argilas oxídicas (óxidos de Fe e Al) e argilas do tipo 1:1 (Caulinita), apresentando estas argilas, baixa capacidade de gerar cargas no solo, dessa forma, acarretando em baixa CTC, podendo ser observado em média valores de CTC a pH 7,0 de 4 cmolc/dm3 para as argilas oxídicas e de 8 cmolc/dm3 para as argilas do tipo 1:1.
Nesse cenário, os colóides orgânicos (matéria orgânica) se destacam no quesito de formar cargas, podendo ser formados em torno de 200 cmolc/dm3.
Portanto, devido a essa capacidade da matéria orgânica em gerar cargas, aumentando assim a CTC dos nossos solos, sua utilização torna-se extremamente vantajosa e desejável, a fim de melhorar as condições químicas do solo, proporcionando maior retenção de nutrientes no solo para as plantas, e a partir disso, com melhores condições no solo, podendo acarretar em maior crescimento e desenvolvimento das plantas.
Aplicação de composto no sulco para implantação de lavouras feito com palha de café e esterco de curral (Foto: Diego Baquião).
Portanto, a utilização de matéria orgânica na cultura do café vai muito além apenas do fornecimento de nutrientes.
Ela atua na melhoria das condições físicas, químicas e biológicas, destacando o aumento da CTC do solo. Este fator, inclusive, é muito desejável para a construção da fertilidade.
A cafeicultura é oscilante, mas nos últimos tempos, as safras têm ganhado cada vez mais destaque e valorização. Aquele que se prepara, produz mais, lucra mais e já consegue planejar os próximos passos para que a próxima safra seja ainda mais produtiva.
Se você busca esse resultado, comece se atualizando com as novas técnicas de mercado.
No curso online Gestão na Produção de Café, você aprenderá com quem entende do assunto, pois os professores atuam em fazendas comerciais e passarão o conhecimento a você. Não perca mais tempo e tire suas dúvidas:

O post Matéria orgânica no solo: veja os benefícios dessa forma que vai além do fornecimento de nutrientes apareceu primeiro em Rehagro Blog.
]]>O post Gestão financeira na cultura do café apareceu primeiro em Rehagro Blog.
]]>Nesse sentido, o econômico demonstra a eficiência, através do lucro. O financeiro demonstra o caixa. A eficiência de uma operação econômica se apura pelo DRE, que falaremos a respeito mais adiante. O financeiro se controla pelo fluxo de caixa. O econômico deve ser considerado pelo regime de competência, período no qual se realizou o fato, e o financeiro pelas datas efetivas em que ocorreram pagamentos e recebimentos. Econômico é aquilo que gera o financeiro, por exemplo a venda de café é um ato econômico e o recebimento dessa venda é um ato financeiro.
A Gestão Econômica e Financeira existe para que o gestor do negócio possa através dos indicadores financeiros tomar decisões estratégicas para sua fazenda, uma vez que esses indicadores trazem em números a realidade e a saúde financeira do negócio. Como benefício, ela proporciona que o gestor tenha o seu negócio em mãos, e dessa forma, possa ser mais assertivo em suas decisões.
O orçamento é parte de um plano financeiro estratégico, que compreende a previsão de receitas e despesas futuras para a administração de determinando período de tempo.
Abaixo, temos um exemplo de orçamento:

Com um orçamento bem feito, o gestor consegue ter um controle mais eficiente das finanças da sua fazenda, evitando a escassez de recursos financeiros ou os gastos desnecessários com despesas que não são prioritárias.
O orçamento é feito antes do início da safra de café, contendo mês a mês, a previsão de todos os gastos e receitas que irão ocorrer naquele período. Esse orçamento contempla todos os tipos de receitas e despesas, desde receitas de vendas, até o gasto com manejo das lavouras, colheita, pós-colheita, armazenamento, etc. Se a fazenda já tiver um histórico do financeiro, fica mais fácil a sua realização.
É importante que dentro de cada mês seja especificado os gastos, para que posteriormente possa se comparar, se o recurso proposto para aquela atividade foi suficiente, se houve desvio, ou se não foi realizado.
A partir desta previsão, é possível se ter uma estimativa do valor que será gasto naquela referida safra e também, dos gastos por atividade mês a mês. Dessa forma, o orçamento possibilita ter uma visão do quanto de dinheiro será necessário no período, auxiliando assim, uma melhor tomada de decisão. O orçamento também é interessante para planejar as vendas de café, de acordo com a necessidade de recursos financeiros durante o período.
O fluxo de caixa é uma ferramenta de controle financeiro, em que, por meio dela é possível visualizar todas as entradas e saídas de dinheiro, tendo assim uma visão completa do negócio. A partir do fluxo de caixa, é possível ver quanto está entrando e saindo de dinheiro.
Abaixo, temos o exemplo de um fluxo de caixa, de uma propriedade que possui mais de uma atividade agrícola:

O benefício da utilização do fluxo de caixa está relacionado ao controle financeiro da sua fazenda. Ao organizar todas as receitas e despesas de acordo com data e categoria, é possível ter uma visão clara de todas as movimentações que ocorreram no período em questão. Dessa forma, você consegue também saber qual a sua necessidade de caixa para os próximos 30 ou 60 dias, por exemplo.
Para a construção do Fluxo de Caixa, o primeiro passo é saber quanto seu negócio tem em caixa, no segundo momento é necessário que você tenha uma Plano de Contas bem definido, para que você consiga alocar cada gasto e cada receita a Conta Gerencial referida, e assim, quando você quiser analisar as origens das receitas e dos gastos você consiga fazer de forma clara. Após essas etapas realizadas, registre todas as entradas e saídas diárias do caixa da sua fazenda em uma planilha ou em um software de gestão. Para isto, é necessário realizar a conciliação bancária dos lançamentos para que não aconteça lançamentos equivocados e/ou a falta deles. Assim, atualizando diariamente os lançamentos você terá seu Fluxo de Caixa do período.
É uma etapa importante que visa detalhar e padronizar todas as movimentações financeiras da fazenda. Com ela, os registros financeiros são classificados e codificados formando assim cada conta gerencial, para que o escritório da fazenda tenha uma melhor visão sobre a origem e sobre o uso de cada operação financeira. Temos abaixo o exemplo de uma parte de um plano de contas:

Os centros de custos são uma maneira de separar a fazenda em vários setores, e cada um deles com suas responsabilidades operacionais, financeiras e econômicas. Eles são uma maneira eficiente de agrupar despesas e receitas. Os centros de custos são de suma importância para a gestão financeira, uma vez que facilitam as análises de cada parte do negócio, assim, se consegue analisar a contribuição de cada área do negócio para a lucratividade da fazenda. Como exemplo de centro de custos temos: Safra café 2020/2021 e administrativo.
A partir da realização de um orçamento e um fluxo de caixa correto, com todas as contas conciliadas, é possível a realização de um check de metas mensal ou por determinado período definido. Nesse check de metas, você compara qual era o orçamento para determinada atividade no período, o que já foi realizado, o que extrapolou o programado, o porquê desse desvio, ou o que houve de não planejado. Podendo atuar de forma pontual nos itens que ultrapassaram o orçamento.
Para isso, é imprescindível que seja realizada uma conciliação bancaria, para se poder confiar nos números, visto que, ela audita as movimentações que serão comparadas ao orçamento.
Portanto, a gestão financeira gerencia a disponibilidade de dinheiro daquele negócio, e a partir das ferramentas propostas acima, consegue-se tomar decisões mais assertivas com base em números. Tendo conhecimento do recurso que temos, e de quanto de recurso iremos demandar em determinados períodos, dessa forma, tendo um planejamento da safra, e a partir dele, sendo mais assertivos. Afinal, “QUEM PLANEJA, ÀS VEZES ERRA! MAS QUEM NÃO PLANEJA, ÀS VEZES ACERTA!”
Para mais informações, leia o artigo Gestão de pessoas: você está fazendo do jeito certo?
Estar de acordo com as novas técnicas de mercado é de suma importância para quem deseja produzir cafés com excelência.
Desde a implantação da lavoura, gestão de equipe na fazenda, manejos como a fertilidade e proteção, ou mesmo as fases finais de colheita e pós-colheita, é preciso ter domínio e segurança, caso queira obter sucesso.
Por isso, no Rehagro há o curso online Gestão na Produção de Café, onde professores atuantes em campo, ensinam de forma prática, atualizada e validada essas técnicas. Clique abaixo e conheça um pouco mais sobre esse curso:

O post Gestão financeira na cultura do café apareceu primeiro em Rehagro Blog.
]]>O post Gesso na cultura do café: o que é, benefícios e como aplicar apareceu primeiro em Rehagro Blog.
]]>O gesso agrícola (CaSO4.2H2O) é um subproduto da indústria de ácido fosfórico amplamente utilizado na agricultura, com o intuito de condicionar o solo de subsuperficie, proporcionando assim melhoria do ambiente radicular.

Figura 1. Aplicação de gesso em superfície em lavouras novas. (Foto: Larissa Cocato).
O gesso neutraliza o alumínio, sendo esse fator extremamente desejável, visto que, o alumínio é um elemento tóxico para as plantas e pode acarretar em engrossamento e encurtamento das raízes, inibindo assim seu crescimento. Vale destacar que, a raiz é a “boca” da planta, por isso, fatores que podem afetar seu desenvolvimento, possivelmente poderão acarretar em prejuízos a planta, pelo fato do menor volume de solo explorado pelas raízes.
Também, o gesso agrícola fornece cálcio e enxofre, sendo ambos os nutrientes muito importantes para o desenvolvimento das plantas. Destaca-se que em muitos casos o fornecimento do S é normalmente feito via gesso, quando não se utiliza fontes de outros adubos com esse nutriente. Além disso, o gesso proporciona o carreamento das bases: Mg e K para camadas mais profundas do solo, dessa forma, favorecendo o ambiente radicular em subsuperfície e acarretando em maior desenvolvimento radicular.
Nesse sentido, com um maior desenvolvimento e aprofundamento do sistema radicular, há maior absorção de nutrientes e água, acarretando em reflexos positivos ao desenvolvendo das plantas. Destacando a maior resistência a seca em condições de estresse hídrico, o que é muito desejável devido as condições que vivemos com constante aumento da temperatura e má distribuição do regime de chuvas.

De acordo com a reação, o Al na forma trivalente, que é tóxico para as plantas, reage com o SO4-2, modificando a espécie iônica do Al, dessa forma, o gesso atua alterando a forma iônica do Al para uma forma menos tóxica.
Além disso, como mostra a reação, o K+ e o Mg2+ formam respectivamente os compostos K2SO40 e MgSO40 e, que possuem carga zero, e por isso percolam no solo, proporcionando assim melhores condições do ambiente radicular em profundidade.
É importante destacar que o gesso não corrige o pH do solo, portanto esse corretivo não substitui o calcário, dessa forma, as práticas são complementares e possuem objetivos diferentes.
A importância da utilização do gesso no desenvolvimento radicular é demonstrada em vários estudos.
Sousa et al. (2001) mostram a distribuição relativa do sistema radicular da leucena (Leucena leucocephala cv. Cunningham) no perfil do solo, com e sem a aplicação de gesso. Dessa forma, nota-se que o volume radicular explorado na condição de presença do gesso (em verde) é superior quando comparado a testemunha (em vermelho) testemunha.

Figura 2. Distribuição relativa do sistema radicular da leucena (Leucena leucocephala cv. Cunningham) no perfil de um Latossolo Vermelho argiloso, sem ou com aplicação de 6t há-1 de gesso. O valor de 100% equivale a 5,206g dm-3 de raízes no solo do tratamento com gesso. Souza et al. (2001).
Na cultura do café, a aplicação de gesso agrícola foi eficiente na melhoria do ambiente radicular no subsolo, favorecendo o desenvolvimento de raízes finas eficientes na absorção de água (CARDUCCI et al., 2014), além disso, de acordo com Marques, Faquin e Guimarães (1999), a aplicação de gesso acarretou em aumento nos teores de Ca e S na folha do cafeeiro.
Além disso, Resultados obtidos por Serafim et al. (2011) relatam que áreas com um sistema caracterizado pela aplicação de gesso associado ao cultivo da braquiária na entrelinha e sulco de plantio profundo, tem apresentado resultados promissores, com potencial para reduzir limitações hídricas.
Dessa forma, nota-se a importância da utilização desse condicionador e do seu reflexo positivos ao desenvolvimento radicular.
O gesso é cerca de 150 vezes mais solúvel que o calcário, dessa forma ele penetra facilmente no perfil do solo.
Para a recomendação de gesso, é necessário que seja feita a análise de solo na profundidade de 20-40 cm. Essa análise é sempre recomendada para que possamos acompanhar o nível dos nutrientes também em profundidade, e não somente na camada de 0-20.
Após realizada corretamente a amostragem e enviada ao laboratório, deve-se olhar os seguintes itens na análise de 20-40 cm:
– Al3+ maior que 0,3 cmolc/dm3 na camada de 20-40 cm
– Ca2+ abaixo de 1,5 cmolc/dm3 na camada de 20-40 cm
Além disso, se o enxofre na análise de 0-20 cm for menor que 20 mg/dm3 e não tiver aplicação de gesso nos últimos 3 anos, também é recomendado que se realize a gessagem.
Para a recomendação de gesso, nós temos a fórmula de Recomendação com base no teor de argila das camadas inferiores do solo (Souza et al (1997), que considera o teor de argila do solo multiplicado por 75, o qual resulta em uma necessidade em kg por hectare:
NG (Kg/ha) = 75 x teor de argila (%)
Em que:
NG: Necessidade de gessagem em Kg por hectare
Teor de argila (%): teor de argila do solo

Figura 3. Aplicação de gesso em superfície em lavouras novas – Fazenda localizada no município de Coqueiral/MG, assistida pelo consultor técnico: Diego Baquião.
Na prática, muitos técnicos tem utilizado a recomendação na faixa de 1 a 2 toneladas de gesso por hectare (podendo ser mais em algumas situações), avaliando a situação dos teores dos nutrientes: Al, Ca e S , e também olhando a CTC do solo, para a tomada de decisão mais assertiva, buscando sempre um manejo que proporcione melhores condições para o desenvolvimento radicular e consequentemente ao desenvolvimento da parte aérea das plantas. Além disso, que também seja sustentável do ponto de vista econômico, visto que o gesso é um insumo caro, e para produção de qualquer produto agrícola devemos tomar decisões com base na melhor recomendação técnica em cada situação aliada a situação financeira e análise de custo.
A aplicação de gesso pode ser feita a lanço em área total, no preparo do solo para o plantio de café, no enchimento das covas ou no fechamento de sulcos e em cobertura nas lavouras implantadas, sem ser necessária a incorporação devido a sua solubilidade. É importante que o gesso seja bem distribuído, para que não haja risco de carregamento do gesso pela chuva.

Figura 4. Aplicação de gesso em cobertura em cafeeiros de 7 meses (Foto: Diego Baquião).
Portanto, como vimos, o gesso é um condicionador de solo que proporciona vários benefícios ao desenvolvimento radicular e consequentemente as plantas. Por isso, de acordo com as condições mencionadas de recomendação, devemos fazer o uso do gesso agrícola, a fim de buscar sempre aprofundar raízes e aumentar seu volume de solo explorado, aumentando assim a “boca” da planta, e dessa forma podendo alcançar melhores resultados.
Estar de acordo com as novas técnicas de mercado é de suma importância para quem deseja produzir cafés com excelência.
Desde a implantação da lavoura, gestão de equipe na fazenda, manejos como a fertilidade e proteção, ou mesmo as fases finais de colheita e pós-colheita, é preciso ter domínio e segurança, caso queira obter sucesso.
Por isso, no Rehagro há o curso online Gestão na Produção de Café, onde professores atuantes em campo, ensinam de forma prática, atualizada e validada essas técnicas. Clique abaixo e conheça um pouco mais sobre esse curso:

O post Gesso na cultura do café: o que é, benefícios e como aplicar apareceu primeiro em Rehagro Blog.
]]>O post Composto orgânico: o que é e quais são os seus benefícios apareceu primeiro em Rehagro Blog.
]]>Este condicionador pode proporcionar melhorias nas propriedades físicas, químicas e biológicas do solo.
Composto orgânico (Foto: Luiz Paulo Vilela)
Quando aplicado no solo o composto orgânico fornece macro e micronutrientes, mas também material orgânico estabilizado, propiciando não só a fertilização da cultura, como a melhoria das características físicas e químicas do solo.
O incremento de matéria orgânica contribui para o aumento da CTC (capacidade de troca de cátions), permitindo maior retenção de nutrientes, sejam eles do próprio composto ou de outras fontes, inclusive fertilizantes químicos.
Estes nutrientes retidos vão sendo liberados de forma gradativa para a planta, contribuindo com o aumento da produtividade.
Sem tempo para ler agora? Baixe este artigo em PDF!
Além de proporcionar maior retenção de nutrientes e de água no solo (importante para os períodos de estiagem) e dos outros benefícios já citados, a aplicação de composto orgânico contribui ainda para maior disponibilização de fósforo para as plantas.
A disponibilização do fósforo é um fator muito importante, visto que ele apresenta grande interação com o solo, podendo ser fixado e por isso, não fica disponível para as plantas.
Porém, na presença dos ácidos orgânicos produzidos no processo de decomposição da matéria orgânica, ocorre uma competição pelos sítios de adsorção, deixando este nutriente disponível para as plantas absorverem.
Outro aspecto importante é que a utilização de composto orgânico favorece a atividade biológica do solo, que consiste principalmente de microrganismos que realizam diversas funções essenciais para o funcionamento do solo.
Os microrganismos decompõem a matéria orgânica, liberam nutrientes em formas disponíveis às plantas e degradam substâncias tóxicas.
Além disso, eles formam associações simbióticas com raízes de plantas, atuam no controle biológico de patógenos, influenciam na solubilização de minerais e contribuem para a estruturação e agregação do solo. Dessa forma, sendo extremamente desejáveis.
Os benefícios da aplicação do composto orgânico como um componente da adubação do solo podem ser visualmente notados pela observação do vigor das plantas em uma gleba submetida a este tipo de tratamento.
Para comprovar isso, trouxemos duas fotografias de uma lavoura cultivar Mundo Novo, em que foi realizada a aplicação de composto orgânico. Observem o ótimo vigor e enfolhamento das plantas!
Lavoura com a aplicação de composto orgânico. (Foto: Luiz Paulo Vilela).
Lavoura com a aplicação de composto orgânico. (Foto: Luiz Paulo Vilela).
O composto orgânico é produzido através da compostagem. A compostagem é um processo de degradação controlada de materiais orgânicos na presença de oxigênio, mediante uma relação adequada de carbono e nitrogênio.
Ao final do processo os nutrientes são convertidos em formas mais disponíveis para as plantas, podendo ser observado aumento no teor de N, P, K em relação aos materiais adicionados inicialmente na leira (COSTA et al., 2015). Durante a estabilização do material orgânico em substâncias húmicas há a formação de um produto mais estável, o composto, com propriedades diferentes do material que lhe deu origem.
A compostagem pode ser conduzida com a utilização de diversos tipos de materiais orgânicos.
Na maioria das vezes o processo é conduzido utilizando resíduos como: restos de alimentos crus, dejetos de animais, folhas secas, serragem ou maravalha, palha de milho, palha de trigo, palha de café, bagaço de cana, subprodutos da indústria cervejeira, resíduos de matadouro, entre outros (LACERDA; SILVA, 2014). O que vai variar é a quantidade de cada um destes materiais, conforme a quantidade de carbono e nitrogênio de cada um.
De forma geral os materiais orgânicos podem ser divididos em nitrogenados e carbonáceos, é a relação carbono nitrogênio (C/N) que indica se um material é rico em carbono ou em nitrogênio.
Os materiais nitrogenados são aqueles que em sua composição tem uma quantidade de nitrogênio maior que de carbono orgânico, ou seja, uma menor relação carbono nitrogênio (C/N). Já os materiais carbonáceos são aqueles que apresentam uma maior relação carbono nitrogênio.
Na tabela abaixo são listados alguns resíduos ricos em carbono e em nitrogênio.
Classificação de alguns resíduos orgânicos
A quantidade de carbono e de nitrogênio ideal para se iniciar um processo de compostagem é entre 25/1 a 35/1 (KHIEL,2001). Esta relação supre as necessidades dos microrganismos para iniciar o processo de decomposição.
Para estabelecer uma relação C/N adequada, é necessário dosar a quantidade de resíduos nitrogenados e carbonáceos de acordo com as características de cada material. Em termos práticos, uma leira deve composta por 3 partes de resíduo carbonáceo para 1 parte de resíduo nitrogenado.
Para iniciar o processo de compostagem, além de verificar os tipos de materiais disponíveis deve-se atentar também para a montagem das leiras. Leiras são formas de acondicionar os resíduos para iniciar a compostagem.
Existem diferentes métodos de compostagem, o mais simples é o método windrow, conhecido também como leiras reviradas (PEREIRA NETO, 2007).
Este método consiste em acondicionar a mistura de resíduos em leiras e revirá-las periodicamente para garantir a presença de oxigênio, fundamental para que o processo ocorra de forma correta.
Os tipos de leira mais comumente utilizados são piramidal, trapezoidal e cônico. Em compostagem de grande escala as leiras piramidais e trapezoidais são as mais indicadas.
Independentemente do tipo de leira escolhida recomenda-se montá-la a uma altura de até 1,5m. Pilhas muito altas podem ocasionar a compactação do material, prejudicando o fluxo de ar. Pilhas muito baixas prejudicam a manutenção da temperatura, perdendo calor para o meio. A largura e o comprimento são variáveis.

A compostagem é um processo biológico e aeróbio, influenciado por fatores como a natureza dos microrganismos, umidade, aeração, temperatura e relação carbono nitrogênio(C/N) (Kiehl,2001).
Os microrganismos responsáveis pelo processo dependem de condições específicas para sobreviverem e realizarem o seu “trabalho”, condições estas:
Parâmetros ideias para a condução do processo de compostagem.
No dia a dia do processo, a temperatura deve ser medida diariamente, em pontos diferentes da leira. O reviramento garante a presença de oxigênio e deve ser feito no mínimo uma vez por semana ou sempre que a temperatura foi maior que 65°C.
A umidade deve ser verificada e corrigida sempre que necessário, para verificar se está adequada aperte um pouco de composto na mão, ele deve estar igual ao da próxima imagem. Se escorrer está úmido demais, se esfarelar precisa de mais água.
Método de verificação da umidade da leira. Observe que após ser apertado na mão o material manteve o formato dos dedos sem escorrer, esta é uma boa condição de umidade da leira. (Foto: Ana Elisa Daher)
O tempo necessário para produção do composto orgânico varia conforme as características dos materiais que compõem a leira, dependendo da relação C/N inicial, do teor de nitrogênio dos resíduos, do tamanho das partículas, da aeração e do número e frequência dos reviramentos, podendo durar até 120 dias.
O processo de compostagem pode ser subdividido de forma simplificada em duas fases:
A fase ativa (biodegradação rápida) caracteriza o início do processo onde se tem grande quantidade de nutrientes (nitrogênio) e energia (carbono) para serem consumidos pelos microrganismos e convertidos em dióxido de carbono, calor, água e composto.
Devido à alta atividade bacteriana a característica principal desta etapa é o aumento da temperatura. O fim da fase de degradação ativa é indicado pela redução da temperatura, à medida que os materiais vão sendo degradados e a taxa de atividade microbiana vai sendo reduzida, conforme o gráfico a seguir.
Exemplo da evolução da temperatura em uma leira de compostagem. Fonte: Fernandes; Silva, 1996.
Após a faixa de biodegradação rápida ocorre a fase maturação do composto, quando a maior parte da matéria orgânica já foi estabilizada/degradada.
Nesta etapa não é necessário o reviramento periódico, este é usado apenas quando for observado aumento de temperatura da pilha, ou quando houver formação de maus odores. A umidade nesta fase deve ser mantida entre 45 a 50%.
Após a fase de maturação o composto está pronto para ser aplicado no solo.
O processo de compostagem promove a bioconversão dos nutrientes presentes nos materiais orgânicos, transformando-os da forma orgânica (não assimilável pela planta) para a forma mineral (disponível para a planta).
Além da mineralização dos nutrientes contidos, ocorre ainda a imobilização do material orgânico (ECKHARDT et al., 2018).
Um estudo conduzido por Eckhardt e colaboradores (2018) comparando a taxa de mineralização de N, P, K no solo pela aplicação de fertilizantes orgânicos e resíduos de bovinos de corte e de leite in natura mostrou que as fezes de bovino de leite aplicadas diretamente no solo imobilizaram nitrogênio do mesmo, ao passo que o composto orgânico produzido com fezes de bovino de corte e palha obteve a maior taxa de disponibilização de nitrogênio entre os fertilizantes analisados.
O estudo realizado por Silva (2019) com o objetivo de avaliar o vigor de cafeeiros submetidos a diferentes práticas de manejo visando atenuar os efeitos da escassez hídrica, mostrou que a utilização do composto orgânico no manejo proporcionou incremento no solo de vários nutrientes, com destaque para o fósforo, em que foi superior a todos os outros manejos utilizados, como mostra o gráfico abaixo.
Dessa forma, salientando, sobre os diversos benefícios proporcionados pela utilização de composto orgânico, desde melhora na retenção de água no solo, até mesmo no fornecimento de nutrientes, destacando o fósforo que é um nutriente com grande interação no solo.
Barras seguidas de mesma letra não diferem entre si a 5% de probabilidade pelo teste Scott-Knott. Fonte: Silva (2019).
Portanto, são nítidos os benefícios químicos, físicos e biológicos ao solo com a utilização de composto orgânico. Refletindo assim em melhores condições para o crescimento e desenvolvimento das plantas, e, consequentemente acarretando em melhores resultados para a cultura.
A compostagem é um processo que pode ser realizado na própria fazenda, e em muitos casos com resíduos que ela mesma produz, reduzindo assim custo de produção desse material orgânico.
Para a realização do processo, é importante estar atento aos aspectos citados anteriormente, como: a quantidade de resíduos nitrogenados e carbonáceos, altura da leira, umidade, temperatura e presença de oxigênio (revirar a leira), para que o processo ocorra de forma adequada e se produza um composto orgânico de qualidade.
Estar de acordo com as novas técnicas de mercado é de suma importância para quem deseja produzir cafés com excelência.
Desde a implantação da lavoura, gestão de equipe na fazenda, manejos como a fertilidade e proteção, ou mesmo as fases finais de colheita e pós-colheita, é preciso ter domínio e segurança, caso queira obter sucesso.
Por isso, no Rehagro há o Curso online Gestão na Produção de Café Arábica, onde professores atuantes em campo, ensinam de forma prática, atualizada e validada essas técnicas. Clique abaixo e conheça um pouco mais sobre esse curso:

O post Composto orgânico: o que é e quais são os seus benefícios apareceu primeiro em Rehagro Blog.
]]>O post Coffea arabica e Coffea canephora: quais são as diferenças das espécies? apareceu primeiro em Rehagro Blog.
]]>A espécie Coffea arabica possui maior extensão de área cultivada, entretanto, em determinadas regiões a espécie Coffea canephora é predominante. Diante disso, apesar de ambas serem do gênero Coffea, as características dessas espécies apresentam diferenças.
Plantas de café das espécies Coffea canephora (esquerda) e Coffea arábica (direita). (Foto: Larissa Cocato da Silva)
Sem tempo para ler agora? Baixe este artigo em PDF!
O café arábica é uma espécie alotetraploide (2n=44x=44), ou seja, possui 44 cromossomos e é autógama (< 5% de fecundação cruzada), em geral, suas mudas são formadas por meio de sementes, no entanto já existem pesquisas avançadas para viabilizar a utilização de estacas para sua reprodução.
Essa espécie possui menores teores de cafeína, assim como menores teores de sólidos solúveis e sua bebida, geralmente é mais aromática e ácida, porém menos encorpada quando comparada a espécie Coffea canephora.
Além disso, essa espécie é unicaule, suas folhas são verdes mais escuro e menores, os frutos são maiores ovalados, com mais mucilagem e mais aderidos as plantas. A temperatura ideal para seu cultivo é em torno de 18 a 22°C.
Grãos de café da espécie Coffea arabica e Coffea canephora. (Fonte: Google imagens).
O plantio do Coffea arabica é mais recomendado em maiores altitudes, enquanto que o canephora pode ser produzido em altitudes até 800 m. Sua produção é mais concentrada nos estados de Minas Gerais (MG) e São Paulo (SP).
Folhas de café da espécie Coffea canephora – mais acosteladas (Foto: Larissa Cocato da Silva).
O Coffea canephora é uma espécie diplóide (2n=22x=22), possuindo 22 cromossomos. Está espécie, ao contrário da arábica, é alógama (> 95% de fecundação cruzada) e suas mudas podem ser formadas por meio de clones ou sementes.
Possui maiores teores de cafeína e sólidos solúveis, por isso é mais utilizada para produção de café solúvel. No entanto, menores teores de açúcar são observados nesta espécie. Os seus grãos são muito utilizados em “blends” de cafés.
Além disso, ao contrário da Coffea arabica, essa espécie geralmente é multicaule, apresentam folhas de coloração verde mais claro e maiores. Seus frutos são menores, esféricos, com menos mucilagem e se apresentam menos aderidos à planta.
Caule (unicaule) da espécie Coffea arábica e multicaule da espécie Coffea canephora. (Foto: Larissa Cocato da Silva)
As plantas de café canephora suportam maiores temperaturas, por isso, sua temperatura ideal é em torno de 23 a 26°C.
Neste sentido, também são mais resistentes a pragas e doenças, sendo estas mais rústicas e produtivas em comparação ao arábica, entretanto, esta última possui valor de mercado mais alto que a primeira. A espécie canephora é mais cultivada nos estados do Espírito Santo (ES), Rondônia (RO) e Bahia (BA).
Folhas de café da espécie Coffea arabica (esquerda) e Coffea canephora (direita). (Foto: Larissa Cocato da Silva)
Abaixo um resumo com as principais diferenças entre as espécies Coffea arabica e Coffea canephora.
Diferenças das espécies Coffea arabica e Coffea canephora.
A cafeicultura é oscilante, mas nos últimos tempos, as safras têm ganhado cada vez mais destaque e valorização. Aquele que se prepara, produz mais, lucra mais e já consegue planejar os próximos passos para que a próxima safra seja ainda mais produtiva.
Se você busca esse resultado, comece se atualizando com as novas técnicas de mercado.
No curso online Gestão na Produção de Café Arábica, você aprenderá com quem entende do assunto, pois os professores atuam em fazendas comerciais e passarão o conhecimento a você. Não perca mais tempo e tire suas dúvidas:


O post Coffea arabica e Coffea canephora: quais são as diferenças das espécies? apareceu primeiro em Rehagro Blog.
]]>O post Irrigação na cultura de café: como manejar para uniformização da florada? apareceu primeiro em Rehagro Blog.
]]>
Em agosto de 2020, fizemos a transmissão de um Webinar sobre irrigação na cultura de café. O palestrante foi Alexandre Mudrik, mestre em recursos hídricos com 15 anos de experiência em gestão de irrigação. Durante a transmissão, Mudrik discutiu sobre a viabilidade econômica do negócio e sobre o manejo da uniformização da florada.
O tema ainda é extremamente relevante no ramo e diversos profissionais buscam aumentar seus conhecimentos sobre o assunto.
Se você é um deles, não perca a chance de assistir ao vídeo! Trata-se de uma palestra gratuita feita por nós, Grupo Rehagro, em parceria com o 3RLab.
Se tiver dúvidas ou ressalvas, deixe seu comentário registrado. Nossa equipe técnica irá respondê-lo.
Clique no botão abaixo e participe dessa incrível experiência do agronegócio!
O post Irrigação na cultura de café: como manejar para uniformização da florada? apareceu primeiro em Rehagro Blog.
]]>O post Época de plantio do café: qual a influência no desenvolvimento do cafeeiro? apareceu primeiro em Rehagro Blog.
]]>De acordo com um estudo feito por Oliveira em 2015, a época de plantio influenciou no crescimento das plantas de café.
O autor comparou o plantio de café em 6 épocas, sendo elas nos meses: outubro, novembro, dezembro, janeiro, fevereiro e março, com o intuito de verificar a melhor época de plantio.
Figura 1. Implantação de lavouras de café. (Foto: Diego Baquião).
As avaliações de crescimento, foram realizadas em duas épocas, uma no período seco (julho) e outra no período chuvoso (janeiro), e observou-se que ambas apresentaram a mesma tendência, à medida que o plantio foi realizado mais tardiamente, resultou em menor altura, diâmetro do caule e crescimento dos ramos plagiotrópicos das plantas.
Sem tempo para ler agora? Baixe este artigo em PDF!
Os gráficos abaixo mostram a tendência de diminuição da altura de plantas (cm), diâmetro de caule (mm) e comprimento dos ramos plagiotrópicos (cm), à medida que os plantios são realizados mais tardios.
Figura 2. Altura de plantas (cm) nos meses de julho de 2013 e janeiro de 2014 em função dos seis meses de plantio (outubro, novembro, dezembro, janeiro, fevereiro e março).
Figura 3. Diâmetro do caule (mm) nos meses de julho de 2013 e janeiro de 2014 em função dos seis meses de plantio (outubro, novembro, dezembro, janeiro, fevereiro e março).
Figura 4. Comprimento do ramo plagiotrópico nos meses de julho de 2013 e janeiro de 2014 em função dos seis meses de plantio (outubro, novembro, dezembro, janeiro, fevereiro e março).
Dessa forma, de acordo com os resultados deste estudo, nota-se que a partir de outubro, quanto mais tardios foram os plantios, menor foi o crescimento inicial dos cafeeiros no primeiro ano em campo.
Isso possivelmente ocorre, pois plantios mais tardios recebem menor quantidade de chuvas, e dessa forma, terão menor tempo para adaptação antes do período de menor disponibilidade hídrica. Por isso, aqueles plantios realizados mais cedo, apresentam um maior incremento no crescimento das plantas de café.
Além disso, vale destacar que, plantios mais tardios, além de afetar esse crescimento e desenvolvimento inicial das plantas, podem acarretar uma maior taxa de replantio, aumentando assim o custo de implantação da lavoura e afetando diretamente nos resultados do produtor.
Figura 5. Plantio de café realizado em 31 de outubro. (Foto: Luiz Paulo Vilela)
Figura 6. Plantio de café realizado em 19 de dezembro. (Foto: Luiz Paulo Vilela)
Figura 7. Plantio de café realizado em 18 de fevereiro. (Foto: Luiz Paulo Vilela)
Dessa forma, os meses outubro e novembro, início do período chuvoso, normalmente apresentam boas condições para o plantio, proporcionando assim uma maior disponibilidade de água para o desenvolvimento dessas plantas, como foi observado nas fotos acima.
Desenvolvimento de lavoura do cultivar Catuaí 62, com espaçamento 3,70 m x 0,50 m, com plantio em novembro de 2019.
Essa lavoura está com manejo utilizando a Braquiária Ruziziensis na entrelinha, com linhas alternadas. Município: Jacuí/MG. (Foto tirada em junho de 2020 – 7 meses de idade)
Figura 8. Lavoura de Catuaí com plantio em novembro de 2019. (Foto: Diego Baquião).
Vários são os fatores que influenciam para se ter sucesso na implantação de uma lavoura de café.
Dentre eles, a época de plantio é um fator que pode interferir no crescimento e desenvolvimento inicial das plantas, dessa forma, plantio realizados mais cedo trazem maiores crescimento e desenvolvimento das plantas, e, consequentemente maior possibilidade de maiores produtividades nas primeiras safras, proporcionando assim aos cafeicultores um retorno mais rápido do investimento na formação da lavoura.
A cafeicultura é oscilante, mas nos últimos tempos, as safras têm ganhado cada vez mais destaque e valorização. Aquele que se prepara, produz mais, lucra mais e já consegue planejar os próximos passos para que a próxima safra seja ainda mais produtiva.
Se você busca esse resultado, comece se atualizando com as novas técnicas de mercado.
No curso online Gestão na Produção de Café Arábica, você aprenderá com quem entende do assunto, pois os professores atuam em fazendas comerciais e passarão o conhecimento a você. Não perca mais tempo e tire suas dúvidas:
O post Época de plantio do café: qual a influência no desenvolvimento do cafeeiro? apareceu primeiro em Rehagro Blog.
]]>O post Como aumentar as cargas do solo para retenção de mais nutrientes? apareceu primeiro em Rehagro Blog.
]]>Entretanto, para que possa expressar seu máximo potencial genético, o cafeeiro precisa ter disponíveis todos os nutrientes dos quais precisa.
Para isso, a partir da análise de solo, uma estratégia de adubação racional pode ser indicada para que não ocorram possíveis deficiências nutricionais presentes ali, que limitam a produção e comprometem a qualidade do café.
Mas você sabia que existe uma técnica para que o solo possa reter mais nutrientes? Podemos fazer isso pelo aumento de cargas!
Entenda, de forma simples, o que são elas e como funciona essa dinâmica!
Sem tempo para ler agora? Baixe este artigo em PDF!

Cafeeiro adulto (Foto: Diego Baquião).
Nos nossos solos, temos três fases: gasosa, líquida e sólida.
É importante pois, em condições de baixa concentração de oxigênio, como por exemplo em solos compactados ou inundados, podem ocorrer reações no solo, que afetam a disponibilidade de vários nutrientes.
É a fase em que os nutrientes são absorvidos pelas plantas, ela está em equilíbrio com a fase sólida, e por isso, uma boa retenção de bons nutrientes na fase sólida, favorece a disponibilidade de bons nutrientes para a fase líquida, e consequentemente a absorção pelas plantas.
É quando ocorre a retenção dos nutrientes e a reposição para a fase líquida, estando essas duas fases em equilíbrio, e por isso, a fase sólida funciona como uma caixa, que reserva os nutrientes e vai repondo aos poucos.
Ela é dividida em 2 subfases: mineral e orgânica. Em relação à fase mineral, a maioria dos nossos solos brasileiros, há a predominância de argilas oxídicas (óxidos de ferro e de alumínio) e argilas 1:1 (caulinita), que são argilas de baixa reatividade, e por isso possuem baixa capacidade de gerar CTC do solo, dessa forma, não apresentando caixas muito grandes para reter esses nossos nutrientes. Essa retenção ocorre devido à formação de cargas, sendo que cargas positivas retêm os ânions (H2PO4-, SO42-), e cargas negativas retêm os cátions (Ca2+, Mg2+, K+).
Na ausência de cargas, perderíamos os nossos nutrientes por lixiviação, e dessa forma, não teria a reposição destes para a fase líquida. Por isso, temos sempre que buscar práticas de manejo que consigam “aumentar” essas cargas, e consequentemente, essa retenção de nutrientes.
Nos nossos solos, há a predominância de cargas negativas em relação às cargas positivas, ou seja, a tendência é que nossa Capacidade de Troca de Cátions (CTC) seja maior que a Capacidade de Troca de Ânions (CTA).
Os colóides orgânicos, formam cargas negativas, por isso, a fase orgânica do solo, é uma parte que conseguimos adicionar em nosso manejo e atuar, com o intuito de desenvolver cargas no nosso solo.
Como exemplo prático disso, temos que as argilas oxídicas e as argilas 1:1, tem a capacidade de gerar uma CTC a pH 7,0 de respectivamente 4 cmolc/dm3 e 8 cmolc/dm3, enquanto que os coloides orgânicos conseguem gerar de 200 a 400 cmolc/dm3, de CTC a pH 7,0.
O aumento da CTC pode ser feito de duas formas: pela adição de argilas, no entanto, esta prática é inviável do ponto de vista prático, e uma segunda forma, é pela adição de matéria orgânica.
Seja ela pela adição de esterco, composto orgânico, ou palhas, de braquiária, casca de café, que vão decompor.
A utilização de matéria orgânica, tem como papel principal, desenvolver cargas no solo, e consequentemente, aumentar a CTC. No entanto, além deste grande benefício, ela também atua no fornecimento de nutrientes, como o Boro, N, P, K, Ca, Mg e S e, dependendo da fonte, pode proteger nosso solo.
O conhecimento sobre a cultura permite que adotemos estratégias inteligentes de manejo, que, muitas vezes, demandam baixo investimento e geram grandes resultados.
Acompanhe o nosso blog e fique por dentro!
Estar por dentro das tendências, novidades e conhecimentos técnicos do mercado agrícola cafeeiro, é o que pode te diferenciar entre os profissionais da área.
Aquele que busca se destacar e criar carreira na cafeicultura, precisa estar se atualizando constantemente, afinal, o Agro não para e está cada vez mais exigente.
Com o curso Gestão na Produção de Café, isso é possível! Professores atuantes em campo, vão te passar por meio de dados reais, atuais e validados, as técnicas para atingir a excelência de produção. Domine as principais técnicas e destaque-se no mercado cafeeiro!

O post Como aumentar as cargas do solo para retenção de mais nutrientes? apareceu primeiro em Rehagro Blog.
]]>O post Mancha de Phoma no cafeeiro: sintomas e formas de controle apareceu primeiro em Rehagro Blog.
]]>
Sintomas de phoma em cafeeiro. Foto: Luiz Paulo Vilela
Sem tempo para ler agora? Baixe este artigo em PDF!
Os sintomas dessa doença são manchas irregulares de coloração escura nas folhas, iniciando, geralmente nos bordos, essas lesões nos bordos podem provocar curvatura.
Nos ramos podem ser observadas lesões deprimidas e escuras, que podem envolver todo diâmetro do ramo e causar seca da extremidade ou do ponteiro.
Folhas com sintomas de mancha de phoma no cafeeiro. Foto: Luiz Paulo Vilela
Seca de ponteiros em cafeeiro. Fotos: Luiz Paulo Vilela e arquivo Rehagro
Ramo de café sadio (foto da esquerda) x ramo de café com Phoma (foto da direta). Foto: Luiz Paulo Vilela
Essa doença pode causar desfolha, queda de botões florais, mumificação e queda de chumbinhos, acarretando assim em perdas na produção.
A penetração do fungo Phoma é facilitada por danos mecânicos no tecido da planta, produzidos por exemplo por insetos, atrito de folhas em função de ventos acentuados em épocas frias, ou outras fontes de danos.
Dessa forma, esse fungo é favorecido por baixas temperaturas, vento e umidade relativa alta.
Regiões de altitudes superiores, propícias a ventos frios com baixas temperaturas noturnas e presença de orvalho são condições ideais para o aparecimento dessa doença. Portanto, nessas regiões, deve-se realizar o controle preventivo.
Zambolim et al., 1999; Salgado et al., 2002; Pozza et al., 2003
Além disso, a adubação também pode interferir no aparecimento desse patógeno, uma vez que o excesso de nitrogênio pode acarretar em aumento da produção de tecidos jovens e suculentos, dessa forma sendo mais suscetíveis a entrada do patógeno, conforme observado por Lima et al. (2010).
Área abaixo da curva de progresso da incidência (AACPI) e da severidade (AACPS) da mancha de Phoma em mudas de café, em função de doses de nitrogênio em solução nutritiva.
Em relação ao potássio, os autores observaram aumento da área abaixo da curva de progresso da incidência (AACPI) e da severidade (AACPS) da mancha de Phoma com doses de potássio acima de 7 mmol/L.
Isso possivelmente ocorre devido a inibição competitiva entre os cátions Ca e K pelos mesmos sítios de absorção, com maior eficiência de potássio na absorção e translocação na planta.
Dessa forma, eles observaram que o aumento de K na solução, acarretou em redução do teor de cálcio na parte aérea das plantas, salientando que a presença de cálcio confere certa resistência à penetração de patógenos, visto que ele é constituinte da lamela média das células, sendo assim, importante para o fortalecimento da parede celular.
Área abaixo da curva de progresso da incidência (AACPI) e da severidade (AACPS) da mancha de Phoma em mudas de café, em função de doses de potássio em solução nutritiva.
Dentre as medidas preventivas de controle podemos citar a escolha da área para instalação de viveiros, optando pela escolha de locais bem drenados e protegidos contra ventos frios.
Da mesma forma, para a escolha da área de plantio de café, deve-se evitar o plantio de café em áreas sujeitas a ventos fortes e frios. A utilização de quebra ventos também é muito importante desde a implantação da lavoura.
Também, adubações equilibradas se atentando principalmente ao equilíbrio com nitrogênio e ao fornecimento de cálcio devido a sua constituição na parede celular.
Em regiões de altitudes superiores, propícias a ventos frios com baixas temperaturas noturnas e presença de orvalho é importante estar atento por estarem mais sujeitas ao ataque desse patógeno. Portanto, nessas regiões, deve-se realizar o controle preventivo, principalmente nas fases de pré e pós-florada.
Quando necessário a entrada com o controle químico, deve-se lembrar de rotacionar o princípio ativo dos fungicidas, a fim de evitar problemas com resistência de populações.
Com o curso Gestão na Produção de Café, você irá aprender com professores atuantes em campo, que vão te passar por meio de dados reais, atuais e validados, as técnicas para atingir a excelência de produção.
Aprenda sobre: implantação; fertilidade; proteção; colheita e pós-colheita e até sobre a gestão financeira da fazenda.
Domine as principais técnicas e destaque-se no mercado cafeeiro!

O post Mancha de Phoma no cafeeiro: sintomas e formas de controle apareceu primeiro em Rehagro Blog.
]]>O post CTC do solo: o que é e como interpretá-la em uma análise de solo apareceu primeiro em Rehagro Blog.
]]>Nós preparamos uma explicação simples, com algumas dúvidas frequentes em relação a este item.
É a capacidade que os coloides do solo possuem para reter cátions (elementos de carga positiva), sendo diretamente dependente de cargas negativas presentes.
Sem tempo para ler agora? Baixe este artigo em PDF!
Nos nossos solos brasileiros, nós temos a predominância de cargas negativas. Dessa forma, quanto maior a quantidade de cargas negativas no meu solo, mais eu consigo reter esses cátions.
Esta ocupação pode ser por elementos bons (nutrientes), como Ca2+, K+, Mg2+, ou pode ser ocupado por elementos ruins, como é o caso do Al3+ e do H+. E estes últimos podem estar ocupando cargas de outros elementos que são bons.
A partir disso, é importante a seguinte colocação: “nós não podemos afirmar impreterivelmente que um solo com CTC alta é muito melhor que um solo com CTC baixa”. Mas, por que?
Pois é muito importante considerar com o que a CTC daquele solo está sendo ocupada no solo!
Sim, solos mais argilosos tem a CTC maior que solos arenosos, pois areia não tem carga.
E isso pode interferir no manejo desses diferentes tipos de solo, em solos mais arenosos deve-se ter o cuidado na adubação, focando em mais parcelamentos, e realizar manejos que visam o aumento da CTC desses solos.
A maioria dos nossos solos brasileiros possuem argila de baixa atividade, com predominância de argilas oxídicas e argilas 1:1 (caulinita), argilas essas que apresentam baixa CTC, e são altamente dependentes do pH.
Um exemplo simples: argilas oxídicas por exemplo, possuem em média uma CTC total (a pH 7,0) de 4 cmolc/dm3, as argilas 1:1, possuem em média uma CTC total (a pH 7,0) de 8 cmolc/dm3. Já os coloides orgânicos (húmus), possuem uma CTC total (a pH 7,0) de cerca de 200 cmolc/dm3.
Existem duas formas:
Dessa forma, a argila e a matéria orgânica é quem são responsáveis por segurar os elementos para que eles não se percam!
Portanto, após um manejo visando aumentar a CTC de um solo, o que cabe a nós posteriormente é colocar elementos bons, que é através de calcário, gesso e fertilizantes, para que sejam retidos coisas boas nas nossas cargas negativas.
Então, precisamos focar em práticas que visem aumentar a CTC do nosso solo, e além disso focar em fornecer nutrientes, para que estes fiquem retidos em nossas cargas.
Primeiramente, o nosso solo, é composto pela fase sólida e pela fase líquida.
Essas duas fases, estão em equilíbrio entre si. Nesse sentido, o que está retido na argila e na matéria orgânica (fase sólida), está em equilíbrio com a solução do solo (fase líquida).
As plantas não conseguem absorver diretamente os elementos que estão presos na fase sólida, elas absorvem o que está dissolvido na fase líquida! Mas quem “manda” os nutrientes para a fase líquida é a fase solida!
Por isso, de forma simples: a argila e a matéria orgânica, retém os elementos e manda para a fase líquida, as plantas absorvem os elementos a partir da fase líquida!
Dessa forma, todas as práticas que eu faço visando aumentar a minha CTC, melhoram o meu armazenamento de nutrientes, e consequentemente acarretando em mais nutrientes disponíveis para a planta.
CTC efetiva (t) = K + Ca + Mg + Al
Considerando um exemplo de análise de solo, com: (Ca= 0,80 cmolc/dm3, Mg= 0,30 cmolc/dm3, K = 0,08 cmolc/dm3 e Al= 0,90 cmolc/dm3), temos:
CTC efetiva (t) = 0,08 + 0,80 + 0,30 + 0,90 = 2,08 cmolc/dm3
CTC potencial (T) = K + Ca + Mg + H+Al
Considerando um exemplo de análise de solo, com: (Ca= 0,80 cmolc/dm3, Mg= 0,30 cmolc/dm3, K = 0,08 cmolc/dm3 e H+Al= 5,64 cmolc/dm3), temos:
CTC potencial (T) = 0,08 + 0,80 + 0,30 + 5,64 = 6,82 cmolc/dm3
O que significam esses valores?
6,82 cmolc/dm3, é capacidade que meu solo tem de armazenar nutrientes a pH 7,0, mas ele está com pH de 5,20, então a capacidade real de armazenar nutrientes é 2,08 cmolc/dm3.
Portanto, de toda a minha capacidade que eu poderia explorar que é 6,82 cmolc/dm3, como eu não tenho o pH próximo de 7,0, eu estou usando apenas 2,08 cmolc/dm3!
E, o que eu posso fazer para que esta CTC efetiva de 2,08 cmolc/dm3 chegue próximo a 6,82 cmolc/dm3, e aumente a capacidade do meu solo?
Aumentando meu pH! Então se eu aumento meu pH, eu consigo aumentar a minha CTC efetiva e dessa forma, consigo armazenar mais nutrientes.
Calcário. Por isso, a CTC é item importante a ser observado e manejado de acordo com as condições dos nossos solos!
Estar de acordo com as novas técnicas de mercado é de suma importância para quem deseja produzir cafés com excelência.
Desde a implantação da lavoura, gestão de equipe na fazenda, manejos como a fertilidade e proteção, ou mesmo as fases finais de colheita e pós-colheita, é preciso ter domínio e segurança, caso queira obter sucesso.
Por isso, no Rehagro há o curso online Gestão na Produção de Café Arábica, onde professores atuantes em campo, ensinam de forma prática, atualizada e validada essas técnicas. Clique abaixo e conheça um pouco mais sobre esse curso:

O post CTC do solo: o que é e como interpretá-la em uma análise de solo apareceu primeiro em Rehagro Blog.
]]>O post Braquiária na entrelinha do cafeeiro: um guia com os benefícios e como manejar apareceu primeiro em Rehagro Blog.
]]>Esse manejo acarretava em aquecimento excessivo da superfície do solo, evaporação da água do solo mais rápido, impacto direto da água da chuva no solo e além disso, podendo acarretar em erosão do solo.
No entanto, atualmente muitos produtores já realizam o manejo do mato na entrelinha do cafeeiro. O consórcio consiste no cultivo da braquiária na entrelinha do cafeeiro, respeitando uma distância de um metro de cada lado da linha, a fim de não haver competição com o cafeeiro.
Após o corte da braquiária, seu resíduo é colocado na linha do cafeeiro, trazendo muitos benefícios.
Sem tempo para ler agora? Baixe este artigo em PDF!
Muitos são os benefícios proporcionados por esse consórcio, isso porque, o resíduo da braquiária mantido na linha do cafeeiro:
A braquiária na entrelinha do cafeeiro atua diminuindo o risco de erosões do solo, seu sistema radicular ajuda na estruturação do solo, devido a decomposição de parte das raízes que ocorre após a ceifa dessa gramínea.
Outro aspecto importante, é a redução no uso de herbicidas no cafeeiro, isso porque, a sua utilização é feita somente na linha do cafeeiro, uma vez que a entrelinha é manejada com roçadas.
Além disso, em lavouras novas, esse consórcio atua como quebra vento, evitando problemas de tombamento de mudas, que é comum em áreas sujeitas a ventos fortes.
Palhada da braquiária na linha de plantio (Foto: Diego Baquião)
Para a escolha da cultivar a ser plantada, deve-se observar algumas características, pois cada cultivar possui sua particularidade.
A Brachiaria brizantha (Urochloa brizantha) ou braquiarão, apresenta crescimento entouceirado, dessa forma não cobrindo totalmente o terreno. Por isso, essa espécie não é recomendada para esse fim, visto que o terreno ficará exposto, não atendendo nosso objetivo de cobrir o solo.
Brachiaria brizantha. (Foto: Diego Baquião)
A Brachiaria decumbens (Urochloa decumbens) ou braquiarinha, é uma cultivar rústica, apresentando boa tolerância ao sombreamento.
Essa braquiária forma touceiras menores, o que proporciona maior cobertura da entrelinha do cafeeiro quando comparada a U. brizantha. Essa espécie é uma boa opção para o manejo do cafeeiro com a brachiaria, podendo ser usada com êxito.
Brachiaria decumbens (Foto: Larissa Cocato)
A Brachiaria ruziziensis (Urochloa ruziziensis) não apresenta tamanha rusticidade quando comparada com a U. decumbens, dessa forma sua formação na área é mais demorada.
No entanto, ela possui grandes vantagens, por entouceirar menos que as outras espécies citadas, ela cobre mais o terreno, demora mais para produzir sementes, se mantendo por mais tempo no período vegetativo e produzindo maior quantidade de massa por hectare. Portanto, essa espécie é uma ótima opção para ser utilizada no manejo com a cultura do café.
(Urochloa ruziziensis) (Foto: Diego Baquião)
Após a escolha da espécie de braquiária a ser colocada na área, é recomendado realizar o plantio com antecedência, deixando a braquiária já formada, e após isso realizar o plantio do café.
No entanto, normalmente as lavouras são arrancadas em julho/agosto e o novo plantio já será realizado em novembro. Neste caso, deve-se optar por semear a braquiária o quanto antes possível, podendo ser realizado o semeio após a abertura do sulco, ou antes da abertura, sendo este último preferido por alguns técnicos.
Para a implantação da braquiária, deve-se aplicar herbicida em área total, após 10 dias realizar o plantio com plantadoras próprias, ou pode ser feito a lanço com adubadoras, onde deve-se utilizar um sistema de rolo ou alguma adaptação que consiga cobrir as sementes na área, pois se não estiverem cobertas as sementes não irão germinar.
A quantidade de semente a ser utilizada irá depender da porcentagem de germinação das sementes e se elas são peletizadas ou não, sendo utilizado em torno de 10 a 20 kgs de sementes por hectare, podendo ser a braquiária decumbens (Urochloa decumbens) ou a braquiária ruziziensis (Urochloa ruziziensis).
Para o manejo da braquiária, emprega-se duas práticas:
No período chuvoso, em lavouras de plantio, 1ª e 2ª safra e recepa, realiza-se roçadas alternadas nas ruas. Já em lavouras a partir da 3ª safra, pode-se roçar todas as ruas, e em ambos os casos, sempre que possível, é bom direcionar o mato para a projeção da saia do cafeeiro com o intuito de manter a umidade e fornecer nutrientes.
Manejo da Braquiária com linhas alternadas (Foto: Luiz Paulo Vilela)
Na foto abaixo temos uma lavoura da cultivar Catuaí 62, com espaçamento 3,70 m 0,50 m, de 7 meses de idade, apresentando o manejo com linhas alternadas utilizando a Brachiaria Ruziziensis (Urochloa ruziziensis).
Manejo de lavoura nova com linhas alternadas utilizando a braquiária Ruziziensis (Urochloa ruziziensis). (Foto: Diego Baquião)
Já no período seco, realiza-se o controle em todas as ruas sem alternar, pois facilita na condução da arruação, salientando que o controle dessa gramínea na entrelinha é feito apenas através de roçadas, sem a utilização de herbicidas.
Na linha do cafeeiro, utiliza-se herbicidas para o controle de plantas invasoras a fim de não exercer competição. É importante destacar, que se deve respeitar uma faixa de controle de 100 cm de cada lado da linha do cafeeiro, de acordo com o estudo de Souza et al. (2006).
Isso porque, estudos mostram a interferência negativa no crescimento das plantas quando há aumento na densidade de plantas da espécie braquiária decumbens, acarretando em redução da área foliar (DIAS et al., 2004).
Braquiária na entrelinha do cafeeiro de lavouras adultas. (Foto: Luiz Paulo Vilela)
Muitos estudos mostram os benefícios proporcionados ao solo e até mesmo as plantas de café, quando manejado adequadamente a braquiária.
De acordo com Silva (2019) o manejo da braquiária na entrelinha do cafeeiro acarretou em maior vigor do cafeeiro tanto na época seca quando na época chuvosa, se comparado ao manejo com o solo exposto (sem cobertura) e a utilização do filme plástico de polietileno (mulching) utilizado na linha do cafeeiro.
Há relatos de efeitos alelopáticos na cultura do café com a utilização dessa gramínea, no entanto, não foi comprovado cientificamente esse tipo de efeito sobre a cultura do café (RAGASSI et al., 2013).
Portanto, o consórcio da braquiária na entrelinha do cafeeiro se mostra uma excelente estratégia de manejo para ser utilizada, isso porque, ela promove diversos benefícios, que pode acarretar em maior vigor as plantas.
Esses benefícios envolvem desde a proteção do solo, reduzindo assim a temperatura do solo e o impacto direto da água da chuva, e até mesmo na possibilidade de fornecimento de nutrientes através da mineralização da braquiária.
Vale ressaltar, que a braquiária deve ser bem manejada, para que não exerça competição com o cafeeiro e possa trazer prejuízos a produtividade da cultura.
Estar por dentro das tendências, novidades e conhecimentos técnicos do mercado agrícola cafeeiro, é o que pode te diferenciar entre os profissionais da área.
Aquele que busca se destacar e criar carreira na cafeicultura, precisa estar se atualizando constantemente, afinal, o Agro não para e está cada vez mais exigente.
Com o curso Gestão na Produção de Café, isso é possível! Professores atuantes em campo, vão te passar por meio de dados reais, atuais e validados, as técnicas para atingir a excelência de produção. Domine as principais técnicas e destaque-se no mercado cafeeiro!

O post Braquiária na entrelinha do cafeeiro: um guia com os benefícios e como manejar apareceu primeiro em Rehagro Blog.
]]>O post Análises financeiras e econômicas na cafeicultura apareceu primeiro em Rehagro Blog.
]]>
Em 16/06/2020, fizemos a transmissão de um Webinar sobre análises financeiras e econômicas na cafeicultura. O palestrante foi Fábio Santos, Engenheiro Agrônomo formado pela UFLA e Consultor do Núcleo Gestão do Rehagro.
O tema ainda é extremamente relevante no ramo e diversos profissionais buscam aumentar seus conhecimentos sobre o assunto.
Se você é um deles, não perca a chance de assistir ao nosso debate de ideias! Trata-se de uma palestra gratuita feita por nós, Grupo Rehagro, em parceria com o 3RLab.
Se tiver dúvidas ou ressalvas, deixe seu comentário registrado. Nossa equipe técnica irá respondê-lo.
Clique no botão abaixo e participe dessa incrível experiência do agronegócio!
O post Análises financeiras e econômicas na cafeicultura apareceu primeiro em Rehagro Blog.
]]>O post Cultivares de café: conheça as características e como escolher apareceu primeiro em Rehagro Blog.
]]>Mas a escolha de qual cultivar plantar vai muito além das cores e deve levar em conta uma série de critérios, que irão impactar sua produtividade e qualidade!
Por ser uma cultura perene, o cafeeiro permanecerá por muitos anos no campo. Assim, deve ser feita uma escolha cuidadosa, seguida por um preparo de solo adequado para realização da implantação.
Alguns pontos a serem considerados são:
Sem tempo para ler agora? Baixe este artigo em PDF!
Veja a seguir, as principais características de cada uma delas.

(Foto: Luiz Paulo Vilela).
Mundo Novo é uma cultivar muito plantada, proveniente de um provável cruzamento entre Sumatra e Bourbon Vermelho, as linhagens mais plantadas dessa cultivar são: 376-4 e 379-19.
De porte alto, maturação de média a precoce, essa cultivar apresenta ótimo vigor e longevidade, bom sistema radicular e alta brotação secundária, respondendo bem as podas.

Cultivar Mundo Novo. (Foto: Luiz Paulo Vilela).

Cultivar Mundo Novo 379-19. (Foto: Daniel Veiga).
Proveniente entre um cruzamento artificial entre Caturra e Mundo Novo, as linhagens mais plantadas de Catuaí são o 144 e 99 com frutos vermelhos e as linhagens 62 e 32 com frutos de coloração amarela.
Essa cultivar apresenta porte baixo, o que resulta em facilidade na colheita e nos tratos fitossanitários, bom vigor vegetativo, bom sistema radicular, alta longevidade e sua maturação é tardia. Essa cultivar exibe maior tolerância à ferrugem se comparadas à cultivar Mundo Novo. Atualmente essa cultivar é muito plantada.

Cultivar Catuaí 62. (Foto: Luiz Paulo Vilela).

Cultivar Catuaí 144. (Foto: Luiz Paulo Vilela).
É uma seleção do Mundo Novo, possui os frutos maiores, com bom desenvolvimento vegetativo mesmo em solos menos férteis, a linhagem mais indicada é Acaiá Cerrado MG 1474.
Essa cultivar é de porte alto, maturação média, com frutos graúdos de coloração vermelha, além disso essa cultivar é muito boa para colheita mecanizada.
Proveniente de um possível cruzamento natural entre Catuaí e Icatú, essa cultivar apresenta bom vigor. Seu porte é de médio a baixo e pode apresentar frutos vermelhos ou amarelos.
O Catucaí 2 SL é bem plantado, sendo altamente produtivo, no entanto, é muito exigente em nutrição, não tolera atrasos nos tratamentos nutricionais e também sanitários, dessa forma, pode depauperar facilmente.

Cultivar Catucaí 2SL, 1ª safra. (Foto: Luiz Paulo Vilela).

Cultivar Catucaí. (Foto: Diego Baquião).

Cultivar Catucaí. (Foto: Luiz Paulo Vilela).
Cruzamento por sucessivas gerações de Catuaí x Mundo Novo, a cultivar Topázio possui porte baixo, com boa produtividade e bom vigor vegetativo, não exibindo depauperamento precoce após elevadas produtividades.
Tem-se notado melhor resistência a condições de déficit hídrico e uniformidade de maturação dos frutos. Essa cultivar possui frutos amarelos, sendo os mais plantados Topázio MG 1189 e 1184.
De porte médio a alto, essa cultivar possui frutos vermelhos ou amarelo, com excelente qualidade de bebida, dessa forma, ela é sempre lembrada e preferida por quem busca cafés de qualidade.
No entanto, ela não é uma cultivar muito rústica, se depauperando muito fácil dependendo do manejo e além disso, é altamente suscetível a ferrugem, por isso deve-se ter atenção em seus tratos culturais. Sua maturação é super precoce, fato importante para o escalonamento da colheita nas propriedades.

Bourbon amarelo. (Foto: Rehagro).
Essa cultivar é derivada do cruzamento da cultivar Villa Sarchi com o Híbrido de Timor, apresentando porte baixo, seus frutos são graúdos e podem ser de cor vermelha ou amarela, com maturação mais tardia.
Essa cultivar é resultado do cruzamento entre Mundo Novo e Sarchimor, apresentando elevado vigor, sua planta apresenta porte baixo, frutos vermelhos e seu ciclo de maturação é de médio a tardio. Ela também apresenta resistência à seca e elevada produtividade.

Cultivar Acauã novo. (Foto: Vinicius Teixeira).

Cultivar Acauã novo. (Foto: Vinicius Teixeira).
Originada de um cruzamento entre Catimor e Acaiá, essa cultivar apresenta elevada produtividade, principalmente durante as três primeiras produções, mas devido a isso, é bem exigente em nutrição. Sua maturação é tardia com frutos vermelhos.
Proveniente de uma hibridação entre Catuaí amarelo e híbrido de Timor, a cultivar Paraíso apresenta porte baixo, frutos de coloração amarelo e é resistente à ferrugem, causada pelo fungo Hemileia vastatrix. Essa cultivar apresenta boa capacidade produtiva e maturação intermediária.
Originado por cruzamento natural entre Obatã e, provavelmente, com Icatu ou Catuaí amarelo, essa cultivar possui bom vigor, resistência à ferrugem e porte baixo. Seus frutos são amarelos e sua maturação é tardia.

1ª safra de Arara. (Foto: Luiz Paulo Vilela).
Proveniente de um cruzamento artificial entre cafeeiro da cultivar Catuaí Amarelo e uma planta Híbrido de Timor, essa cultivar apresenta porte baixo, alto vigor vegetativo e maturação intermediária.
Ela também possui resistência à ferrugem e ao nematoide das galhas da espécie Meloidogyne exígua.
Aquela que atende o objetivo que você escolher naquele momento!
Deve ir de acordo com o perfil do produtor, as condições de manejo, os tratos culturais, a estrutura de pós-colheita e as condições climáticas.
Pronto para decidir qual delas utilizar? Conta pra gente!
A cafeicultura é oscilante, mas nos últimos tempos, as safras têm ganhado cada vez mais destaque e valorização. Aquele que se prepara, produz mais, lucra mais e já consegue planejar os próximos passos para que a próxima safra seja ainda mais produtiva.
Se você busca esse resultado, comece se atualizando com as novas técnicas de mercado.
No curso online Gestão na Produção de Café, você aprenderá com quem entende do assunto, pois os professores atuam em fazendas comerciais e passarão o conhecimento a você. Não perca mais tempo e tire suas dúvidas:

O post Cultivares de café: conheça as características e como escolher apareceu primeiro em Rehagro Blog.
]]>O post Poda do cafeeiro: a época pode interferir no crescimento e na produção? apareceu primeiro em Rehagro Blog.
]]>Após a colheita, o produtor deve se preocupar com a realização de um pós-colheita de qualidade e chega a hora da realização da poda que deve ser planejada com antecedência.
E é importante lembrar que, como em toda etapa do processo produtivo, há uma época própria para garantir sua eficiência máxima.
Sem tempo para ler agora? Baixe este artigo em PDF!

Lavoura decotada. (Foto: Diego Baquião).
Estudos realizados por Matiello et al. (2008) concluíram que a poda do tipo esqueletamento juntamente com a realização do decote em cafeeiros do cultivar Mundo Novo 379/19, quando realizada mais cedo, nos meses de julho e agosto, apresentaram recuperação mais rápida nas brotações e produções iniciais mais altas, como mostra a Tabela 1.

Tabela.1 Produtividades, em sacas/ha, na primeira safra, em cafeeiros esqueletados e decotados em diferentes épocas, no ensaio em Varginha-MG, 2008. Adaptado: PROCAFÉ, 2008.
A foto abaixo mostra o crescimento dos ramos plagiotrópicos em diferentes meses de poda, de julho à dezembro, dessa forma evidenciando o maior desenvolvimento daqueles ramos em que a poda foi realizada mais cedo.

Ramos Plagiotrópicos em diferentes meses de poda. Fonte: GARCIA, A.L.A.
Da mesma forma, Pereira et al. (2007) realizaram um estudo com a poda tipo recepa comparando duas épocas de poda, uma feita logo após a colheita (julho 2002) e outra poda tardia, em janeiro de 2003.
Concluíram que a melhor época de poda de se podar o cafeeiro é logo após a colheita, isso porque a estação chuvosa propicia melhores condições de recuperação da planta.
Dessa forma, esse tipo de poda após a colheita faz com que após dois anos o cafeeiro já apresente capacidade vegetativa de produção.

Tabela.2 Comprimento e diâmetro do broto, diâmetro da saia e número de plagiotrópicos de cafeeiros, em julho de 2004, em função de duas épocas de poda.
*As médias seguidas pela mesma letra na coluna não diferem-se significativamente entre si pelo teste Scott-Knott a 5% de probabilidade.

Lavora recepada, do cultivar Catucaí. (Foto: Henio Inácio).
Para a poda tipo decote, Santinato (2012) realizou um estudo comparando épocas para realização de podas do tipo decote, nos meses de agosto, setembro, outubro e novembro, sendo avaliada a poda em três anos (2010, 2011 e 2012).
Na primeira safra após a poda, a época mais indicada para poda foi o mês de agosto e setembro. A poda tardia, nos meses de outubro e novembro, proporciona redução da produção na primeira safra, mas de acordo com o estudo, essa produção foi recuperada na segunda safra para a poda no mês de outubro e na terceira safra para o mês de novembro.

Tabela.3 Produção em função da época de poda por decote em cafezal nas condições de clima e solo na região dos cerrados de Araguari,MG.
* Tratamentos seguidos das mesmas letras nas colunas não diferem entre si pelo teste de Ducan a 5% de probabilidade.

Lavoura do cultivar Mundo Novo, decotada com altura de 1,80 m (Foto: Diego Baquião).
Por isso a época de poda pode interferir no crescimento e produção do cafeeiro, principalmente em podas mais drásticas como é o caso da recepa e esqueletamento, isso porque a planta irá possuir mais tempo para vegetar novamente, dessa forma apresentando maiores produtividades na primeira safra.
Já no caso de poda do tipo decote, poda menos drástica, a primeira produção também é afetada pela poda mais tardia, no entanto, essa produção média pode ser recuperada nas safras seguintes.
Apesar disso, a poda (decote) tardia acarreta em atraso econômico a curto prazo, devido a redução da produção das primeiras safras. Portanto, é recomendado a realização da poda o quanto antes, para que a planta apresente maior crescimento vegetativo para produzir e não comprometer as próximas safras.
A decisão de realização da poda varia de acordo com a situação da lavoura, como a presença ou ausência de saia, adensamento, falhas, ocorrência de geadas, stand de plantas, entre outros fatores.
Após a decisão de podar a lavoura, além da escolha do tipo de poda a ser realizado, é importante ter atenção a época da sua realização, pois ela pode afetar o desenvolvimento da planta e consequentemente a produtividade das próximas safras, isso porque, a lavoura podada mais cedo tem mais tempo para vegetar.
O planejamento é chave no sucesso da produção do café!
Planeje sua poda com antecedência, conheça os tipos, qual deles é o mais recomendado para a lavoura naquele momento e tome a melhor decisão para beneficiar sua produtividade!
Estar de acordo com as novas técnicas de mercado é de suma importância para quem deseja produzir cafés com excelência.
Desde a implantação da lavoura, gestão de equipe na fazenda, manejos como a fertilidade e proteção, ou mesmo as fases finais de colheita e pós-colheita, é preciso ter domínio e segurança, caso queira obter sucesso.
Por isso, no Rehagro há o curso online Gestão em Produção de Café, onde professores atuantes em campo, ensinam de forma prática, atualizada e validada essas técnicas.
Clique abaixo e conheça um pouco mais sobre esse curso:

O post Poda do cafeeiro: a época pode interferir no crescimento e na produção? apareceu primeiro em Rehagro Blog.
]]>O post Classificação física do café: o que é e como realizar? apareceu primeiro em Rehagro Blog.
]]>Os seus critérios se baseiam na Instrução normativa nº 8, de 11 de junho de 2003, do Ministro de Estado da Agricultura, Pecuária e Abastecimento, que tem objetivo de especificar os aspectos de identidade e de qualidade do Café Beneficiado Grão Cru.
O café pode ser classificado por categoria, subcategoria, grupo, subgrupo, classe e tipo, de acordo a espécie, formato do grão e a granulometria, o aroma e o sabor, a bebida, a cor e a qualidade, de acordo com a Instrução normativa nº 8. No entanto, a principal finalidade da classificação física é obter a tipificação.
A tipificação é uma forma de categorizar o café a partir da quantificação de seus defeitos extrínsecos e intrínsecos. Esses defeitos são contabilizados de acordo sua gravidade, por meio de equivalência.
Sem tempo para ler agora? Baixe este artigo em PDF!
Os defeitos extrínsecos são os defeitos externos ao grão de café, como: pau, pedra, torrão, casca, e qualquer matéria estranha ou impureza que estiverem juntos ao grão de café. Normalmente, são oriundos da falta de limpeza e por problemas no beneficiamento.
A classificação das cascas, paus, pedras e torrões, como grandes, regulares, ou pequenos, pode ser feita com o grão de café como referência, dessa forma, se possuírem tamanho superior ao grão são considerados grandes, e tamanho inferior, pequenos. Cafés com mais de 1% de impurezas e matérias estranhas são proibidos de serem comercializados, até que ocorra o seu rebeneficiamento.

Tabela de defeitos extrínsecos (Coffea arábica L.), segundo INº 08.
Já os defeitos intrínsecos são os defeitos contidos no grão de café, que geralmente são oriundos de sua produção, processamento, armazenamento, de modificações fisiológicas e genéticas, e na maioria das vezes pela ação de microrganismos, pragas e doenças, ou outros fatores que trarão danos diretos ao grão de café. Dentre estes defeitos, destacam-se, grão preto, grão ardido, grão preto verde, concha, mal granado, verde, quebrado.
É importante ressaltar que quando em um grão for visto dois ou mais defeitos, deve-se classificá-lo de acordo com a maior equivalência do defeito.
Tabela de defeitos intrínsecos (Coffea arábica L.), segundo INº 08.
Segundo a Instrução Normativa n° 8, é necessário cumprir etapas para chegar na tipificação do café, como:

Tabela de tipificação de cafés (Coffea arábica L.), segundo INº 08.
A tabela demonstra a equivalência do número de defeitos contabilizados ao final da classificação. Ela determina, assim, o seu tipo de acordo com a pontuação da amostra analisada. Onde o tipo 2 é o tipo com o menor número de defeitos, apresentando de 4 a 11 defeitos, e o 8 com o maior número de defeitos, podendo apresentar até 360 defeitos.
A tipificação é um ponto crucial para a exportação e comercialização do café, onde cafés com tipo acima de 8 são considerados fora de tipo e impedidos de serem comercializados, necessitando assim, realizar o rebeneficiamento.
A cafeicultura é oscilante, mas nos últimos tempos, as safras têm ganhado cada vez mais destaque e valorização. Aquele que se prepara, produz mais, lucra mais e já consegue planejar os próximos passos para que a próxima safra seja ainda mais produtiva.
Se você busca esse resultado, comece se atualizando com as novas técnicas de mercado.
No curso online Gestão na Produção de Café, você aprenderá com quem entende do assunto, pois os professores atuam em fazendas comerciais e passarão o conhecimento a você. Não perca mais tempo e tire suas dúvidas:


O post Classificação física do café: o que é e como realizar? apareceu primeiro em Rehagro Blog.
]]>O post Mancha anular do cafeeiro: sintomas, principais danos e como controlar apareceu primeiro em Rehagro Blog.
]]>Esse ácaro também é conhecido como uma séria praga na cultura dos citros, recebendo o nome vulgar de ácaro-da-leprose, por ser transmissor do vírus que causa essa doença.
Dessa forma, Brevipalpus phoenicis é uma praga polífaga, não infestando apenas a cultura do café.
Sem tempo para ler agora? Baixe este artigo em PDF!
As fêmeas medem cerca de 0,30 mm de comprimento e 0,18 mm de largura, com manchas escuras no dorso. Os machos são semelhantes às fêmeas, no entanto, não apresentam as manchas escuras sobre o corpo.
Nas folhas do cafeeiro os ácaros localizam-se na parte inferior, próximos às nervuras, principalmente a central. Já nos frutos, os ácaros e seus ovos são encontrados preferencialmente na coroa e no pedúnculo, e também em fendas ou lesões com aspecto de cortiça na casca dos frutos (REIS, 2000).
O ciclo de vida de B. phoenicis é constituído pelas fases de ovo, larva, protoninfa, deutoninfa e adulto, e pode durar cerca de 18 dias, dependendo das condições climáticas.
Os sintomas da mancha anular podem aparecer em folhas e frutos do cafeeiro.
Nas folhas, são observadas manchas cloróticas, que tomam a forma de anel, podendo coalescer, abrangendo grande parte do limbo.
Nos frutos, os sintomas são manchas amareladas em forma de anéis ou irregularidades deprimidas.

Folhas de cafeeiro com sintomas do vírus inoculado pelo ácaro da mancha anular (Foto: Luiz Paulo Vilela)
Frutos de cafeeiro com sintomas do vírus inoculado pelo ácaro da mancha anular (Foto: Luiz Paulo Vilela)
A incidência do ácaro da leprose pode acarretar em intensa desfolha, reduzindo significativamente a fotossíntese das plantas, dessa forma, podendo afetar na produtividade do cafeeiro.
Pelo fato do ataque do ácaro se concentrar mais na parte interna da planta, com uma desfolha de dentro para fora do cafeeiro, denomina-se “planta-oca”.
Também pode ocorrer queda acentuada de frutos, acarretando em aumento do café de varrição e interferência na qualidade da bebida.
Além disso, é importante destacar que após o ataque do ácaro os frutos ficam dispostos a entrada de microrganismos, como por exemplo:
Ou mesmo, a raspagem feita pelo ácaro nas folhas, podem facilitar a entrada de doenças no cafeeiro.
Após detectada a incidência do vírus da mancha anular nas lavouras, recomenda-se o controle do ácaro, visto que, esse inseto é o vetor do vírus, e na sua ausência não há a transmissão da doença.
O controle pode ser feito através da utilização dos ingredientes ativos: Hexythiazox, Espirodiclofeno e Propargito, pertencente aos grupos químicos: tiazolidinacarboxamida, cetoenol e sulfito de alquila, que são registrados para o ácaro da mancha anular na cultura do café.
Podem ser utilizados também outros acaricidas registrados para o controle desse inseto vetor, salientando a importância de se rotacionar o modo de ação dos inseticidas utilizados, com o intuito de evitar a ocorrência de resistência.
Para a pulverização, é recomendado a utilização de um maior volume de calda, a partir de 600 L/ha, de acordo com o porte e enfolhamento das plantas. Também, recomenda-se andar com menor velocidade no trator a fim de que a calda atinja o interior das plantas. Sendo recomendada pelo menos duas aplicações para o controle do ácaro.
Além disso, é importante o uso racional de inseticidas que possam afetar a população de ácaros predadores, visando evitar desequilíbrios nas populações.
A cafeicultura é oscilante, mas nos últimos tempos, as safras têm ganhado cada vez mais destaque e valorização. Aquele que se prepara, produz mais, lucra mais e já consegue planejar os próximos passos para que a próxima safra seja ainda mais produtiva.
Se você busca esse resultado, comece se atualizando com as novas técnicas de mercado.
No curso online Gestão na Produção de Café, você aprenderá com quem entende do assunto, pois os professores atuam em fazendas comerciais e passarão o conhecimento a você.
O post Mancha anular do cafeeiro: sintomas, principais danos e como controlar apareceu primeiro em Rehagro Blog.
]]>O post Preparo do solo para implantação de lavouras de café: saiba as principais operações apareceu primeiro em Rehagro Blog.
]]>Nesse momento, é crucial realizar o preparo adequado do solo, para proporcionar boas condições para o crescimento das raízes das plantas, promovendo maior volume de solo explorado para absorção de água e nutrientes.
Para isso, contamos com as operações de:
Conheça um pouco mais sobre elas!
A principal função dos arados é propiciar ao solo melhores condições de aeração, infiltração e armazenamento de água. A aração do solo faz a inversão de suas camadas, normalmente realizada na profundidade de 20 cm. Em áreas que é necessário a correção do solo com calcário, é feito uma aração em área total entre as aplicações, utilizada para incorporação de corretivos ou material orgânico com o solo.
Quando se possui uma compactação em camadas abaixo de 20 cm, é recomendado a utilização do subsolador, que rompe camadas compactadas presentes principalmente nas camadas inferiores. Trata-se de um implemento robusto que demanda grande força de tração.

Subsolador (Foto: Luiz Paulo Vilela)
Após a aração ou subsolagem, ocorre a formação de torrão no solo. Para o destorroamento e nivelamento, é utilizada a gradagem, na qual o perfil de solo revolvido é superficial, cerca de 10 a 15 cm. O cuidado a ser tomado nessa operação é de não entrar na área com solo úmido, para evitar o “pé de grade”, que é uma camada com 5 cm ou mais de espessura endurecida ou compactada com baixa capacidade de infiltração de água no solo, causando erosão laminar.

Grade (Foto: Flávio Moraes).
Alguns técnicos optam pela sequência: subsolador, grade, niveladora e sulcador. O subsolador é usado para a descompactação de camadas inferiores. Quando possível, sua realização em camadas mais profundas pode trazer grandes benefícios, uma vez que o sistema radicular do cafeeiro pode atingir grandes profundidades.
É importante destacar que deve-se ter o cuidado na época de realização dessas práticas, uma vez que, dependendo das condições de chuva, elas podem facilitar a ocorrência de erosões hídricas.
Após a descompactação do solo e incorporação de corretivos e/ou material orgânico na área, é momento de realizar a abertura do sulco de plantio. Essa operação é feita com o sulcador, e é nesse momento que podemos adicionar calcário complementar, material orgânico e fertilizantes que vão ficar próximos às raízes da lavoura.
A orientação dos sulcos, após a decisão de espaçamento entre linhas, deve ser bem planejada, de forma que futuramente no manejo da lavoura se tenha o menor número de manobras possíveis de maquinários, desde adubação, tratamentos fitossanitários até a colheita, e, de preferência, em nível para evitar com que ocorra carreamento do solo do colo da planta após o plantio. Esta prática deve ser alinhada de maneira que as linhas fiquem paralelas com a mesma distância. Para isso ser feito, devemos utilizar ferramentas, como a barra na frente do trator (podendo ser feita com bambu), que demonstra a distância entre as linhas ou podem ser utilizadas ferramentas como o GPS.
Atenção!
Use bem essa oportunidade de realizar o preparo adequado do solo antes do seu plantio. Ele é a base para proporcionar melhores condições para o desenvolvimento radicular do cafeeiro, o que faz toda a diferença para a produtividade da lavoura!
E, depois da implantação, é importante ficar de olho na situação deste solo! Aprenda a fazer uma amostragem de solo adequada para a realização de sua análise. Os resultados permitirão a elaboração de estratégias de adubação racional.
Sucesso na produção!
Estar de acordo com as novas técnicas de mercado é de suma importância para quem deseja produzir cafés com excelência.
Desde a implantação da lavoura, gestão de equipe na fazenda, manejos como a fertilidade e proteção, ou mesmo as fases finais de colheita e pós-colheita, é preciso ter domínio e segurança, caso queira obter sucesso.
Por isso, no Rehagro há o curso online Gestão na Produção de Café, onde professores atuantes em campo, ensinam de forma prática, atualizada e validada essas técnicas. Clique abaixo e conheça um pouco mais sobre esse curso:

![]()
O post Preparo do solo para implantação de lavouras de café: saiba as principais operações apareceu primeiro em Rehagro Blog.
]]>O post Defeitos dos grãos de café e as principais causas apareceu primeiro em Rehagro Blog.
]]>Diversos fatores podem causar esses defeitos, como:
Todos esses são fatores que interferem diretamente no tipo do café, e consequentemente, na sua precificação.
A identificação e conhecimento da origem dos defeitos nos possibilita aprimorar o nosso manejo de lavoura ou o manejo na pós-colheita do café, visando evitar a ocorrência desses defeitos, que depreciam o café.
Sem tempo para ler agora? Baixe este artigo em PDF!
Nesse texto vamos abordar os principais defeitos encontrados em um lote de café beneficiado bica corrida, para isso devemos entender primeiro como é feita a classificação desse lote.
Na classificação física do lote é recomendado pela INSTRUÇÃO NORMATIVA Nº 8, DE 11 DE JUNHO DE 2003 uma amostra de trabalho de 300 g homogênea.
Deve-se separar os defeitos dessa amostra. Com os defeitos separados, a categorização do lote pode ser dado em catação, que é a pesagem de todos os defeitos e convertido em porcentagem (exemplo: uma amostra de 300 g foi pesado 30 g de defeitos, logo a amostra possui 10% de catação), esta classificação para o produtor não é satisfatória para a correção de seu manejo, pois falta a descrição de que tipos de defeitos apresenta em seu café.
Outra classificação é por meio da equivalência de defeitos, em que se separa todos os defeitos encontrados e os quantifica, e cada defeito apresenta uma equivalência como apresentado na tabela a seguir. Esta classificação pode ser usada para observar qual o defeito mais prejudica o lote de café e assim buscar alternativas para solução do problema.

Classificação do Café Beneficiado Grão Cru quanto à equivalência de defeitos (intrínsecos)
Sobre os defeitos e sua origem nos lotes de cafés, podemos dividir em dois grupos, os defeitos intrínsecos, que são defeitos que ocorrem nos grãos de café, e defeitos extrínsecos, que não ocorrem nos grãos de café e podem ser encontrados na amostra.
Grãos que não completaram o amadurecimento e apresentam a película prateada ainda aderida, com coloração verde em tons diversos.

Grão verde.
A causa dos grãos verdes é colheita prematura do fruto e no processo de secagem podemos apresentar mais um tipo de defeito que é causado pela secagem intensa e com alta temperatura, que é o grão Preto Verde, que diferente do defeito grão preto se apresenta brilhante por ainda ter a película prateada aderida, e deve ser considerado como defeito ardido.

Grão preto verde.
Grãos que por meio de alguma fermentação apresenta a coloração marrom, em diversos tons.

Grão ardido.
O grão ardido está como o segundo pior defeito a ser encontrado em um lote, ele pode ser resultado de fermentações de microrganismos que pode ocorrer na lavoura ou na falta de revolvimento na secagem, terreiros com fendas ou buracos onde podem ficar alguns grãos é comum encontrar grãos como esse.
Grão com coloração preta opaca, categorizado como o pior defeito a ser encontrado no lote de café.

Grão preto.
Se origina da permanência do fruto na planta por muito tempo, ou grãos que estavam em contato com o solo afetando seu aspecto, são grãos em apodrecimento.
Grão danificado pela broca do café ainda na lavoura, podendo ser dividido em brocado limpo, brocado rendado e brocado sujo.

Grão brocado.
A diferença entre esses três tipos de brocado é que o brocado limpo é aquele que apresenta até três furos sem partes pretas no grão, o brocado rendado apresenta três ou mais furos sem partes pretas no grão, e o brocado sujo é aquele grão que apresenta parte pretas ou azuladas junto aos furos da broca do café.
A equivalência do grão brocado varia de 2 a 5, de acordo com a classificação entre os 3 tipos.
O grão mal formado é um grão com formação incompleta apresentando-se com pouca massa e, às vezes, com a superfície enrugada. Já o grão cabeça é composto por dois grãos imbricados, oriundos da fecundação de dois óvulos em uma única loja do ovário, neste caso, ele não será considerado defeito, a menos que se separe, dando origem à concha e ao miolo de concha.

Grão mal formado.
O grão concha e miolo de concha é resultante da separação de grãos imbricados ou grão cabeça.

Grão concha e miolo de concha.
O grão concha é considerado um defeito com equivalência de 3:1, enquanto o miolo de concha é categorizado junto com os grãos quebrados.
Os grãos esmagados ocorrem principalmente quando o grão possui alta umidade, e é ocasionado por esmagamento de maquinários.
Já os grãos quebrados são mais comuns de ser encontrados quando o grão está com baixa umidade (abaixo de 10 % de umidade), pois ficam mais quebradiços, principalmente no beneficiamento.
A regulagem e dimensionamento adequados de equipamentos como descascadores e desmuciladores na via úmida e máquinas de beneficiamento podem evitar a quantidade desse defeito encontrado na amostra.

Grão quebrado.
Além dos defeitos apresentados podemos encontrar defeitos extrínsecos na amostra, que são aqueles que não são grãos de café, estes possuem uma penalidade maior na amostra como mostra a tabela 2, sua equivalência é de acordo com o tamanho do defeito encontrado e todos eles podem ser evitados pela regulagem adequada dos equipamentos.

Classificação do Café Beneficiado Grão Cru quanto à equivalência de impurezas (extrínsecos).
É o grão que não teve sua casca retirada no beneficiamento.

Defeito coco.
Grão que, no benefício, o pergaminho não foi total ou foi parcialmente retirado.

Defeito Marinheiro.
Impurezas e outros detritos que contaminam o lote.

Defeito pau, pedra e materiais estranhos.
Fragmento de casca seca do fruto do cafeeiro, de diversos tamanhos.

Defeito casca.
É importante ficar atento à ocorrência de pragas, como a Broca do Café, que favorece a ocorrência desses defeitos, que geram muitos prejuízos financeiros.
Além disso, fique de olho nas doenças como a Ferrugem, Mancha aureolada e a Cercosporiose, que também comprometem a produtividade e, consequentemente, a qualidade do café produzido, reduzindo a lucratividade da fazenda.
Estar por dentro das tendências, novidades e conhecimentos técnicos do mercado agrícola cafeeiro, é o que pode te diferenciar entre os profissionais da área.
Aquele que busca se destacar e criar carreira na cafeicultura, precisa estar se atualizando constantemente, afinal, o Agro não para e está cada vez mais exigente.
Com o curso Gestão na Produção de Café, isso é possível! Professores atuantes em campo, vão te passar por meio de dados reais, atuais e validados, as técnicas para atingir a excelência de produção. Domine as principais técnicas e destaque-se no mercado cafeeiro!

O post Defeitos dos grãos de café e as principais causas apareceu primeiro em Rehagro Blog.
]]>O post Cercosporiose do café: principais sintomas e como realizar o controle apareceu primeiro em Rehagro Blog.
]]>Essa doença pode atacar desde mudas no viveiro causando intensa desfolha, afetando o crescimento e desenvolvimento das plantas, ou mesmo lavouras adultas, que além da queda de folhas pode proporcionar queda de frutos.
Por isso, a falta de um manejo adequado e sob condições favoráveis para o desenvolvimento dessa doença, pode resultar em grandes perdas na produção.
Cercosporiose em frutos de café. (Foto: Rehagro).
Sem tempo para ler agora? Baixe este artigo em PDF!
A disseminação do fungo é feita pelo vento, água ou insetos, que após atingir a planta e com condições favoráveis de molhamento foliar e temperatura, ocorre a germinação e penetração do tubo germinativo, que penetra através da cutícula ou por aberturas naturais.
A temperatura ótima tanto para a germinação máxima quanto para o crescimento do fungo é de 24°C. Após a infecção, o fungo produz conídios e o ciclo de se reinicia.
Esquema do ciclo da Cercospora coffeicola no café. (Fonte: Rehagro).
As variáveis ambientais apresentam grande influência na relação patógeno hospedeiro, dentre elas, a exposição ao sol, molhamento foliar e temperatura.
A incidência de cercosporiose é maior na face das plantas voltada para o lado norte, que apresenta maior exposição ao sol, devido a toxina cercosporina que é produzida e ativada pela presença de luz, e causa danos à membrana celular do hospedeiro.
Figura 3. Incidência em porcentagem da cercosporiose (Cercospora coffeicola) em frutos de café (Coffea arabica) localizados no terço mediano da planta, em cada face de exposição (norte e sul), em lavoura irrigada por pivô central. UFLA, Lavras, MG, 2011.
De forma similar, Salgado et al. (2007) mostrou que a incidência de cercosporiose foi mais elevada nos cafeeiros a pleno sol, decrescendo para cafeeiros com grevílea e cafeeiros com ingazeiro, conforme é mostrado na tabela abaixo.
Valores médios de área abaixo da curva de progresso da doença (AACPD) cercosporiose em cafeeiro, em função de diferentes sistemas de cultivo.
O molhamento foliar é um fator indispensável pois influencia na germinação, infecção e esporulação dos fungos, dessa forma, sendo mais favoráveis as condições com maior período de molhamento foliar, assim como a temperatura também influencia na incidência dessa doença.
Silva em 2014, observou o progresso de incidência da Cercosporiose do cafeeiro, em diversas horas de molhamento foliar e verificou que o maior progresso da doença foi observado com temperatura de 25°C no tratamento de 72 horas de molhamento foliar (Marcado em vermelho).
Curva de progresso da incidência da cercosporiose do cafeeiro. UFLA, Lavras, MG, 2014.
Além dessas variáveis, o desequilíbrio nutricional também apresenta grande influência na cercosporiose, nesse sentido, podemos citar principalmente nutrientes como potássio e cálcio.
Isso tem sido observado no campo, em que situações com altos teores de potássio e baixos teores de cálcio favorecem a ocorrência de Cercospora, isso ocorre, pois, altos níveis de potássio afetam a absorção de cálcio. Da mesma forma, estudos com esses dois nutrientes e a incidência de cercosporiose são mostrados abaixo.
Garcia Junior em 2003, realizou um trabalho com diferentes níveis de cálcio e de potássio, concluiu que, a menor área abaixo da curva de progresso da incidência (AACPI) foi obtida com a dose 4 mmol/L de potássio (K).
Após essa dose, o acréscimo de potássio resulta em maior incidência de Cercospora, isso porque, maiores doses de K competem pelo mesmo sítio de absorção do cálcio, tornando as mudas debilitadas em cálcio.
Área abaixo da curva de progresso da incidência (AACPI) de Cercospora coffeicola em cafeeiro (Coffea arabica) em função de doses de potássio.
Com o aumento das doses de cálcio resultou em menor área abaixo da curva de progresso da incidência de Cerscospora (AACPI), devido à presença desse cátion no tecido foliar associado a níveis ideais de potássio inibir a ação de enzimas pectolíticas, produzidas por muitos parasitas de etiologia fúngica.
Essas enzimas possuem o objetivo de dissolver a lamela média da parede celular (Marschner, 1995), por isso, o cálcio tem grande importância na constituição da parede celular e na integridade dos tecidos.
Área abaixo da curva de progresso de incidência (AACPI) de Cercospora coffeicola em cafeeiro (Coffea arabica) em função das doses de cálcio em solução nutritiva.
Outro nutriente que merece atenção, é o boro, que de acordo com alguns autores, plantas deficientes desse nutriente se tornam enfraquecidas, apresentando menor barreira mecânica, favorecendo a infecção por patógenos. É observado, no campo, que plantas mais debilitadas, com deficiência de boro, podem sofrer com maior incidência de cercosporiose.
Por isso, destaca-se a importância de um fornecimento adequado dos nutrientes, de acordo com as necessidades das plantas. Pois esse manejo equilibrado, pode reduzir a incidência da doença.
Também, outras situações que podem afetar a severidade da doença são:
A cercosporiose pode atacar tanto folhas quanto frutos em desenvolvimento. Nas folhas os sintomas característicos são manchas circulares de coloração castanho clara a escura, com o centro branco-acinzentado, quase sempre envolvidas por um halo amarelado.
Sintoma de Cercosporiose nas folhas. (Foto: Larissa Cocato).
Sintoma de Cercosporiose nas folhas. (Foto: Larissa Cocato).
Nos frutos, os sintomas são pequenas manchas necróticas e deprimidas, de cor marrom a negra, estendendo-se no sentido dos polos do fruto.
Sintoma de Cercosporiose nos frutos. (Foto: Larissa Cocato).
Incidência de Cercosporiose em cafeeiro. (Foto: Larissa Cocato).
A Cercosporiose pode causar queda de folhas, devido a ação do etileno, reduzindo assim o desenvolvimento da planta e podendo afetar a produtividade.
Os frutos apresentam processo de maturação acelerada, dessa forma resultando em mal granados ou mesmo queda precoce dos frutos em vários estádios de crescimento, podendo resultar em fermentações indesejadas.
Além disso, a qualidade da bebida também pode ser afetada, uma vez que, com o aumento de frutos infectados pela Cercospora, há um aumento da porcentagem de polifenóis, que exercem ação protetora antioxidante de aldeídos e participam nos mecanismos de defesa da planta mediante injúrias (Amorim, 1978).
A concentração de compostos fenólicos é inversamente proporcional a qualidade de bebida, por isso, sob condições adversas dos grãos a enzima polifenoloxidase age sobre os polifenóis diminuindo assim sua ação antioxidante e facilitando a oxidação com interferência no sabor e aroma do café após a torração.
Polifenóis, em função de diferentes proporções de frutos de café infectados por Cercospora coffeicola
Como medidas gerais de controle é importante evitar as deficiências e desequilíbrios nutricionais, visto que a nutrição tem grande influência na incidência dessa doença.
Dessa forma, um planejamento adequado e equilibrado das adubações e um acompanhamento das análises foliares torna-se essencial. Estando sempre atento a relação dos nutrientes, principalmente cálcio e potássio.
Também, um fornecimento adequado de matéria orgânica, tanto na preparação de mudas no viveiro, como no campo, com o intuito de proporcionar melhores condições nutricionais. No plantio, além de evitar plantios tardios, é importante que seja feita uma boa preparação do solo, a fim de evitar a compactação do mesmo, para que não afete na absorção de nutrientes pelas raízes.
Além disso, alguns estudos sugerem a utilização de silício no controle da cercosporiose, os mecanismos pelos quais o silício pode conferir resistência a determinada doença podem ser por acúmulo do elemento na parede das células da epiderme e cutícula, acúmulo no local de penetração do patógeno (barreiras naturais), ou ativação das barreiras químicas e bioquímicas da planta (EPSTEIN, 1999) (POZZA et al., 2004).
Um estudo realizado por Pozza et al. (2004) com o objetivo de avaliar o efeito da aplicação de silício em três variedades (Catuaí, Mundo Novo e Icatú) no controle da cercosporiose, observou que as plantas da variedade Catuaí com silício incorporado ao substrato apresentaram 63,2% menos folhas lesionadas e 43% menos lesões, quando comparadas a testemunha.
Da mesma forma, Cogo, Graciano e Campos (2011), observaram que a aplicação de silicato de cálcio e magnésio via solo, proporcionou redução da cercosporiose em mudas inoculadas com o patógeno.
No controle químico é importante estar atento às condições ambientais favoráveis para tomada de decisão da melhor época de aplicação, sempre monitorando a lavoura e suas condições. Os grupos químicos utilizados são:
Sempre destacando a importância de alternar os ingredientes ativos, principalmente com Hidróxido de cobre e Oxicloreto de Cobre que auxiliam no controle preventivo da cercosporiose.
Devido a alguns desses grupos químicos atuarem também sobre outras doenças, como a ferrugem do café (Hemileia vastatrix), pode-se manejar as aplicações visando a prevenção e controle das duas doenças de forma simultânea.
Tabela 2. Grupos químicos com seus ingredientes ativos para controle da Cercosporiose.
Em lavouras de plantio, não é interessante a aplicação de alguns tipos de trizóis, como por exemplo o epoxiconazol, flutriafol e ciproconazol, pois eles podem acarretar em fitotoxidez.
Dessa forma, nesses casos, são mais utilizados as estrobilurinas, os fungicidas cúpricos (hidróxido de cobre e oxicloreto de Cobre) e os benzimidazóis (Tiofanato metílico).
Além da escolha do ingrediente ativo a se utilizar, deve-se estar atento à tecnologia de aplicação utilizada, envolvendo todos os fatores que podem afetar a eficiência da aplicação e consequentemente a prevenção contra essa doença.
A cafeicultura é oscilante, mas nos últimos tempos, as safras têm ganhado cada vez mais destaque e valorização. Aquele que se prepara, produz mais, lucra mais e já consegue planejar os próximos passos para que a próxima safra seja ainda mais produtiva.
Se você busca esse resultado, comece se atualizando com as novas técnicas de mercado.
No curso online Gestão na Produção de Café Arábica, você aprenderá com quem entende do assunto, pois os professores atuam em fazendas comerciais e passarão o conhecimento a você. Não perca mais tempo e tire suas dúvidas:

![]()
O post Cercosporiose do café: principais sintomas e como realizar o controle apareceu primeiro em Rehagro Blog.
]]>O post Onde realizar a adubação do cafeeiro? apareceu primeiro em Rehagro Blog.
]]>Esses prejuízos podem ser, desde a queima do coleto de plantas ou até mesmo a não absorção desses nutrientes pelas plantas, afetando assim a produtividade da cultura. Dessa forma, o local onde o adubo está sendo colocado é item importante no manejo da cultura.
Em algumas propriedades a adubação é realizada apenas de um lado do cafeeiro, alternando linhas na entrada da adubadora. Já em outras propriedades, a adubação é feita dos dois lados da planta. Mas, e essa prática, deve ser feita de um lado ou dos dois lados da planta?
Resultados de estudo feito pela Procafé, comparando modos de adubação do cafeeiro mostraram que houve maior produtividade média, considerando 5 safras, quando se adubou na projeção da saia, dos dois lados da planta.
Dessa forma, mostrando a importância de se adubar dos dois lados da planta, colocando assim o adubo mais próximo as raízes do cafeeiro, para que ele possa absorver.

Produção média anual de cinco safras em cafeeiros sob diferentes modos de adubação. Martins Soares-MG. 2001.
Por isso, quando nos referimos a adubação mecanizada, o adubo deve ser colocado dos dois lados do cafeeiro, na projeção da saia, conforme mostrado no estudo, em que esse tipo de adubação proporcionou maior incremento na produtividade, se comparado aos outros modos de adubação.
Nesse sentido, quando nos referimos a adubação mecanizada, é recomendado que a adubadora entre em todas as entrelinhas da lavoura e realize a adubação em ambos os lados da planta.

Adubação na projeção da saia do cafeeiro. (Foto: Rehagro).
Nas adubações em lavouras manuais, quando possível, é recomendado que seja realizado em ambos os lados também, no entanto, em muitos casos onde as propriedades apresentam uma declividade muito acentuada, dificultando assim a realização da prática, e/ou não se possui mão de obra suficiente para a realização da adubação no período correto, pode ser realizada a adubação de um lado só do cafeeiro, sendo feito no lado de cima das plantas.
Estar de acordo com as novas técnicas de mercado é de suma importância para quem deseja produzir cafés com excelência.
Desde a implantação da lavoura, gestão de equipe na fazenda, manejos como a fertilidade e proteção, ou mesmo as fases finais de colheita e pós-colheita, é preciso ter domínio e segurança, caso queira obter sucesso.
Por isso, no Rehagro há o curso online Gestão na Produção de Café, onde professores atuantes em campo, ensinam de forma prática, atualizada e validada essas técnicas. Clique abaixo e conheça um pouco mais sobre esse curso:

![]()
O post Onde realizar a adubação do cafeeiro? apareceu primeiro em Rehagro Blog.
]]>O post Chegar terra em cafeeiros novos: como realizar essa prática apareceu primeiro em Rehagro Blog.
]]>Outro benefício é que a grade utilizada nessa operação atua como uma capina nas laterais da linha de plantio do cafeeiro, pelo fato da terra enterrar o mato. Além disso, essa prática proporciona maior firmeza das mudas, evitando o tombamento pela ação dos ventos e isso tem sido um grande problema em lavouras novas com bom desenvolvimento.
Por isso, devido a esses benefícios esse manejo tem sido muito realizado a fim de proporcionar melhores condições para o crescimento e desenvolvimento das plantas.
Vale ressaltar que chegar terra é uma prática recomendada para proteger o cafeeiro da “canela de geada” em situações de risco de geada. De acordo com Caramori e Chaves, 1986, a realização dessa prática em cafeeiros, evita a ocorrência de canela de geada (dano aos troncos dos cafeeiros), se comparado as plantas em que essa prática não foi realizada, em que pelo menos uma planta foi afetada.
Sem tempo para ler agora? Baixe este artigo em PDF!
Essa prática é realizada de março a abril em lavouras novas, que normalmente foram plantadas em outubro, novembro e dezembro, para que essas plantas suportem melhor o período seco, esse de maior estresse as plantas, devido aos benefícios proporcionados por esse manejo.
O chegamento de terra pode ser feito por meio de uma adaptação de equipamentos, como é feito com a grade, invertendo os dois discos, conforme mostra as figuras abaixo:

Equipamento adaptado para chegar terra em cafeeiros. (Fonte: Daniel Veiga)

Chegando terra em mudas de café com uma adaptação na grade. (Fonte: Daniel Veiga)
No entanto, por meio desse equipamento são formados mais torrões e um degrau na lavoura, conforme mostra a seguinte imagem:

Chegamento de terra em mudas de café feito com grade adaptada. (Fonte: Daniel Veiga)
Outra forma de chegar terra é com a roça carpe, sendo esse equipamento preferido por alguns técnicos devido a não formar torrões e não formar degrau nas lavouras.

Prática de chegamento de terra em mudas de café com roça carpe. (Fonte: Daniel Veiga)

Chegamento de terra em cafeeiros novos realizado com a roça carpe. (Fonte: Daniel Veiga)
Alguns técnicos tem realizado associado ao chegamento de terra a adição de adubos de liberação lenta para proporcionar crescimento dessas plantas no período mais seco, no entanto, apesar de serem observados resultados visuais positivos com a realização dessa prática, ainda faltam trabalhos de pesquisa que comprovem os incrementos no crescimento e desenvolvimento das plantas.
Assim como, alguns técnicos relatam que há um maior crescimento e desenvolvimento das mudas submetidas apenas ao chegamento de terra se comparado à plantas em que esse manejo não foi realizado, mas da mesma forma, apesar de já ser amplamente realizada em fazenda, faltam trabalhos de pesquisa quantificando os resultados positivos dessa prática.
Estar por dentro das tendências, novidades e conhecimentos técnicos do mercado agrícola cafeeiro, é o que pode te diferenciar entre os profissionais da área.
Aquele que busca se destacar e criar carreira na cafeicultura, precisa estar se atualizando constantemente, afinal, o Agro não para e está cada vez mais exigente.
Com o curso Gestão na Produção de Café, isso é possível! Professores atuantes em campo, vão te passar por meio de dados reais, atuais e validados, as técnicas para atingir a excelência de produção. Domine as principais técnicas e destaque-se no mercado cafeeiro!

![]()
O post Chegar terra em cafeeiros novos: como realizar essa prática apareceu primeiro em Rehagro Blog.
]]>O post Como calcular adubação mecanizada e manual? apareceu primeiro em Rehagro Blog.
]]>A recomendação dos técnicos para a adubação do cafeeiro, é a aplicação de metade da dose do adubo de um lado da planta e metade do outro lado.
Foto: Rehagro.
Sem tempo para ler agora? Baixe este artigo em PDF!
Essa aplicação dos dois lados da planta de café se refere principalmente quando a adubação é mecanizada. Isso porque, em lavouras com adubação manual e declividade acentuada, essa prática fica mais dificultada. Dessa forma, sendo realizada apenas de um lado da planta – lado de cima.
Abaixo, trazemos um exemplo prático para você entender melhor. Supondo que iremos fazer a recomendação da quantidade de adubo para a nossa primeira adubação, utilizando o nitrogênio (N).
Por exemplo, se a recomendação para o fertilizante nitrogenado para esta lavoura é de 229,3 kg/ha de nitrato:

Vamos fazer o cálculo de metros lineares na lavoura, utilizando o espaçamento entre linhas:
10.000 m2 (1 hectare) / 3,6 m (espaçamento entre linhas) = 2.777,7 metros lineares
Dose de nitrato: 229,3 kg
229,3 kg / 2.777,7 metros lineares = 0,0825 kg por metro = 82,5 g por metro.
No entanto, como a dose deve ser de cada lado, deve-se dividir por 2:
82,5 g por metro / 2 (lados da planta a serem adubados) = 41,2 g por metro de cada lado do cafeeiro.
Considerando que o trator demora 25 segundos para realizar o trajeto de 50 m, deve ser coletado de adubo em um lado da adubadora, nesse tempo (25 segundos):
41,2 g por metro x 50 metros = 2.060 gramas em 50 metros = 2,06 kg de nitrato em 50 metros.
Ou seja, em 25 segundos deve ser coletado em uma saída da adubadora a quantidade de 2,06 kg de nitrato, que corresponde a quantidade do fertilizante que irá cair em 50 metros, proporcionando a adubação de 41,2 gramas de nitrato por metro linear.
Por exemplo, se a recomendação para o fertilizante nitrogenado para esta lavoura é de 229,3 kg/ha de nitrato:

Cálculo do número de plantas por hectare. Com espaçamento de 3,60 m x 0,60 m, temos:
3,60 m x 0,60 m = 2,16 m2
10.000 m2 (1 hectare) / 2,16 m2 = 4.629 plantas por hectare.
**Esse cálculo está considerando que está lavoura não possui falhas, em situações que a lavoura apresenta muitas falhas, deve-se considerar a porcentagem de falhas sob o número de plantas por hectare. Dessa forma, se a lavoura tiver muitas falhas, o número de plantas por hectare será menor, e consequentemente a dose por planta irá aumentar.
Considerando a dose de 229,3 kg de nitrato:
229,3 kg / 4.629 plantas = 0,0495 kg = 49,5 gramas por planta.
Conforme relatado acima, em relação as lavouras de adubação manual e declive acentuado, é mais complicado realizar a adubação dos dois lados da planta. Dessa forma, a dose para adubação manual nessa lavoura é de 49,5 gramas de nitrato por planta.
É importante que saibamos fazer os cálculos de recomendação dos fertilizantes para adubação manual e mecanizada, para sempre passarmos aos responsáveis pela adubação a quantidade final a ser aplicada.
Dessa forma, o acompanhamento da regulagem dos maquinários, quando a adubação for mecanizada, com o intuito de aplicar a quantidade correta do adubo, deve sempre ser feito, para não faltar e nem sobrar da quantidade final que deveria ser aplicada.
Essa conferência de regulagens de máquinas é importante que seja bem feita, pois não adianta fazer uma recomendação adequada dos nutrientes, e na prática não ser aplicada a quantidade recomendada.
Além disso, os indicadores de nutrientes que trabalhamos na lavoura, como por exemplo, do nitrogênio, que varia de 6 a 8 kg de nitrogênio por saca, deve considerar o nitrogênio que realmente foi aplicado na lavoura, e não aquele que foi recomendado. Por isso, devemos ficar atentos a essas quantidades e regulagens.
A cafeicultura é oscilante, mas nos últimos tempos, as safras têm ganhado cada vez mais destaque e valorização. Aquele que se prepara, produz mais, lucra mais e já consegue planejar os próximos passos para que a próxima safra seja ainda mais produtiva.
Se você busca esse resultado, comece se atualizando com as novas técnicas de mercado.
No curso online Gestão na Produção de Café Arábica, você aprenderá com quem entende do assunto, pois os professores atuam em fazendas comerciais e passarão o conhecimento a você. Não perca mais tempo e tire suas dúvidas:

O post Como calcular adubação mecanizada e manual? apareceu primeiro em Rehagro Blog.
]]>O post Amostragem de solo: veja dicas para uma a realização adequada em lavoura de café apareceu primeiro em Rehagro Blog.
]]>Para que os resultados da análise de solo sejam fidedignos e proporcionem o resultado esperado, o primeiro passo deve ser a realização de uma amostragem adequada, que deve representar bem a área a ser investigada.
Veja algumas dicas para executar essa etapa de forma correta!
Sem tempo para ler agora? Baixe este artigo em PDF!

Amostragem de solo com trado Holandês
Inicialmente, deve-se dividir a área em talhões homogêneos quanto a cor do solo, textura, topografia, vegetação natural e manejo de lavouras anteriores (que inclui todas as práticas de manejo que foram realizadas na área).
Após a separação em talhões homogêneos, faz-se o caminhamento em zigue-zague na área, a fim de ser o mais representativo possível da realidade. E inicia-se a coleta da seguinte forma:
A profundidade amostrada pode ser feita de 0 – 20 cm e 20 – 40 cm. No entanto, devido ao cafeeiro ser uma cultura perene, suas raízes podem chegar a profundidades maiores, dependendo do manejo realizado. Desta forma, pode-se também realizar amostragem em maiores profundidades para se conhecer o perfil do solo, caso seja necessário.
Após a coleta de amostras simples dentro de cada área – em torno de 15 a 20 – faz-se uma amostra composta, através da mistura de amostras simples. (A mistura das amostras simples deve ser feita em baldes ou sacos limpos, para que não haja contaminação e consequentemente interferência nos resultados. Nunca utilize sacos usados de calcário, adubos, rações ou outros).
Da amostra composta são retiradas cerca de 300 gramas de solo, e colocadas em saquinhos devidamente identificados e enviados ao laboratório, para que posteriormente não haja confusão dos resultados da análise.

Saquinho para coleta de amostra de solo.
As amostras solicitadas podem ser:
A análise granulométrica é recomendada que se faça pelo menos uma vez na área, para que se conheça a textura do solo.
O segredo do manejo de sucesso está nos pequenos detalhes! Então, lembre-se desse checklist na sua próxima amostragem!
A partir dela, a análise do solo poderá apontar a deficiência de nutrientes que pode estar comprometendo a sua produtividade e gerando defeitos nos grãos do café, levando a uma perda de qualidade e redução do preço da saca vendida.
A cafeicultura é oscilante, mas nos últimos tempos, as safras têm ganhado cada vez mais destaque e valorização. Aquele que se prepara, produz mais, lucra mais e já consegue planejar os próximos passos para que a próxima safra seja ainda mais produtiva.
Se você busca esse resultado, comece se atualizando com as novas técnicas de mercado.
No curso online Gestão na Produção de Café, você aprenderá com quem entende do assunto, pois os professores atuam em fazendas comerciais e passarão o conhecimento a você. Não perca mais tempo e tire suas dúvidas:

O post Amostragem de solo: veja dicas para uma a realização adequada em lavoura de café apareceu primeiro em Rehagro Blog.
]]>O post Pós-colheita: um checklist para qualidade apareceu primeiro em Rehagro Blog.
]]>
Em abril de 2020, fizemos a transmissão de um Webinar sobre pós-colheita: um checklist para qualidade. O palestrante foi Leandro Paiva, Coordenador do Pólo Agroindustrial do Café e Professor do IFSULDEMINAS Machado.
O tema ainda é extremamente relevante no ramo e diversos profissionais buscam aumentar seus conhecimentos sobre o assunto.
Se você é um deles, não perca a chance de assistir ao nosso debate de ideias! Trata-se de uma palestra gratuita feita por nós, Grupo Rehagro, em parceria com o 3RLab.
Se tiver dúvidas ou ressalvas, deixe seu comentário registrado. Nossa equipe técnica irá respondê-lo.
Clique no botão abaixo e participe dessa incrível experiência do agronegócio!
O post Pós-colheita: um checklist para qualidade apareceu primeiro em Rehagro Blog.
]]>O post Deficiências nutricionais do cafeeiro: veja os principais sintomas apareceu primeiro em Rehagro Blog.
]]>E quando eles aparecem, as alterações no metabolismo das plantas e consequentes prejuízos na produção e na qualidade do café já estão a todo vapor.
Saiba como identificar esses sintomas e entenda se sua lavoura de café está sofrendo pela falta de nutrientes.
Sem tempo para ler agora? Baixe este artigo em PDF!
Os macronutrientes são os nutrientes que são demandados em maior quantidade pela planta do cafeeiro. São eles:
Os micronutrientes, demandados em menor quantidade, são:
Os nutrientes que são móveis nas plantas apresentam os sintomas de deficiência inicialmente em folhas velhas. Isso ocorre pois ele é facilmente mobilizado das folhas mais velhas para as folhas mais jovens.
Os sintomas da deficiência de nitrogênio aparecem inicialmente em folhas velhas, sendo caracterizado por clorose (amarelecimento) generalizado.

Os sintomas aparecem inicialmente em folhas velhas, e é caracterizado por folhas verdes sem brilho, podem amarelecer e apresentar grandes manchas pardas ou violáceas na ponta e no meio.

Os sintomas aparecem inicialmente em folhas velhas, e é caracterizado por clorose com posterior necrose nos bordos e no ápice das folhas.

Os sintomas são observados inicialmente em folhas velhas, e é caracterizado por clorose internerval (amarelecimento dos espaços entre as nervuras).

Os sintomas aparecem inicialmente em folhas novas, e é caracterizado por clorose nos bordos que pode avançar entre as nervuras em direção ao centro.

Os sintomas são observados inicialmente em folhas novas, e é caracterizado por clorose generalizada (parecido com o sintoma de deficiência de nitrogênio, no entanto a deficiência de enxofre aparece nas folhas novas).

Os sintomas da deficiência do boro caracterizam-se pela redução do tamanho e deformação das folhas mais novas, morte das gemas apicais dos ramos e do ápice do cafeeiro.

Encurtamento dos internódios e produção de folhas novas pequenas, cloróticas e lanceoladas. Há também a formação de tufos na ponta dos ramos.

Os sintomas aparecem inicialmente em folhas novas, as quais amarelecem, enquanto as nervuras podem ficar verdes durante algum tempo, destacando como um reticulado fino.

Os sintomas aparecem inicialmente em folhas novas, as folhas se apresentam amareladas, a folha fica mais lisa, com nervuras menos pronunciadas, com a presença de manchas verdes irregulares.

Os sintomas de deficiência de cobre mostram-se inicialmente nas folhas novas, com coloração verde escura, as folhas encurvam-se para baixo e as nervuras podem ficar salientes no cafeeiro.

A prevenção das deficiências é sempre o melhor caminho. Quando enxergamos os sintomas no campo, significa que as plantas já estão sofrendo com a escassez e a produção já está prejudicada! Assim, lembre-se da importância da realização de uma boa amostragem e análise de solo.
Assim, pode ser definida uma estratégia de adubação racional, acompanhada por estratégias para aumento das cargas do solo, que geram maior retenção dos nutrientes.
A cafeicultura é oscilante, mas nos últimos tempos, as safras têm ganhado cada vez mais destaque e valorização. Aquele que se prepara, produz mais, lucra mais e já consegue planejar os próximos passos para que a próxima safra seja ainda mais produtiva.
Se você busca esse resultado, comece se atualizando com as novas técnicas de mercado.
No curso online Gestão na Produção de Café Arábica, você aprenderá com quem entende do assunto, pois os professores atuam em fazendas comerciais e passarão o conhecimento a você. Não perca mais tempo e tire suas dúvidas:

O post Deficiências nutricionais do cafeeiro: veja os principais sintomas apareceu primeiro em Rehagro Blog.
]]>O post Pontos importantes no planejamento da colheita apareceu primeiro em Rehagro Blog.
]]>
Em março deste ano, fizemos a transmissão de um Webinar sobre pontos importantes no planejamento da colheita. O palestrante foi Luiz Paulo Vilela, Coordenador e Consultor da Equipe Café do Rehagro.
O Webinar aborda a importância do planejamento estratégico, além da visão de longo prazo durante o período que antecede a colheita e causa preocupação e estresse em atingir bons resultados.
Vilela nos ensina que a colheita atual não é o fim do processo, mas sim, o início do próximo ciclo. É necessário realizar um trabalho com excelência para não comprometer o ano seguinte.
O especialista nos instiga com as seguintes perguntas:
Luiz Paulo traz soluções para todos os questionamentos!
Diante disso, percebemos que o tema ainda é extremamente relevante no ramo e diversos profissionais buscam aumentar seus conhecimentos sobre o assunto.
Se você é um deles, não perca a chance de assistir ao vídeo! Trata-se de uma palestra gratuita feita por nós, Grupo Rehagro, em parceria com o 3RLab.
Se tiver dúvidas ou ressalvas, deixe seu comentário registrado. Nossa equipe técnica irá respondê-lo.
Clique no botão abaixo e participe dessa incrível experiência do agronegócio!
O post Pontos importantes no planejamento da colheita apareceu primeiro em Rehagro Blog.
]]>O post Qual a diferença entre os extratores Mehlich 1 e Resina? apareceu primeiro em Rehagro Blog.
]]>O método de Mehlich 1 (ácido clorídrico + ácido sulfúrico) utiliza um extrator fortemente ácido, dessa forma, esse método pode extrair o fósforo ligado ao cálcio, que não está disponível para as plantas.
Assim, solos adubados com fosfatos de baixa solubilidade, como fosfatos naturais, e com a utilização desses extratores ácidos, podem extrair quantidade de fósforo superiores àquelas consideradas disponíveis, não apresentando boas correlações com rendimentos das culturas (Raij e Diest, 1980).
Por outro lado, em solos argilosos, esse mesmo extrator, pode subestimar os valores de P disponível, apresentando valores menores devido ao fato dos extratores serem mais desgastados nesses solos, quando comparados aos solos arenosos (Novais & Kamprath, 1979; Muniz at el., 1987).
A Resina de troca aniônica, fundamenta-se na premissa de simular o comportamento do sistema radicular das plantas na absorção de fósforo do solo (Raij, 1978).
Esse processo gera a adsorção de P na solução nas cargas positivas da resina aniônica, como consequência, há a remoção do P adsorvido na superfície das partículas do solo, dessa forma, a resina não superestima a disponibilidade de P em solos tratados com fosfatos naturais, como ocorre com os extratores ácidos.
Sem tempo para ler agora? Baixe este artigo em PDF!
Segundo Silva et al. (2013) a resina apresenta maior sensibilidade às variações de solos, portanto sendo mais adequado para estimar o fósforo disponível independentemente da fonte utilizada e do tipo de solo, podendo ser utilizado tanto em solos ácidos como em alcalinos, diferentemente do extrator Melhich 1.
Além disso, segundo Silva & Raij (1999), esse método revela adequadamente, o efeito da calagem em aumentar a disponibilidade de P para as plantas, o que não acontece com o método de Mehlich 1:
Quadro 1. Fósforo (P) no solo em experimento de calagem – com a cultura da soja – Ribeirão Preto SP. Fonte: Silva & Raij (1999).
Dessa forma, esse estudo realizado na cultura da soja mostra a sensibilidade do extrator resina em detectar o aumento da disponibilidade de fósforo no solo, devido ao aumento do pH do solo, apresentando assim diferença estatística quando se utilizou o extrator resina (marcado em verde), o que não foi observado quando se utilizou o extrator Mehlich 1 (marcado em vermelho).
Da mesma forma, uma revisão feita pelo mesmo autor, Raij, mostra a maior eficiência do extrator resina, quando comparado aos outros extratores:
Quadro 2. Comparação de métodos na literatura mundial, 1953 a 1977 – 42 trabalhos. Fonte: Raij, 1978.
Além disso, pode-se utilizar a resina mista, de troca Catiônica e aniônica, que possui cargas positiva e negativas e permite, numa única extração, avaliar a disponibilidade não apenas do fósforo, mas também de cátions trocáveis como o cálcio (Ca2+), magnésio (Mg2+) e potássio (K+) (Raij & Quaggio, 1983 & Raij et al., 1987), que é atualmente utilizado na quantificação de fósforo disponível nos laboratórios do estado de São Paulo entre outros.
Um inconveniente desse método, é o fato do método de resina ser mais trabalhoso, no entanto, valem esforços devido a analogia com a extração pela planta (Raij et al, 1982).
Portanto, devido a extração pelo método de resina ter maior correlação com as respostas das plantas, ele se mostra mais adequado para estimar o fósforo disponível, quando comparado ao método de Mehlich 1, visto que este método, não é seletivo para quantificar apenas o P-lábil, e pode superestimar o fósforo de solos com fosfatos naturais ou subestimar o fósforo em solos argilosos.
“Parâmetros para se trabalhar na interpretação de uma análise de solo“.
Estar de acordo com as novas técnicas de mercado é de suma importância para quem deseja produzir cafés com excelência.
Desde a implantação da lavoura, gestão de equipe na fazenda, manejos como a fertilidade e proteção, ou mesmo as fases finais de colheita e pós-colheita, é preciso ter domínio e segurança, caso queira obter sucesso.
Por isso, no Rehagro há o curso online Gestão na Produção de Café Arábica, onde professores atuantes em campo, ensinam de forma prática, atualizada e validada essas técnicas. Clique abaixo e conheça um pouco mais sobre esse curso:
O post Qual a diferença entre os extratores Mehlich 1 e Resina? apareceu primeiro em Rehagro Blog.
]]>O post Desafios e oportunidades diante do coronavírus na cafeicultura apareceu primeiro em Rehagro Blog.
]]>
No dia 13/04, fizemos um webinar café especial! O tema foi extremamente relevante para o momento de crise em que estamos vivendo: “Desafios e oportunidades diante do coronavírus na cafeicultura”. Esta palestra gratuita foi feita por nós, Grupo Rehagro, em parceria com o 3RLab.
Escolhemos especialistas renomados para falar sobre o assunto:
Se você não teve a oportunidade de assistir a discussão, clique no link abaixo:
Se tiver dúvidas ou ressalvas sobre o assunto, deixe seu comentário registrado. Nossa equipe técnica irá respondê-lo!
O post Desafios e oportunidades diante do coronavírus na cafeicultura apareceu primeiro em Rehagro Blog.
]]>O post Utilização de DRIS para interpretação da análise de folhas apareceu primeiro em Rehagro Blog.
]]>
Em fevereiro deste ano, fizemos a transmissão de um Webinar sobre Utilização de DRIS para interpretação da análise de folhas. O palestrante foi Antônio Rodrigues, Engenheiro Agrônomo pela UFLA, e Especialista em Nutrição do Café pela Unis Fateps.
O vídeo fala sobre o balanço de nutrientes na lavoura, que tem extrema importância para alcançar seu potencial produtivo. Antônio também explica que, além da análise do solo, nós também temos as análises de folhas, igualmente importantes para a realização do ajuste fino das adubações.
Ela deve ser feita de forma criteriosa, com relação a quantidade de folhas por talhão, época de amostragem e intervalo entre as adubações. Para ajudar nas tomadas de decisões, o DRIS vem como um sistema integrado de diagnose e recomendação, que busca o equilíbrio nutricional nas plantas.
O tema ainda é extremamente relevante no ramo e diversos profissionais buscam aumentar seus conhecimentos sobre o assunto.
Se você é um deles, não perca a chance de assistir ao vídeo! Trata-se de uma palestra gratuita feita por nós, Grupo Rehagro, em parceria com o 3RLab.
Se tiver dúvidas ou ressalvas, deixe seu comentário registrado. Nossa equipe técnica irá respondê-lo.
Clique no botão abaixo e participe dessa incrível experiência do agronegócio!
O post Utilização de DRIS para interpretação da análise de folhas apareceu primeiro em Rehagro Blog.
]]>O post Calagem no cafeeiro: o que é, quais os seus benefícios e como recomendar? apareceu primeiro em Rehagro Blog.
]]>Essa acidez pode ser causada por vários fatores, dentre eles:
Nesse sentido a correção do solo torna-se uma prática de grande importância, a fim de proporcionar melhores condições para o desenvolvimento do sistema radicular, através da correção da acidez dos solos e consequentemente maior disponibilidade de nutrientes para as plantas.

Efeito do pH na disponibilidade dos nutrientes e na solubilidade do alumínio no solo (Malavolta, 1979).
Sem tempo para ler agora? Baixe este artigo em PDF!
Dessa forma, proporcionando melhores condições para desenvolvimento do sistema radicular, aumentando assim a absorção de água e nutrientes.
Não são recentes estudos que mostram os benefícios da calagem em cafeeiro, Lazzarini et al. (1965) mostram os resultados do cafeeiro em sacas beneficiadas por hectare em resposta à calagem e adubação em solos de campo-cerrado, é notório que com a prática da calagem houve incrementos na produção.

Resposta do cafeeiro em sacas benefic/ha à calagem e adubação em solos de campo-cerrado. Batatais – SP. 1965. Fonte: Lazzarini, Moraes, Cervelini, Toledo e Figueiredo
Também, resultados do IBC mostram os aumentos na produção do cafeeiro obtidos pela prática da calagem em diferentes regiões cafeeiras, com variação de aumento na produção variando de +63% a +160%, dessa forma, mostrando que a calagem proporciona incremento na produção.

Aumentos de produtividade obtidos com a prática de calagem em cafezais, em diferentes regiões cafeeiras. Resultados extraídos de parcelas experimentais (Pesquisa/IBC).
A elevada acidez condiciona a uma alta atividade do Al na solução do solo, elemento que é tóxico para as plantas.
O Al se acumula preferencialmente no sistema radicular das plantas, retardando assim seu crescimento e desenvolvimento, aumentando o diâmetro de raízes e reduzindo o número raízes laterais.
Também, pesquisas tem demostrado que Al3+ no meio de crescimento influencia na absorção de elementos essenciais, como P, Ca e Mg (López-Bucio et al., 2000).
Nesse sentido Carvalhal & Miyazawa (2009) estudaram o efeito da interação Al e P no desenvolvimento de mudas de café, os autores concluíram que independente da concentração de P na solução o desenvolvimento das raízes foi inibido.
![Volumes das raízes em função da razão [Al] / [P] das soluções nutritivas](/blog/wp-content/uploads/2020/04/unnamed-1.png)
Volumes das raízes em função da razão [Al] / [P] das soluções nutritivas. Média de seis repetições. (Carvalhal & Miyazawa, 2009)
Neste estudo foi observado também o efeito da toxidez nas raízes (Carvalhal & Miyazawa, 2009), sendo observado engrossamento e paralisação do crescimento devido a inibição da divisão celular, interferindo na absorção e translocação de água e nutrientes para a parte aérea (Foy et alii, 1978).

Vista dos efeitos interativos entre Al e P nas mudas de cafeeiros em solução nutritiva com 1,0 mmol dm-3 de P. (Carvalhal & Miyazawa, 2009)
Nesse sentido, a calagem insolubiliza o Al, proporcionando assim maior desenvolvimento radicular, com consequente maior desenvolvimento da parte aérea das plantas.
Após a aplicação do calcário no solo, o ânion CO32- é responsável pela hidrolise da água e formação do íon OH-, que irá neutralizar a acidez ativa (H+) do solo.
Reação do calcário no solo:

Muitos técnicos tem feito a recomendação de calcário com base no aumento de cálcio no solo:
Exemplo de cálculo:
Se meu solo possui 2,1 cmolc/dm3, e eu desejo aumentar para 3,0 cmolc/dm3, logo, eu preciso aumentar no meu solo 0,9 cmolc/dm3 de Ca:
3,0 – 2,1 = 0,9 cmolc/dm³
Como são necessários 560 Kg de CaO para aumentar 1 cmolc/dm3, então, são necessários 504 kg de CaO, para elevar o cálcio do seu solo para 3,0 cmolc/dm3.
1 cmolc/dm³ —————– 560 kg CaO
0,9 cmol/dm³ —————X
X = 504 kg de CaO
Considerando que meu calcário que possui 36% de CaO, eu preciso fornecer 1,4 toneladas de calcário.
100 kg de calcário ————— 36 kg de CaO
X ———— 504 kg de CaO
X = 1400 kg = 1,4 toneladas
No entanto, esse total de 1,4 toneladas, há um aproveitamento de apenas 50%, por isso a dose deve considerar esse aproveitamento.
Aproveitamento de 50%:
1,4 toneladas ————— 50%
X ——————– 100%
X = 2,8 toneladas de calcário
O teor de magnésio do calcário é uma característica importante a ser analisada para a escolha do corretivo, visto que existem diferentes teores de magnésio nos calcários.
Nesse sentido, é importante que se conheça o teor de magnésio nos solos, para que se tome a decisão do melhor calcário a ser utilizado em cada situação.
Em solos com teor de Mg muito baixo ou baixo, deve-se optar por calcários mais ricos em magnésio, devido ao alto custo desse fertilizante em relação a sua aplicação pelo calcário. Salientando a importância do magnésio como componente da clorofila, além de outras funções desempenhadas por ele.
A aplicação de calcário pode ser feita entre agosto a setembro, nas lavouras em produção, pode-se realiza-la após a varrição e chegação de cisco. Essa aplicação pode ser feita tanto em área total, como em faixa.
Portanto, a calagem além de corrigir a acidez dos solos, consequentemente proporcionando aumentando a disponibilidade de nutrientes, também diminui a toxidez do Al e Mn, fornece Ca e Mg para as plantas, nutrientes esses importantíssimos para o metabolismo das plantas.
Por isso, a calagem é uma prática que traz inúmeros benefícios ao desenvolvimento radicular e da parte aérea das plantas, por isso deve ser realizado nas lavouras, visto que a adubação em um solo ácido irá afetar a disponibilidade de nutrientes, além dos prejuízos causados pelo alumínio em solo ácido e suas consequências na produção do café.
Estar por dentro das tendências, novidades e conhecimentos técnicos do mercado agrícola cafeeiro, é o que pode te diferenciar entre os profissionais da área.
Aquele que busca se destacar e criar carreira na cafeicultura, precisa estar se atualizando constantemente, afinal, o Agro não para e está cada vez mais exigente.
Com o curso Gestão na Produção de Café, isso é possível! Professores atuantes em campo, vão te passar por meio de dados reais, atuais e validados, as técnicas para atingir a excelência de produção. Domine as principais técnicas e destaque-se no mercado cafeeiro!
O post Calagem no cafeeiro: o que é, quais os seus benefícios e como recomendar? apareceu primeiro em Rehagro Blog.
]]>O post Lagartas no café: principais espécies, danos e como controlar apareceu primeiro em Rehagro Blog.
]]>Dentre as espécies de lagartas que podem atacar o cafeeiro, podemos citar as mais comuns:
Sem tempo para ler agora? Baixe este artigo em PDF!
A lagarta dos cafezais (Eacles imperialis magnifica), é uma lagarta grande que pode atingir cerca de 10-12 cm de comprimento e apresentam coloração variável entre o verde, o alaranjado e o marrom.
Ela apresenta pubescência e fios brancos, seu ciclo dura em torno de 65-85 dias e a capacidade de postura das fêmeas é de aproximadamente 198 ovos.
Lagarta dos cafezais (Eacles imperialis magnifica). (Foto: Revista Cafeicultura)
Lagarta urticante (Lonomia (Periga) circunstans), é uma lagarta de coloração escura e mede cerca de 6 a 7 cm de comprimento.
Essas lagartas são urticantes com diversos espinhos espalhados pelo corpo, podendo causar queimaduras em homens e animais. Essa espécie tem o habito de viver agrupada durante o dia e a noite se alimentar das folhas.
Lagarta urticante (Lonomia (Periga) circunstans). (Fonte: Google Imagens).
A lagarta rosca (Agrotis ípsilon), quando completamente desenvolvida mede cerca de 4 cm, são robustas, cilíndricas e de coloração cinza escura.
Essas lagartas tem hábitos noturnos e vivem no solo, nas proximidades das plantas que atacam durante a noite. De acordo com Santos & Nakano (1982), essa espécie (Agrotis ípsilon), ocorre principalmente em locais úmidos.
O nome lagarta rosca, é devido ao habito de se enrolar, quando tocada. Essa lagarta pode acarretar em morte de plantas jovens.
De acordo com Silva et al. (2011), tem se detectado dois problemas decorrentes ao ataque desse inseto, um deles é em torno de um ano após o roletamento do caule, as folhas se tornam amareladas e se desprendem da planta, outro dano observado é a mortalidade das plantas jovens pela ação do vento, devido ao enfraquecimento no local de ataque da muda.
De acordo com o estudo realizado por esses autores, eles verificaram mortalidades de 10 a 30% em plantas jovens.
A lagarta mede palmo (Oxydia saturniata) também se alimenta das folhas.
Os danos causados pelas lagartas podem ser diretos ou indiretos.
Os danos diretos são devido a alimentar-se de folhas e brotos terminais. Dessa forma, em condições de ataque severo, podem acarretar em grandes prejuízos ao cafeeiro, principalmente aos cafeeiros mais novos e com menor número de folhas.
Já os danos indiretos ocorrem devido aos ferimentos causados nas folhas pelas lagartas servirem como porta de entrada de patógenos, como por exemplo: Phoma e Pseudomonas.
Danos causados por lagartas em folhas de cafeeiro (Fonte: Larissa Cocato).
Folhas de cafeeiro adulta com ataque de lagartas. (Foto: Luiz Paulo Vilela de Oliveira).
Folhas de cafeeiro adulta com ataque de lagartas. (Foto: Luiz Paulo Vilela de Oliveira).
Após detectada a incidência e os danos causados pelas lagartas, deve-se realizar o controle dessas pragas. Salienta-se que vale, planejar o controle conjugado dessa praga juntamente ao controle de bicho-mineiro.
Dentre os princípios ativos utilizados para o controle químico de lagartas, podemos citar:
Estar de acordo com as novas técnicas de mercado é de suma importância para quem deseja produzir cafés com excelência.
Desde a implantação da lavoura, gestão de equipe na fazenda, manejos como a fertilidade e proteção, ou mesmo as fases finais de colheita e pós-colheita, é preciso ter domínio e segurança, caso queira obter sucesso.
Por isso, no Rehagro há o curso online Gestão na Produção de Café, onde professores atuantes em campo, ensinam de forma prática, atualizada e validada essas técnicas. Clique abaixo e conheça um pouco mais sobre esse curso:

O post Lagartas no café: principais espécies, danos e como controlar apareceu primeiro em Rehagro Blog.
]]>O post Nitrogênio no café: funções, deficiência e cálculo de recomendação de adubação apareceu primeiro em Rehagro Blog.
]]>O transporte desse elemento é feito via xilema, na corrente transpiratória.
O nitrogênio é um nutriente altamente móvel, dessa forma, os sintomas de deficiência ocorrem inicialmente nas folhas velhas.
O pH ácido inibe a absorção do NH4+ e favorece a do NO3–, já em pH neutro/alcalino o contrário é observado, possivelmente, devido a efeitos competitivos do H+ e OH– no processo de absorção do NH4+ e do NO3–, respectivamente. (FAQUIN, 2005).
Sem tempo para ler agora? Baixe este artigo em PDF!
Molécula de clorofila
Os sintomas de deficiência desse nutriente na cultura do café é uma clorose – um amarelamento – que aparece inicialmente nas folhas velhas.
Em condições de deficiência podem ser observadas folhas pequenas, devido ao nitrogênio atuar na formação de folhas. Além disso, pode ser observada desfolha, morte dos ramos, acarretando em menor atividade fotossintética.
Sintomas de deficiência de nitrogênio em café (Foto: Diego Baquião)
Lavoura com deficiência de nitrogênio. (Foto: Luiz Paulo Vilela)
Já em condições de excesso de nitrogênio, pode acarretar em favorecimento de doenças como a Phoma e Bacterioses.
Exemplo de cálculo, seguindo a fórmula da Fundação PROCAFÉ:
N (Kgs/ha) = (produção (em sacas ha)x 2,6) + (próxima safra (em sacas ha) x 3,6)
Condições da lavoura:
N (Kgs/ha) = (40 sacas x 2,6 kg de N) + (28 sacas x 3,6 kg de N)
N (Kgs/ha) = 104 + 100,8 = 204,8 kg de N
Após calculada a dose de nitrogênio necessária, deve se escolher o fertilizante a ser utilizado.
Dentre as fontes de fertilizantes nitrogenados, podemos citar:
Fonte: Raij et al. (1997)
Para o exemplo, vamos utilizar o nitrato de amônio, que contém 33% de nitrogênio:

Para os fertilizantes nitrogenados, temos que considerar a eficiência dos mesmos. Para a uréia consideramos uma eficiência de 70%, já para o nitrato consideramos uma eficiência de 90%.
Para o nosso exemplo, como utilizamos nitrato:

Em seguida, calcula-se a porcentagem a ser aplicada em cada parcelamento, que pode ser considerada: 30%, 40% e 30%. Por fim, faz-se a conta da quantidade de adubo por metro linear ou por planta (considerando o espaçamento).
O indicador que utilizamos em nossos clientes de consultoria para verificar a eficiência, é quantos quilos de nitrogênio tenho gasto por saca de café produzida. Para chegar a este número deve-se dividir o total de nitrogênio gasto por safra pelo total de sacas de café produzida.
É importante avaliar este indicador por biênios, pois avaliando em um ano somente poderá ser mascarado pela bienalidade da produção.
O benchmarking para este indicador é a faixa de 6 a 8 kg de N/sc.
A ureia se destaca como um dos fertilizantes nitrogenados mais utilizados, no entanto, a aplicação de ureia no solo sem os devidos cuidados pode promover altas perdas por volatilização, na cultura do café essa perda pode chegar até 30% (DOMINGHETTI et al., 2016).
Isso ocorre devido à formação do gás amônia (NH3), que é volátil, sendo uma das etapas intermediárias da hidrolise da ureia no solo.
Parâmetros para análise de folha do cafeeiro, para o nutriente nitrogênio ao longo dos meses do ano
** Faixas de variação nos teores foliares em cafezais com produção média entre 30-40 sacas beneficiadas / ha Folhas recém – amadurecidas (Resultados na matéria seca).
Fonte: E. Malavolta / G.C.Vitti
Com base nesses parâmetros de Malavolta e Vitti podem ser realizados ajustes nas adubações com nitrogênio para o café.
Por isso, devemos ter atenção para se realizar uma recomendação adequada de nitrogênio para a cultura do café, evitando assim problemas com deficiências desse nutriente que pode afetar o metabolismo e consequentemente a produtividade da cultura.
É importante também estarmos atentos aos índices de nitrogênio na análise de folha e aos indicadores de N por saca de café produzida na média de duas safras, a fim de verificar se estamos aplicando mais ou menos nitrogênio que o necessário para a cultura, sempre buscando uma alta produtividade e lucratividade ao produtor.
A cafeicultura é oscilante, mas nos últimos tempos, as safras têm ganhado cada vez mais destaque e valorização. Aquele que se prepara, produz mais, lucra mais e já consegue planejar os próximos passos para que a próxima safra seja ainda mais produtiva.
Se você busca esse resultado, comece se atualizando com as novas técnicas de mercado.
No curso online Gestão na Produção de Café, você aprenderá com quem entende do assunto, pois os professores atuam em fazendas comerciais e passarão o conhecimento a você. Não perca mais tempo e tire suas dúvidas:

O post Nitrogênio no café: funções, deficiência e cálculo de recomendação de adubação apareceu primeiro em Rehagro Blog.
]]>O post Enxofre no café: veja funções, ciclo e sintomas de deficiência apareceu primeiro em Rehagro Blog.
]]>Seu transporte é feito até o sistema radicular principalmente por fluxo de massa.
A adsorção do sulfato depende do teor de argila, do teor de matéria orgânica, da presença de hidróxidos de ferro e de alumínio e do pH, no entanto, a sua capacidade de adsorção quando em competição com fosfato e hidroxila é muito pequena.
Sem tempo para ler agora? Baixe este artigo em PDF!
O ciclo do enxofre se assemelha ao do nitrogênio, pelo fato de apresentar no solo muitas formas orgânicas e sofrer várias transformações em reações mediadas por microrganismos.
Ciclo do enxofre (S). Fonte: Larissa Cocato.
Os sintomas de deficiência de enxofre são observados inicialmente em folhas novas, devido a sua pouca redistribuição nos tecidos. Sendo observado clorose generalizada (parecido com o sintoma de deficiência de nitrogênio, no entanto a deficiência de enxofre aparece nas folhas novas).
Também podem ser observados encurtamento dos internódios e desfolha.
Sintomas de deficiência de enxofre (Foto: Luiz Paulo Vilela)
Dentre os fertilizantes e/ou condicionadores que contem enxofre na sua composição, podemos citar:
Fontes de enxofre mais utilizadas na agricultura. Fonte: VITTI et al. (2007) adaptada.
O enxofre é aplicado indiretamente às culturas, como componentes de alguns adubos como o superfosfato simples, sulfato de amônio, sulfato de magnésio, sulfato de potássio e gesso agrícola.
Aplicação de gesso em superfície na cultura do café. (Foto: Larissa Cocato).
Abaixo as fotos mostram um cafeeiro em que foi realizada a aplicação do gesso (foto da esquerda), em contraste com um cafeeiro em que não foi realizada a aplicação de gesso (foto da direita), mostrando assim a deficiência de enxofre.
Foto de cafeeiro com a aplicação de gesso e sem a aplicação de gesso (Foto: Luiz Paulo Vilela).
O teor desse nutriente na folha deve ser observado de acordo com o mês de referência durante a análise de folha do cafeeiro.
Parâmetros para análise de folha do cafeeiro
** Faixas de variação nos teores foliares em cafezais com produção média entre 30-40 sacas beneficiadas / ha – Folhas recém – amadurecidas (Resultados na matéria seca).
Fonte: E. Malavolta / G.C.Vitti
Além disso, é importante estar atento a relação N/S (nitrogênio/enxofre), pois todos os aminoácidos possuem nitrogênio, e alguns deles possuem enxofre, como por exemplo a cisteína, metionina e outras.
Parâmetros para análise de folha do cafeeiro – Relação nitrogênio/enxofre
** Faixas de variação nos teores foliares em cafezais com produção média entre 30-40 sacas beneficiadas / ha – Folhas recém – amadurecidas (Resultados na matéria seca).
Fonte: E. Malavolta / G.C.Vitti

Padrões referenciais médios para avaliação de resultados de análise de solos na cultura do café. Fonte: PROCAFÉ
Por isso, apesar de ser um nutriente pouco falado e que recebe pouca atenção, devemos estar atentos ao fornecimento do enxofre, seja por sua aplicação direta ou pelo seu fornecimento indireto, através dos fertilizantes superfosfato simples, sulfato de amônio, sulfato de magnésio, sulfato de potássio, ou mesmo pela aplicação do condicionador de solo gesso agrícola, devido a sua grande atuação desse nutriente no metabolismo das plantas.
Estar por dentro das tendências, novidades e conhecimentos técnicos do mercado agrícola cafeeiro, é o que pode te diferenciar entre os profissionais da área.
Aquele que busca se destacar e criar carreira na cafeicultura, precisa estar se atualizando constantemente, afinal, o Agro não para e está cada vez mais exigente.
Com o curso Gestão na Produção de Café, isso é possível! Professores atuantes em campo, vão te passar por meio de dados reais, atuais e validados, as técnicas para atingir a excelência de produção. Domine as principais técnicas e destaque-se no mercado cafeeiro!
O post Enxofre no café: veja funções, ciclo e sintomas de deficiência apareceu primeiro em Rehagro Blog.
]]>O post Desbrota na cultura do café: veja a importância de se realizar apareceu primeiro em Rehagro Blog.
]]>Esses ramos podem utilizar as reservas energéticas da planta para seu crescimento, dessa forma em cafeeiros adultos, podem acarretar em prejuízos na produção, além de prejudicar a estrutura da planta e reduzir a vida útil da lavoura. Já em cafeeiros jovens, esses ramos podem acarretar em enfraquecimento das plantas.

Ramos “ladrões” na planta de café. (Foto: Larissa Cocato)
A desbrota em diversos casos é uma prática esquecida pelo produtor que fica desatento ao desenvolvimento dos brotos ou àqueles que optam pela não realização dessa prática por ser onerosa, considerando que a desbrota é uma atividade de baixo rendimento realizada exclusivamente por mão de obra manual.
Sem tempo para ler agora? Baixe este artigo em PDF!
O número de pés desbrotados por pessoa varia em função do rendimento do funcionário e da condição da lavoura (número e estado dos brotos), no entanto, esse número está em torno de 200 a 1000 plantas por serviço.

Ramos “ladrões” na planta de café. (Foto: Larissa Cocato)
Santinato, Figueredo e Silva (2008) realizaram um trabalho, com o intuito de estudar a desbrota do cafeeiro de forma total, ou seja, com eliminação de todos os tipos de brotos ladrões e a desbrota parcial, eliminando somente os ramos ladrões que vergam para o centro das ruas.
O ensaio foi instalado em uma lavoura da cultivar Catuai vermelho (IAC-144), irrigado sob Pivô central, com 6 anos de idade, de espaçamento 3,7 m x 0,5 m.
A partir dos resultados do estudo, os autores concluíram que o melhor tratamento foi a desbrota total em todos os anos, acrescentando 42% na produtividade (Tabela 1).

Tabela 1. Efeito da desbrota total e parcial em cafeeiros irrigados sob Pivô Central. Fonte: Santinato, Figueredo e Silva (2008).
Jordão Filho et al. (2017) estudaram a condução da brotação após poda do tipo decote e esqueletamento, a fim de obter informações sobre a desbrota, na região da Mogiana Paulista.
O estudo foi realizado com lavoura da cultivar Mundo Novo 379/19, espaçamento 3,5 x 0,70, plantadas em fevereiro de 2006.
Em agosto de 2013, foi iniciado o trabalho aplicando a poda, sendo para três tratamentos do tipo decote + esqueletamento (safra zero) e outros três apenas o decote, considerando um tratamento como testemunha, onde não recebeu nenhum tipo de poda.
Foi possível concluir que, em relação ao modo de condução das lavouras após a poda, a realização da desbrota apresentou melhores resultados a curto prazo (Tabela 2).

Tabela 2. Produtividade nas safras pós-poda em cafeeiros sob diferentes sistemas de poda e de condução da brotação apical e ortotrópicas (2017). As médias seguidas da mesma letra minúscula não diferem entre si na coluna, pelo Teste Scott Knott a 10 % de probabilidade.
Lacerda et al. (2016) realizaram um experimento com o intuito de verificar a influência da desbrota na primeira produção após a poda por esqueletamento associado ao decote em altura média.
Os ensaios foram instalados em modelo fatorial com duas cultivares e cinco tratamentos de condução de brotos, sendo uma da cultivar Mundo Novo IAC 376/4, com espaçamento de 3,8 x 0,8 m, e outra com a cultivar Catuai 99 com espaçamento 3,7 x 0,7 m. A poda foi realizada no inicio do mês de setembro com esqueletamento e decote a 1,7 m de altura.
Os resultados observados nesse estudo estão descritos na tabela abaixo (Tabela 3). Dessa forma, conclui-se que o sistema de livre crescimento, ou seja, sem desbrota, reduz significativamente a produtividade.

Tabela 3. Primeira produção após esqueletamento com decote a 1,7 m de altura em lavouras com diferentes sistemas de condução de brotos. (Varginha, 2016). Médias seguidas da mesma letra minúscula não diferem entre si na coluna, pelo teste Scott-Knott a 5% de probabilidade.
Portanto, apesar dos prejuízos provenientes da não realização da desbrota normalmente não serem percebidos no primeiro ano, quando os brotos ainda se encontram pequenos, os estudos mostram as consequências de não realizar a desbrota na produtividade da cultura.
Por isso, mesmo sendo uma prática dispendiosa e com grande demanda de mão de obra, a não realização dessa atividade, pode acarretar em prejuízos nas produtividades das safras seguintes e até redução da vida útil das plantas.
Estar por dentro das tendências, novidades e conhecimentos técnicos do mercado agrícola cafeeiro, é o que pode te diferenciar entre os profissionais da área.
Aquele que busca se destacar e criar carreira na cafeicultura, precisa estar se atualizando constantemente, afinal, o Agro não para e está cada vez mais exigente.
Com o curso Gestão na Produção de Café, isso é possível! Professores atuantes em campo, vão te passar por meio de dados reais, atuais e validados, as técnicas para atingir a excelência de produção. Domine as principais técnicas e destaque-se no mercado cafeeiro!

O post Desbrota na cultura do café: veja a importância de se realizar apareceu primeiro em Rehagro Blog.
]]>O post Análise foliar: como realizar a interpretação usando DRIS apareceu primeiro em Rehagro Blog.
]]>Entretanto, ela não deve ser usada em substituição à análise de solo, e sim como uma complementação e dessa forma auxiliar na tomada de decisão para as próximas adubações.
Sem tempo para ler agora? Baixe este artigo em PDF!
Como realizar uma amostragem foliar na sua lavoura de café:
1. Separar as áreas em glebas homogêneas de acordo com o histórico da área, cultivar, idade e manejo realizado.
2. Caminhar em zigue-zague na gleba.

3. Coletar no terço médio da planta o 3° e 4° par de folhas a partir da extremidade.

4. Coletar um par de folha de um lado da planta, e outro par de folhas deve ser coletado lado oposto deste, mas este último pode ser coletado em linhas diferentes, ou seja, não necessariamente na mesma planta que foi coletada de um lado, para não se ter a necessidade de cruzar as linhas.
Dessa forma, serão coletadas 25 plantas de um lado, e 25 plantas do lado contrário = totalizando 100 folhas.

5. As folhas coletadas não devem apresentar danos oriundos de pragas, doenças ou mesmo pela ação climática.
6. As folhas amostradas devem ser colocadas em sacos de papel devidamente identificados e enviadas ao laboratório.
A análise de folha pode ser realizada a qualquer momento, desde que se siga os padrões referenciais para cada época (tabela abaixo).
Tabela 1. Parâmetros para análise de folha do cafeeiro
** Faixas de variação nos teores foliares em cafezais com produção média entre 30-40 sacas beneficiadas / ha FOLHAS RECEM – AMADURECIDAS (Resultados na matéria seca).
Fonte: Fertibrás – Fonte: E. Malavolta / G.C.Vitti
É importante ressaltar, que deve-se realizar essa amostragem no mínimo 30 dias após a última adubação via solo ou via foliar para que não haja interferências.
Não é recomendado realizar a amostragem de folha próximo a dias que houve chuva, pois Moraes & Arens (1969), constataram ser o potássio facilmente lavado das folhas de plantas cultivadas, quando estas são lavadas, mostrando que o fenômeno pode ocorrer em condições de campo, graças à ação da água do orvalho ou das chuvas.
Da mesma forma, estudos realizados pela PROCAFÉ, mostram a lavagem e lixiviação do potássio das folhas de cafeeiros.
Tabela 2. Teores foliares de K em folhas de cafeeiros, submetidas ou não à lavagem, rápida ou demorada, Varginha MG, 2010. Fonte: PROCAFÉ, 2010.
Dessa forma, a lavagem e lixiviação do potássio das folhas de cafeeiros ocorrem de forma significativa, com redução do teor foliar desse nutriente, que pode ocorrer principalmente pela lavagem mais demorada, nas folhas verdes, e mais efetivas nas folhas secas.
Sistema Integrado de Diagnose e Recomendação, que considera o equilíbrio nutricional. O DRIS visa fazer comparações das relações dos nutrientes da amostra, dois a dois, com as do padrão, observando a sinergia e o antagonismo entre os mesmos.
O método DRIS, foi proposto por Beaufils (1973), desenvolvendo estudos com milho e seringueira na África do Sul.
Inicialmente o DRIS foi proposto como modelo para identificar fatores limitantes de produtividade. Entretanto, com o tempo, tem se mostrado muito mais eficiente como uma forma de interpretação de análise nutricional das plantas do que como modelo de produtividade agrícola (BATAGLIA, 1989).
Lavouras mais equilibradas normalmente apresentam menores IBN, enquanto que, lavouras com maiores IBN, indicam maior desequilíbrio nutricional, evidenciado pelos índices DRIS de nutrientes muito negativos (deficiência) ou muito positivos (excesso).

A base de interpretação pode variar de acordo com os técnicos, por exemplo, alguns consideram valores de índice DRIS menores que -1 como nutriente deficiente, e valores maiores que 1, como excesso, o intervalo de -1 a 1 é considerado adequado.
No entanto, alguns técnicos consideram a referência de -1,5, ou seja, se for menor que -1,5 consideram como nutriente deficiente, e se for maior que 1,5 nutriente em excesso, e o intervalo adequado é considerado de -1,5 a 1,5.
Estar por dentro das tendências, novidades e conhecimentos técnicos do mercado agrícola cafeeiro, é o que pode te diferenciar entre os profissionais da área.
Aquele que busca se destacar e criar carreira na cafeicultura, precisa estar se atualizando constantemente, afinal, o agro não para e está cada vez mais exigente.
Com o curso Gestão na Produção de Café, isso é possível! Professores atuantes em campo, vão te passar por meio de dados reais, atuais e validados, as técnicas para atingir a excelência de produção. Domine as principais técnicas e destaque-se no mercado cafeeiro!

O post Análise foliar: como realizar a interpretação usando DRIS apareceu primeiro em Rehagro Blog.
]]>O post Fósforo no café: importância de aplicação, sintomas de deficiência e recomendação apareceu primeiro em Rehagro Blog.
]]>A absorção de P é feita por difusão, que é caracterizada pelo movimento de íons em direção a raiz, em virtude do gradiente de concentração gerado na superfície radicular. O fósforo pode ser absorvido pelas formas: HPO42- e H2PO4– sendo esta última mais absorvida.

Devido aos solos brasileiros serem altamente intemperizados (argila 1:1) e com elevados teores de óxidos de ferro e alumínio, ocorre elevada fixação do fósforo no solo, dessa forma, o solo tem papel de dreno de fósforo, não deixando esse nutriente disponível para absorção pelas plantas.
Os sintomas de deficiência de fósforo aparecem inicialmente em folhas velhas, devido a mobilidade desse nutriente.
É caracterizado por folhas verdes e sem brilho, podem amarelecer e apresentar grandes manchas pardas ou violáceas na ponta e no meio.

A deficiência de fósforo resulta em diminuição na produção de ATP e NADPH, menor carboxilação e regeneração da RuBP, comprometendo assim a atividade fotossintética das plantas.
Para recomendação de adubação com fósforo em lavouras de café:
Para elevar o nível de fósforo no solo, calcula-se com base na tabela de Souza et al. (2007). Variando a quantidade de P2O5 com base no teor de argila e no extrator utilizado.
Tabela 1. Valores do fator CT (capacidade tampão de fósforo) para estimar a dose do adubo fosfatado, em função do teor de argila no solo, para os métodos de Mehlich 1 e resina.

Adaptado de Souza et al., 2007.
Dessa forma, se um solo possui 40% de argila, e for utilizado o extrator Mehlich 1 é necessário utilizar 30 kg P2O5/ha para elevar 1 mg/dm3 de fósforo.
Já se o extrator for resina, e o solo possuir o mesmo teor de argila de 40%, é necessário utilizar 14 kg P2O5/ha para elevar 1 mg/dm3 de fósforo.
** Quero atingir 25 mg/dm3 no solo e tenho 18 mg/ dm3:
25 mg/dm3 (quero atingir) – 18 mg/ dm3 (tenho no solo) = 7 mg/ dm3 (preciso aumentar 7 mg/ dm3 ).
De acordo com a tabela utilizando o extrator Mehlich 1 é necessário utilizar 30 kg P2O5/ha para elevar 1 mg/dm3 de fósforo, então:
Elevar 1 mg/dm3 ______ 30 kg P2O5/ha
Elevar 7 mg/ dm3 ______ X
X= 210 kg P2O5/ha
** Dessa forma, é necessário 210 kg de P2O5/ha
Se a fonte utilizada for o Superfosfato simples, que contém 18% de P2O5 :
100 kg de SS _____ 18 kg de P2O5
X _____ 210 kg de P2O5
X = 1.166,6 kg de superfosfato simples
X= 1,16 toneladas
** Quero atingir 40 mg/dm3 no solo e tenho 29 mg/ dm3:
40 mg/dm3 (quero atingir) – 29 mg/ dm3 (tenho no solo) = 11 mg/ dm3 (preciso aumentar 11 mg/ dm3 ).
De acordo com a tabela utilizando o extrator Resina é necessário utilizar 14 kg P2O5/ha para elevar 1 mg/dm3 de fósforo, então:
Elevar 1 mg/dm3 ______ 14 kg P2O5/ha
Elevar 11 mg/ dm3 ______ X
X= 154 kg P2O5/ha
** Dessa forma, é necessário 154 kg de P2O5/ha
Se a fonte utilizada for o MAP, que contém 48% de P2O5 :
100 kg de MAP _____ 48 kg de P2O5
X _____ 154 kg de P2O5
X= 320,8 kg de MAP
X =0,32 toneladas
Tabela 2. Fontes de fertilizantes fosfatados que podem ser utilizados:

Estudos sugerem a relação da matéria orgânica com a diminuição da adsorção de fósforo no solo, devido a liberação de ácidos que competem com os sítios de adsorção de P (Haynes, 1984).
Uma vez que, os ácidos possuem cargas negativas, que competem com os fosfatos, aumentando assim a disponibilidade de P para as plantas.
A diferença entre os extratores Mehlich 1 e Resina é que o método de Mehlich 1 (ácido clorídrico + ácido sulfúrico) utiliza um extrator fortemente ácido, dessa forma, esse método pode extrair o fósforo ligado ao cálcio, que não está disponível para as plantas. Por isso, solos adubados com fosfatos de baixa solubilidade, como fosfatos naturais, e com a utilização desses extratores ácidos pode extrair quantidades de fósforo superiores àquelas consideradas disponíveis. Além disso, em solos argilosos, esse mesmo extrator, pode subestimar os valores de P disponíveis, apresentando valores menores devido ao fato de os extratores serem mais desgastados nesses solos, quando comparados aos solos arenosos (Novais & Kamprath, 1979; Muniz at el., 1987).
Já o extrator Resina fundamenta-se na premissa de simular o comportamento do sistema radicular das plantas na absorção de fósforo do solo (Raij, 1978). Esse processo gera a adsorção de P na solução nas cargas positivas da resina e, como consequência, há a remoção do P adsorvido na superfície das partículas do solo. Dessa forma, a resina não superestima a disponibilidade de P em solos tratados com fosfatos naturais, como ocorre com os extratores ácidos.
Este trabalho mostra a eficiência do extrator resina.
Tabela 3. Comparação de métodos 70 trabalhos (Silva e Raij, 1999)

Fonte: RAIJ
Este trabalho mostra o comportamento dos extratores em 4 experimentos de calagem, sendo observado o extrator resina mais sensível que o extrator mehlich 1, que não apresentou diferenças estatísticas.
Tabela 4. P no solo em experimento de calagem – com soja – Ribeirão Preto SP.

Fonte: RAIJ
A aplicação do adubo fosfatado é realizada normalmente nos meses de outubro e novembro. No entanto, quando necessária a prática da calagem nos solos, deve-se ficar atento com a aplicação desse fertilizante.
Por isso, quando possível é recomendada antecipadamente a aplicação de calcário nos meses de abril/maio, para que no inicio da safra, setembro e outubro, possa ser aplicado sem problemas.
Deve-se aproveitar o período de plantio para aplicação do fósforo no sulco, isso porque esse nutriente apresenta grande interação com o solo, dessa forma, nessa fase é importante sua colocação próxima as raízes do cafeeiro, pois por ser uma cultura perene, dificilmente terá outra oportunidade de coloca-lo neste local.
Para essa aplicação, é importante ter o cuidado somente com a aplicação do adubo fosfatado com o calcário, devido a sua complexação acarretar em indisponibilidade as plantas.
A cafeicultura é oscilante, mas nos últimos tempos, as safras têm ganhado cada vez mais destaque e valorização. Aquele que se prepara, produz mais, lucra mais e já consegue planejar os próximos passos para que a próxima safra seja ainda mais produtiva.
Se você busca esse resultado, comece se atualizando com as novas técnicas de mercado.
No curso online Gestão na Produção de Café, você aprenderá com quem entende do assunto, pois os professores atuam em fazendas comerciais e passarão o conhecimento a você. Não perca mais tempo e tire suas dúvidas:

O post Fósforo no café: importância de aplicação, sintomas de deficiência e recomendação apareceu primeiro em Rehagro Blog.
]]>O post Principais doenças do café: identificação e sintomas apareceu primeiro em Rehagro Blog.
]]>Esses são sintomas de doenças importantes que geram redução significativa na produtividade e qualidade do café e, consequentemente, redução do preço da saca vendida e da sua lucratividade.
Neste texto, colocamos algumas fotos que podem ajudar na identificação das principais doenças que podem afetar o cafeeiro.
Sem tempo para ler agora? Baixe este artigo em PDF!
Os sintomas da Ferrugem se iniciam com pequenas manchas cloróticas translúcidas, localizadas na face inferior das folhas.
Essas lesões se desenvolvem, formando massas pulverulentas de coloração amarelo-alaranjado.
Ferrugem-do-cafeeiro. Fonte: Equipe Rehagro
A Cercosporiose pode atacar tanto folhas quanto frutos em desenvolvimento.
Nas folhas, os sintomas característicos são manchas circulares de coloração castanho-clara a escura, com o centro branco-acinzentado, quase sempre envolvidas por um halo amarelado.
Nos frutos, os sintomas são pequenas manchas necróticas e deprimidas, de cor marrom a negra, estendendo-se no sentido dos pólos do fruto.
Cercosporiose. Fonte: Equipe Rehagro
Phoma. Fonte: Equipe Rehagro
Os sintomas da Phoma são manchas irregulares de coloração escura nas folhas, iniciando, geralmente, nos bordos, podendo provocar curvaturas.
Nos ramos, pode-se observar lesões deprimidas e escuras, que podem envolver todo diâmetro do ramo e causar seca da extremidade ou do ponteiro.
Os sintomas da Mancha aureolada são manchas de cores pardas, circundadas por um grande halo amarelo.

Mancha aureolada. Fonte: Equipe Rehagro

Rizoctoniose. Fonte: Equipe Rehagro
A Cercosporiose é uma doença causadora de enormes perdas na produção e prejuízos ao produtor! O fungo causa queda das folhas, diminuindo o desenvolvimento da planta e afetando a produtividade.
Além disso, os frutos apresentam um processo de maturação acelerada, resultando em mal granados ou em queda precoce dos mesmos em vários estádios de crescimento, podendo resultar em fermentações indesejadas.
Saiba mais sobre essa doença, seu ciclo, condições favoráveis a ele e sobre seu controle no nosso E-book Cercosporiose do Cafeeiro.
Fique de olho nesses vilões que podem comprometer sua produção e os seus lucros!
Além da identificação de doenças, a identificação e controle das pragas, como o bicho mineiro e a broca do café, que são grandes causadoras de defeitos nos grãos de café, também é fundamental.
E lembre-se de que as medidas preventivas de controle são sempre o melhor caminho para evitar prejuízos.
Para isso, é necessário o cuidado desde a implantação da lavoura, passando pela realização cuidadosa de todas as etapas do manejo até uma colheita e pós-colheita de qualidade.

O post Principais doenças do café: identificação e sintomas apareceu primeiro em Rehagro Blog.
]]>O post Centenas de cultivares de café: qual plantar? apareceu primeiro em Rehagro Blog.
]]>
Em novembro de 2019, fizemos a transmissão de um Webinar sobre centenas de cultivares de café. O palestrante foi Vinicius Andrade, Engenheiro Agrônomo pela UFLA, Doutor em genética e melhoramento de plantas pela IAC e Consultor em Cafeicultura e Pesquisador do Rehagro.
O tema ainda é extremamente relevante no ramo e diversos profissionais buscam aumentar seus conhecimentos sobre o assunto.
Se você é um deles, não perca a chance de assistir ao nosso 4º Webinar Café! Trata-se de uma palestra gratuita feita por nós, Grupo Rehagro, em parceria com o 3RLab.
Se tiver dúvidas ou ressalvas, deixe seu comentário registrado. Nossa equipe técnica irá respondê-lo.
Clique no botão abaixo e participe dessa incrível experiência do agronegócio!
O post Centenas de cultivares de café: qual plantar? apareceu primeiro em Rehagro Blog.
]]>O post Adubação com ureia: como melhorar a eficiência? apareceu primeiro em Rehagro Blog.
]]>Isso ocorre devido à formação do gás amônia (NH3), que é volátil, sendo uma das etapas intermediárias da hidrolise da ureia no solo.
A ureia é um fertilizante nitrogenado amídico (NH2)2, porém, as plantas absorvem o nitrogênio na forma nítrica (NO3-) e amoniacal (NH4+), assim, o nitrogênio sofre transformações no solo para ficar disponível para as plantas, conforme as figuras a seguir.
Sem tempo para ler agora? Baixe este artigo em PDF!
Na reação 1, a ureia (CO (NH2)2) é solubilizada pela água e por meio da ureia se forma-se Carbonato de Amônio ((NH4)2CO3), e na sequência forma Amônia (NH3), que é um composto altamente volátil.

Na reação 2, que é uma reação reversível, ou seja, ela não é estável, a Amônia (NH3) junta-se a água e forma-se Amônio (NH4+).
Esta reação é regida pelo pH do solo, se tiver condição de pH abaixo de 6,0 em água, forma-se Amônio (NH4+), que é a forma que as plantas absorvem, se tiver com pH acima de 8, forma-se Amônia (NH3) e fica sujeita a volatilização.
O fertilizante Sulfato de Amônia, tem pouca perda por volatilização, porque o Sulfato (SO4) promove redução do pH ao redor do grânulo do fertilizante, favorecendo a formação de Amônio (NH4+).

Após a formação do Amônio (NH4+) se tivermos algumas condições como boa disponibilidade de oxigênio, que beneficia bactérias Nitrossomas e Nitrobacter, o Amônio (NH4+) poderá se transformar em Nitrato (NO3-), sendo esta uma reação irreversível, ficando assim, sem risco de perda por volatilização.

Em solos úmidos, ocorre maior volatilização da ureia, isso porque com a umidade no solo, há um aumento da difusão de ureia, dessa forma, acarreta maior contato com a urease no solo. (LORENSINI et al., 2012).
Assim, a condição ideal para aplicação da ureia seria solo seco com boa previsão de chuvas nas próximas horas.
A urease é uma enzima produzida por bactérias, fungos de solo, ou mesmo originada de restos vegetais, essa enzima é responsável pela hidrolise da ureia (CO (NH2)2), acarretando assim em volatilização de amônia.
Portanto, em condições de muita matéria orgânica, como lavouras manejadas com braquiária ou lavouras com materiais vegetais oriundos de podas, é desejável utilização de uma outra fonte de nitrogenado ou ureias com inibidores de urease.
A aplicação de ureia em solos com condições de pH acima de 8, irá favorecer para que fique na forma de Amônia (NH3) que é a forma onde ocorre a volatilização.
Solos compactados terão menor disponibilidade de oxigênio, assim, nesta situação terá menor disponibilidade de bactérias aeróbicas Nitrobacter e Nitrossomas, que transformam o Amônio (NH4+) em Nitrato (NO3-), assim, devemos sempre estar atentos a compactação do solo.
Nesta imagem podemos ver lavoura com boa disponibilidade de palhada, que poderá favorecer a Urease.

No resultado da pesquisa desenvolvida por Chagas et al. (2016) fica evidente o risco da ureia em perder nitrogênio por volatilização, numa avaliação realizada em duas safras, enquanto o Nitrato de Amônio perdeu 4 kg/ha, a Ureia perdeu 166 kg/ha.

O indicador que utilizamos em nossos clientes de consultoria para verificar a eficiência, é quantos quilos de nitrogênio tenho gasto por saca de café produzida. Para chegar a este número deve-se dividir o total de nitrogênio gasto por safra pelo total de sacas de café produzida.
É importante avaliar este indicador por biênios, pois avaliando em um ano somente poderá ser mascarado pela bienalidade da produção.
O benchmarking para este indicador é a faixa de 6 a 8 kg de N/sc.
Na figura a seguir temos o resultado em kg de N/ano, sc/ha e kg de N/sc em seis safras.

A cafeicultura é oscilante, mas nos últimos tempos, as safras têm ganhado cada vez mais destaque e valorização. Aquele que se prepara, produz mais, lucra mais e já consegue planejar os próximos passos para que a próxima safra seja ainda mais produtiva.
Se você busca esse resultado, comece se atualizando com as novas técnicas de mercado.
No curso online Gestão na Produção de Café Arábica, você aprenderá com quem entende do assunto, pois os professores atuam em fazendas comerciais e passarão o conhecimento a você. Não perca mais tempo e tire suas dúvidas:


O post Adubação com ureia: como melhorar a eficiência? apareceu primeiro em Rehagro Blog.
]]>O post Broca-do-café: saiba como realizar o seu monitoramento e controle apareceu primeiro em Rehagro Blog.
]]>Os machos dessa espécie são menores que as fêmeas, com cerca de 1,18 mm de comprimento, e não voam. Já as fêmeas dessa espécie, são maiores (1,65 mm) que os machos e voam, possibilitando assim que elas voem em direção aos frutos.
O ciclo dessa espécie dura em torno de 17 a 46 dias de acordo com as condições climáticas, visto que em temperaturas mais altas acarreta em encurtamento do ciclo dessa praga.
A fêmea fecundada perfura o fruto de café, faz uma galeria no seu interior e coloca seus ovos, de coloração branco leitosa.
Após a eclosão dos ovos, que dão origem às larvas, elas se alimentam das sementes, causando danos às mesmas.
Ciclo de vida da broca do cafeeiro (Fonte: Rehagro)

Fonte: Arquivo Rehagro
Os danos causados pela incidência de broca no cafeeiro vão de queda prematura dos frutos, redução do peso dos grãos de café dependendo da infestação e depreciação do tipo do café devido ao aumento de grãos brocados. Na classificação física, de 2 a 5 grãos brocados é considerado um defeito.
Além disso, os orifícios nos grãos causados pelas larvas da broca podem servir como porta de entrada para patógenos, podendo assim ocorrer fermentações indesejáveis, que comprometem a qualidade da bebida.

Larvas da broca se alimentando de grãos de café e grãos brocados (Foto: Larissa Cocato).
A broca do café sobrevive no campo de uma safra para outra nos frutos remanescentes da colheita estejam eles na planta ou no chão, por isso, uma colheita mal feita, lavouras abandonadas próximas e um período úmido na entressafra são condições que favorecem a sobrevivência dessa praga.
É importante realizar o monitoramento e bom controle da broca do café, devido aos prejuízos causados:

Fonte: Larissa Cocato
Além disso, o monitoramento torna-se uma ótima ferramenta devido a dificuldade de controle dessa praga no período que as larvas se encontram dentro dos frutos se alimentando das sementes.
O monitoramento deve iniciar a partir do momento que haja insetos em trânsito, que pode ser diagnosticado por armadilhas ou visualmente nas lavouras.
O “período de trânsito”, é o período em que as fêmeas adultas dessa praga perfuram os frutos verdes chumbões aquosos, na região da coroa dos frutos.

Fonte: Larissa Cocato
Para amostragem deve-se primeiramente dividir a lavoura em talhões homogêneos. Quanto ao tamanho do talhão, deve-se evitar talhões muito extensos, sendo preferido talhões menores. É importante caminhar em zigue-zague na lavoura.

Fonte: Larissa Cocato
Destacamos os seguintes tópicos:

Fonte: EPAMIG, 2013
Após a soma de todos os pontos, que resultará no total de frutos broqueados nos 30 cafeeiros monitorados, dividir esse valor por 18 (fator fixo), o que dará a porcentagem de infestação.
| Porcentagem de infestação = TFF/18 |
Para amostragem deve-se primeiramente dividir a lavoura em talhões homogêneos. Quanto ao tamanho do talhão, deve-se evitar talhões muito extensos, sendo melhor talhões menores. Novamente, é importante caminhar aleatoriamente na lavoura a fim de avaliar 30 ramos de café em um talhão. Além disso, devemos levar em consideração os seguintes tópicos:
Com base no calculo de infestação, partir para a tomada de decisão.

Fonte: Larissa Cocato
Com relação ao índice de controle, tem-se na literatura de 3 a 5%, entretanto, na prática já se tem entrado com o controle com 1% de infestação, devido a rapidez que essa praga se desenvolve a causa prejuízos ao cafeeiro, e além disso, devido a alguns produtos com efeito residual como por exemplo os princípios ativos: Ciantraniliprole, Clorantraniliprole + Abamectina e Espinosade, terem boa eficiência com infestações mais baixas dessa praga, de 0,5 a 2%.

FONTE: Isaza, et al., 2017
A cafeicultura é oscilante, mas nos últimos tempos, as safras têm ganhado cada vez mais destaque e valorização. Aquele que se prepara, produz mais, lucra mais e já consegue planejar os próximos passos para que a próxima safra seja ainda mais produtiva.
Se você busca esse resultado, comece se atualizando com as novas técnicas de mercado.
No curso online Gestão na Produção de Café, você aprenderá com quem entende do assunto, pois os professores atuam em fazendas comerciais e passarão o conhecimento a você. Não perca mais tempo e tire suas dúvidas:

O post Broca-do-café: saiba como realizar o seu monitoramento e controle apareceu primeiro em Rehagro Blog.
]]>O post Pontos de atenção para a garantia da lucratividade na produção de café apareceu primeiro em Rehagro Blog.
]]>
Em agosto de 2019, fizemos a transmissão de um Webinar Café sobre pontos de atenção para a garantia da lucratividade na produção cafeeira. O palestrante foi Luiz Paulo Vilela, Engenheiro Agrônomo pela UFLA e Coordenador e Consultor Equipe Café do Rehagro.
O tema ainda é extremamente relevante no ramo e diversos profissionais buscam aumentar seus conhecimentos sobre o assunto.
Se você é um deles, não perca a chance de assistir ao nosso 2º Webinar Café! Trata-se de uma palestra gratuita feita por nós, Grupo Rehagro, em parceria com o 3RLab.
Se tiver dúvidas ou ressalvas, deixe seu comentário registrado. Nossa equipe técnica irá respondê-lo.
Clique no botão abaixo e participe dessa incrível experiência do agronegócio!
O post Pontos de atenção para a garantia da lucratividade na produção de café apareceu primeiro em Rehagro Blog.
]]>O post Potássio no café: importância de aplicação, sintomas de deficiência e recomendação apareceu primeiro em Rehagro Blog.
]]>A forma absorvida pelas raízes das plantas é K+. Concentrações elevadas de Ca+2 e Mg+2 reduzem a absorção do potássio por inibição competitiva.
O nutriente é importante para:

Fonte: Larissa Cocato
Também é importante destacar o enchimento dos grãos (o potássio auxilia no transporte e armazenamento de carboidrato).

Fonte: Larissa Cocato
Devido à mobilidade do potássio nos tecidos, em condições de baixo suprimento de K no meio, esse nutriente é redistribuído das folhas mais velhas para as mais novas, dessa forma, os sintomas de deficiência de K ocorrem primeiramente nas folhas mais velhas, com uma clorose, seguida de necrose nas pontas e margens das folhas.

Fonte: Daniel Veiga
A recomendação de potássio deve ser feita com base no teor de potássio no solo e a expectativa para produção e vegetação.
Para a cultura do café, trabalhamos com cerca de 120 mg/dm3 de potássio no solo ou de 0,30 a 0,35 cmolc/dm3 no solo. Para calcular a dose recomendada para a cultura considerando a vegetação e produção, utilizamos a seguinte fórmula:
K (kg/ha) = (produção x 3) + (vegetação x 2,9)
Para o calculo de adubação consideramos:
ADUBAÇÃO = (NÍVEL DE SEGURANÇA SOLO) + ADUBAÇÃO PARA PRODUÇÃO E VEGETAÇÃO
120 mg/dm3 (quero atingir) – 90 mg/dm3 (tenho no solo) = 30 mg/dm3 (preciso aumentar no meu solo para manter o nível de segurança)

Para aumentar 1 cmolc/dm3 é necessário 942 Kg de K2O por hectare:
1 cmolc/dm3 de K ______ 942 Kg de K2O/ha
0,07 cmolc/dm3 ______ X
X = 65,9 Kg de K2O/ha
Cálculo para extração:
K (kg/ha) = (produção x 3) + (vegetação x 2,9)
K (kg/ha) = (40 sc x 3) + (25 sc x 2,9) = 120 + 72,5 = 192,5 kg de K2O por hectare
ADUBAÇÃO = 65,9 Kg de K2O/ha + 192,5 kg de K2O/ha = 258,4 kg de K2O/ha
Dessa forma, para a recomendação de adubação considerando esse solo que possui 90 mg/dm3 e uma produção esperada de 40 sacas/ha naquele ano agrícola e na safra seguinte de 25 sacas/ha, é calculado 258,4 kg de K2O/ha.
Se considerar a mesma produção esperada do exemplo anterior: produção esperada de 40 sacas/ha naquele ano agrícola e na safra seguinte de 25 sacas/ha. Mas considerar um teor de potássio no solo de 153 mg/dm3
Para esse exemplo, como o teor de potássio no solo está acima do níve de segurança, calculamos a quantidade recomendada para produção e vegetação e descontamos esses 30 mg/dm3 que estão a mais 153 mg/dm3 – 120 mg/dm3 = 33 mg/dm3
Cálculo para extração:
K (kg/ha) = (produção x 3) + (vegetação x 2,9)
K (kg/ha) = (40 sc x 3) + (25 sc x 2,9) = 120 + 72,5 = 192,5 kg de K2O por hectare

*Para aumentar 1 cmolc/dm3 é necessário 942 Kg de K2O por hectare:
1 cmolc/dm3 de K ______ 942 Kg de K2O/ha
0,08 cmolc/dm3 ______ X
X = 75,4 Kg de K2O/ha
ADUBAÇÃO = 192,5 kg de K2O por hectare(para produção e vegetação) – 75,4 Kg de K2O/ha (reserva do solo) = 117,1 Kg de K2O/ha.
Neste exemplo, devido ao maior teor de potássio presente no solo, descontamos o que está passando do nosso nível de segurança, e a recomendação é de 117,1 Kg de K2O/ha.

Das fontes citadas acima a mais utilizada é o cloreto de potássio devido ao seu menor custo quando comparado as outras fontes.
Deve-se ter no solo uma boa relação Ca:Mg:K sendo de 9:3:1 ou 25:5:1, a fim de que não haja problemas na absorção de nenhum desses nutrientes, considerando a importância de cada um deles no metabolismo das plantas.

Fonte: Larissa Cocato
Por isso, apesar de tentarmos sempre trabalhar com cerca 0,30 a 0,35 cmolc/dm3 no solo, é importante levar em consideração os níveis de cálcio e magnésio do solo e priorizar o equilíbrio nesses nutrientes:
Ex: Em um solo que possui 2,0 cmolc/dm3 de cálcio e 0,5 cmolc/dm3 de magnésio, deve-se buscar trabalhar com cerca de 0,20 – 0,25 cmolc/dm3 de potássio, a fim de respeitar esse equilíbrio entre eles.
Um ponto de atenção quando se refere a adubação na cafeicultura é a utilização intensiva do fertilizante formulado 20-00-20 (que contém: 20% de nitrogênio e 20% de potássio). Isso porque, seu grande uso acarretou em altos níveis de potássio em algumas áreas, dessa forma, podendo proporcionar inibição competitiva na absorção de cálcio e magnésio, nutrientes esses importantes na constituição da parede celular e na composição da molécula de clorofila.
Desta forma, deve-se atentar para o equilíbrio desses nutriente ao solo, evitando prejuízos ao metabolismo da planta.
Para a adubação com potássio, recomenda-se o parcelamento em pelo menos 3 vezes, podendo ser nos meses, novembro, dezembro e março, ou podendo variar de acordo com as condições de chuva.
Em solos arenosos, com baixa CTC, com chuvas intensas podem acarretar em lixiviação desse nutriente, por isso, ressalta-se a importância de se parcelar essa adubação.
A cafeicultura é oscilante, mas nos últimos tempos, as safras têm ganhado cada vez mais destaque e valorização. Aquele que se prepara, produz mais, lucra mais e já consegue planejar os próximos passos para que a próxima safra seja ainda mais produtiva.
Se você busca esse resultado, comece se atualizando com as novas técnicas de mercado.
No curso online Gestão na Produção de Café, você aprenderá com quem entende do assunto, pois os professores atuam em fazendas comerciais e passarão o conhecimento a você. Não perca mais tempo e tire suas dúvidas:

O post Potássio no café: importância de aplicação, sintomas de deficiência e recomendação apareceu primeiro em Rehagro Blog.
]]>O post Plantas daninhas de difícil controle na cultura do café: veja as principais apareceu primeiro em Rehagro Blog.
]]>Em virtude das facilidades de uso do glifosato, seu uso intensivo tem selecionado plantas tolerantes nos cafezais.
Podemos citar o caso do capim amargoso (Digitaria insularis), a buva (Conyza spp), a corda de viola (Ipomoea spp), capim pé de galinha (Eleusine indica) entre outras. Nestes casos, o manejo deve ser realizado conjugando ao glifosato outros herbicidas com modo de ação diferentes.

Capim amargoso (Digitaria insularis) na entrelinha do cafeeiro. (Foto: Diego Baquião).
O capim amargoso (Digitaria insularis) é uma planta daninha perene pertencente à família Poaceae, com altura em torno de 50 a 100 cm, formando pequenas touceiras. Sua reprodução se dá através de curtos rizomas e sementes (Lorenzi, 2014), sendo difícil seu controle após a floração, pelo fato dos principais herbicidas que possuem ação sobre esta planta são herbicidas que agem no meristema apical da planta.
Essa espécie apresenta grande potencial de infestação, por apresentar pequenas sementes pilosas, que podem ser carregadas facilmente pelo vento a longas distâncias.

Capim Amargoso em Lavora de Café (Foto: Diego Baquião)
Os herbicidas que possuem ação nesta espécie daninha, são os inibidores de Acetil Coenzima A Carboxilase (ACCAse). Estes herbicidas são seletivos para o cafeeiro, visto que a planta de café não possui esta enzima. Dentre os herbicidas deste grupo podemos citar:
Esta enzima, ACCAse, é uma enzima presente no meristema de crescimento da planta, portanto o estádio de desenvolvimento da planta é chave para o sucesso no controle, assim, devemos ter as seguintes ações:
Aplicação de Glifosato + Inibidor de ACCAse + Óleo
2. Plantas de Capim Amargoso já florescidas:
Capina mecânica via roçadeira ou trincha com aplicação de Glifosato + Inibidor de ACCAse + Óleo quando as plantas de Amargoso iniciarem a rebrota com boa área foliar para absorção do produto.

Buva (Conyza spp) (Foto: Larissa Cocato)
A buva ou voadeira (Conyza spp) é uma planta anual, com alta produção de sementes, podendo produzir até 200.000 sementes por planta. Em virtude da sua resistência ao glifosato, seu controle no cafeeiro ficou mais difícil. Por isso, o controle dessa planta deve ser feito, quando ainda nova.

Ocorrência de Buva (Conyza spp) no cafeeiro. (Foto: Larissa Cocato).
No controle químico, pode-se utilizar inseticidas inibidores da Protox, que atuam inibindo a atuação da enzima protoporfirinogênio oxidade, como é o caso dos ingredientes ativos: Oxyfluorfen, Flumioxazin e Saflufenacil.
Também pode se utilizar herbicidas inibidores da enzima acetolactato sintase (ALS), como por exemplo o Metsulfuron. Vale destacar que esse herbicida é sistêmico e pode acarretar em problemas no desenvolvimento radicular se atingir o cafeeiro. A aplicação sequencial é uma opção dependendo do nível de infestação de buva no cafeeiro, para o controle químico ser eficiente as plantas devem estar menores que 25 cm, conforme o tamanho da planta vai aumentando a eficiência no controle vai diminuindo.

Capim pé de galinha (Eleusine indica) (Foto: Flávio Moraes)
O capim-pé-de-galinha (Eleusine indica) é um monocotiledonia da família Poaceae (Gramineae), anual, com aproximadamente 30 a 50 cm de altura, formando densas touceiras (Lorenzi, 2014). Sua reprodução é via sementes, com produção média de 40 mil sementes por planta.

Capim pé de galinha (Eleusine indica). (Foto: Flávio Moraes).
Para o manejo do Capim pé de galinha, deve-se realizar a triações em plantas jovens na entressafra e capina química no preparo da colheita.
Como em alguns casos, essa planta daninha adquiriu resistência ao glifosato, pode-se optar pela utilização de inibidores da ACCase, como fluazifop ou haloxyfop, em pós-emergência, que proporcionam bom controle do capim-pé-de-galinha. Além disso, pode ser utilizado o flumioxazin (inibidores da PROTOX). No entanto, em outros casos, o glifosato sequencial tem resolvido. Salienta-se a importância de se rotacionar mecanismos de ação.

Figura 7. Manejo cafeeiro com braquiária na entrelinha (Foto: Luiz Paulo Vilela.)
A utilização da braquiária como cobertura do solo na entrelinha do cafeeiro, é uma opção de manejo, com o intuito de suprimir o aparecimento de plantas daninhas. Além disso, este manejo protege o solo, reduzindo assim o risco de erosão, acarreta em aumento do teor de matéria orgânica no solo, reduz a amplitude térmica no solo e também reduz a utilização de herbicidas na entrelinha do cafeeiro, isso porque o controle químico será realizado apenas na linha de plantio (projeção da “saia” do cafeeiro), e a braquiária na entrelinha do cafeeiro será manejado por meio de roçadas.
Para a condução dessa gramínea na área, recomenda-se que se realize a roçada antes do seu florescimento, para que não ocorra a germinação de sementes próximas ao cafeeiro. Além disso, é importante que essas plantas sejam manejadas respeitando a distância de 1 metro de cada lado da linha do cafeeiro (Souza et al., 2006), a fim de que essas plantas não exerçam competição com o cafeeiro, podendo acarretar em prejuízos.
Portanto, devemos ficar atentos a realização de um controle eficiente de plantas daninhas nas lavouras de café, buscando sempre manejar essas plantas invasoras nas suas fases iniciais, para que seu controle possa ser mais eficiente e não haja competição com a cultura de interesse. Nesse sentido, destaca-se também a importância de se rotacionar mecanismos de ação dos herbicidas, a fim de não selecionarmos plantas resistentes.
Além disso, podemos contar com estratégias de manejo que auxiliem na supressão de plantas daninhas, como é o caso na utilização de braquiária na entrelinha do cafeeiro.
Estar de acordo com as novas técnicas de mercado é de suma importância para quem deseja produzir cafés com excelência.
Desde a implantação da lavoura, gestão de equipe na fazenda, manejos como a fertilidade e proteção, ou mesmo as fases finais de colheita e pós-colheita, é preciso ter domínio e segurança, caso queira obter sucesso.
Por isso, no Rehagro há o curso online Gestão na Produção de Café, onde professores atuantes em campo, ensinam de forma prática, atualizada e validada essas técnicas. Clique abaixo e conheça um pouco mais sobre esse curso:

![]()
O post Plantas daninhas de difícil controle na cultura do café: veja as principais apareceu primeiro em Rehagro Blog.
]]>O post Como realizar a calibração de um pulverizador costal para a cultura do café? apareceu primeiro em Rehagro Blog.
]]>1. Primeiro deve-se abastecer o pulverizador somente com água.
2. O pulverizador costal deve ser colocado nas costas do aplicador e ser ajustada a alça para que o equipamento fique confortável. (É importante que o aplicador esteja utilizando equipamentos de proteção individual (EPI’s)).
3. Peça para que o aplicador pulverize a água nas plantas de café caminhando a uma distância marcada de 20 metros por exemplo. Nesta etapa é importante que o aplicador ande em uma velocidade confortável e mantenha a velocidade e a pressão (em casos de pulverizadores costais manuais) sempre constante.
Sem tempo para ler agora? Baixe este artigo em PDF!
4. Posteriormente, deve-se medir a quantidade de água necessária para reabastecer o tanque do pulverizador, para dessa forma verificar qual foi a quantidade de água gasta naquele percurso.
Nesta etapa é importante utilizar calibradores graduados para medir com mais precisão o volume aplicado.
5. Essa prática deve ser repetida por mais duas ou três vezes para que se calcule o gasto médio de água durante esta aplicação, nessa mesma distância (20 metros).
6. Considerando a cultura do café, com um espaçamento de 3,6 m entre ruas e 0,75 m entre plantas, equivale a 36 metros quadrados pulverizados, isso porque, como a pulverização atingira apenas metade da copa do café, a área pulverizada é com base em 20 metros andados multiplicado pela metade do espaçamento entre as ruas. Dessa forma:
7. Se neste percurso (36 m2), a quantidade de água média medida nas três pulverizações teste foi de 900 ml (0,9 litros), a quantidade em um hectare será de:
36m² ————— 0,9 litros
10.000 m² —————— X
X = 250 litros de calda por ha
8. Se a dosagem do produto é de 400 ml por hectare, considerando uma capacidade do tanque do pulverizador de 20 litros:
250 l ———— 400 ml de produto por h
20 l ——————- X
X = 32 ml
Dessa forma, será recomendado para cada um tanque desse pulverizador cheio, 32,0 ml de produto.
9. Da mesma forma, se o produto recomendado for em quilograma, como por exemplo: 2,0 kg por hectare, considerando o mesmo volume do tanque, de 20 litros:
250 l —————- 20 kg de produto por ha
20 l —————- X
X = 0,16 kg = 160 gramas
Dessa forma, será recomendado para cada um tanque desse pulverizador cheio, 160 gramas de produto, que deve ser medido com balança de precisão.
10. Para pulverizar um hectare, será necessário abastecer o tanque do pulverizador 13 vezes, isso porque:
Observações:
Após a calibração das doses e volume de calda, é importante que a pulverização atinja seu alvo, para que o produto fitossanitário exerça sua ação.
Isso porque, mesmo na quantidade adequada do produto químico, se ele não atingir seu alvo, haverá perdas de eficácia na pulverização.
Por isso, para avaliar a pulverização, podem ser utilizados papeis hidrossensíveis, que devem ser colocados nas plantas, e após isso, realizar uma pulverização teste com água nessas plantas, caminhando normalmente com o pulverizador. Esses papeis quando em contato com água, desenvolvem manchas azuis muito nítidas, dessa forma, eles podem ser utilizados para avaliar a cobertura daquela pulverização.
Tabela 1. Condições ideais para aplicação.
“Plantas daninhas em cafeeiros: como fazer o manejo?”
“Principais doenças do café: como identificá-las”

O post Como realizar a calibração de um pulverizador costal para a cultura do café? apareceu primeiro em Rehagro Blog.
]]>O post Como calcular soma de bases, CTC’s, saturação por bases e saturação por alumínio? apareceu primeiro em Rehagro Blog.
]]>Este material mostra as fórmulas com exemplos práticos para que você saiba realizar esses cálculos.
Sem tempo para ler agora? Baixe este artigo em PDF!

Figura 1. Trado holandês com amostra de solo em lavoura de café (Foto: Larissa Cocato)
Com base em uma análise de solo retirada na projeção da saia do cafeeiro, na profundidade de 0-20 cm temos o seguinte resultado:


Tabela 1. Resultado da análise de solo de 0 – 20 cm de profundidade em lavoura de café.
É a soma de cátions permutáveis, exceto H+ e Al3+.
Com base nos valores da análise de solo, temos o seguinte exemplo:
Ex: SB = 3,21 cmolc/dm³ + 1,61 cmolc / dm³ + (126,6 mg/dm³/391) = 5,14 cmolc/dm³
*OBS: na análise de solo o potássio é dado em mg/dm3, para passar para cmolc/ dm3 é necessário dividir por 391.
É a capacidade de troca de cátions do solo no seu pH natural.
Com base nos valores da análise de solo, temos o seguinte exemplo:
Ex: t = 0,25 cmolc/dm³ + 3,21 cmolc/dm³ + 1,61 cmolc /dm³ + (126,6 mg/dm³/391) = 5,39 cmolc/dm³
É a capacidade de troca de cátions a pH 7,0.
Com base nos valores da análise de solo, temos o seguinte exemplo:
Ex: T = 5,14 cmolc/dm³ + 4,05 cmolc/dm³ = 9,19 cmolc/dm³
É a soma das bases trocáveis expressa em porcentagem de capacidade de troca de cátions.
Com base nos valores da análise de solo, temos o seguinte exemplo:
Ex: V% = (5,14 cmolc/dm³ x 100) / 9,19 cmolc/dm³ = 55,9%
Representa quantos % da CTC efetiva estão ocupados pelo Al.
Com base nos valores da análise de solo, temos o seguinte exemplo:
Ex: m% = (0,25 cmolc/ dm3 x 100) / 5,39 cmolc/ dm3 = 4,6 %
Cátions da CTC potencial = (Teor do cátion / T) * 100
Com base nos valores da análise de solo, temos os seguintes exemplos:
Ex: (3,21 cmolc/dm3/ 9,19 cmolc/dm3) * 100 = 34,9 %
Ex: (1,61 cmolc/dm3 / 9,19 cmolc/dm3) * 100 = 17,5 %
Ex: [(126,6 mg/dm3 / 391) / 9,19 cmolc/ dm3) * 100 = 3,5 %
Figura 2. Esquema mostrando as informações necessárias para calcular a CTC potencial (a pH 7,0) (T), CTC efetiva (t) e soma de bases (SB). (Fonte: Rehagro)

Tabela 2. Soma de bases, CTC efetiva e potencial, saturação por bases e saturação por alumínio, de análise de solo em lavoura de café.
Estar por dentro das tendências, novidades e conhecimentos técnicos do mercado agrícola cafeeiro, é o que pode te diferenciar entre os profissionais da área.
Aquele que busca se destacar e criar carreira na cafeicultura, precisa estar se atualizando constantemente, afinal, o Agro não para e está cada vez mais exigente.
Com o curso Gestão na Produção de Café Arábica, isso é possível! Professores atuantes em campo, vão te passar por meio de dados reais, atuais e validados, as técnicas para atingir a excelência de produção. Domine as principais técnicas e destaque-se no mercado cafeeiro!

O post Como calcular soma de bases, CTC’s, saturação por bases e saturação por alumínio? apareceu primeiro em Rehagro Blog.
]]>O post Fertilizante NPK: como fazer o cálculo de adubação para cafeeiros? apareceu primeiro em Rehagro Blog.
]]>A adubação é um aspecto muito importante que influencia na produtividade da cultura. Nesse sentido, um fornecimento adequado dos nutrientes tem interferência direta em seu crescimento.
Sem tempo para ler agora? Baixe este artigo em PDF!
Florada de cafeeiro adulto (Foto: Diego Baquião).
Para calcular a demanda de nitrogênio para lavouras de café em produção, é utilizada a fórmula da ProCafé, que considera a produtividade esperada para as safras seguintes:
Nessa fórmula, a demanda de N é calculada com base na produção esperada em sacas por hectare naquele ano agrícola, multiplicada por 2,6. Esse valor é somado a produção esperada na safra seguinte, em sacas por hectare, multiplicada por 3,6.
A partir desse cálculo, temos como resultado a quantidade de nitrogênio que deverá ser aplicada naquela safra em quilos por hectare.
Exemplo: Se naquele ano agrícola a produção esperada é de 40 sacas/ha e na safra seguinte é de 25 sacas/ha, temos:
Então, a demanda para essa lavoura é de 194 kg de Nitrogênio por hectare, que deve ser parcelada em pelo menos três adubações.
Após calculada a necessidade de nitrogênio por hectare e determinada a fonte a ser utilizada, faz-se o cálculo da quantidade de adubo nitrogenado considerando porcentagem de N em cada fonte.
Tabela 1. Fontes de fertilizantes nitrogenados que podem ser utilizadas.
Após calculada a dose de nitrogênio necessária e escolhido o fertilizante a ser utilizado, faz-se o cálculo considerando a eficiência (aproveitamento) da fonte. Para a utilização da fonte ureia se considera uma eficiência de 70%, já para a fonte de nitrato de amônio se considera 90%.
Os sintomas de deficiência de nitrogênio aparecem em folhas velhas, com clorose (amarelecimento) generalizada.
Folhas com sintomas de deficiência de Nitrogênio
Para recomendação de adubação com fósforo em lavouras de café, quando utilizado o extrator Mehlich 1, os técnicos trabalham com um intervalo entre o mínimo de fósforo no solo sendo 15 mg/dm>3 e um ideal de 25 mg/dm3. Para o extrator Resina é comum trabalhar com teores acima de 30 ou 40 mg/dm³ no solo.
A diferença entre os extratores Mehlich 1 e Resina é que o método de Mehlich 1 (ácido clorídrico + ácido sulfúrico) utiliza um extrator fortemente ácido. Dessa forma, esse método pode extrair o fósforo ligado ao cálcio, que não está disponível para as plantas.
Por isso, solos adubados com fosfatos de baixa solubilidade (como fosfatos naturais) e com a utilização desses extratores ácidos, é possível retirar quantidades de fósforo superiores àquelas consideradas disponíveis.
Além disso, em solos argilosos esse mesmo extrator pode subestimar os valores de P disponíveis, apresentando valores menores devido ao fato de os extratores serem mais desgastados nesses solos, quando comparados aos arenosos(Novais & Kamprath, 1979; Muniz at el., 1987).
Já o extrator Resina se fundamenta na premissa de simular o comportamento do sistema radicular das plantas na absorção de fósforo do solo (Raij, 1978). Esse processo gera a adsorção de P na solução nas cargas positivas da resina e, como consequência, há a remoção do P adsorvido na superfície das partículas do solo.
Dessa forma, a resina não superestima a disponibilidade de P em solos tratados com fosfatos naturais, como ocorre com os extratores ácidos.
Para elevar o nível de fósforo no solo, calcula-se com base na tabela de Souza et al. (2007) (Tabela 2.) Variando a quantidade de P2O5 com base no teor de argila e no extrator utilizado.
Por exemplo, um solo com teor de argila menor que 15%, é necessário 5 kg de P2O5 para elevar 1 mg/dm3 de fósforo, se utilizado o extrator Mehlich 1. Já se for utilizado o extrator Resina para o mesmo solo, é necessário a utilização de 6 kg de P2O5 para elevar 1 mg/dm3 de fósforo.
Tabela 2. Valores do fator CT (capacidade tampão de fósforo) para estimar a dose do adubo fosfatado, em função do teor de argila no solo, para os métodos de Mehlich 1 e resina.
Após calculada a necessidade de P2O5 por hectare e determinada a fonte de fósforo, faz-se o cálculo da quantidade de adubo fosfatado considerando porcentagem de P2O5 em cada fonte:
Tabela 3. Fontes de fertilizantes fosfatados que podem ser utilizadas.
Os sintomas de deficiência de fósforo aparecem inicialmente em folhas velhas, caracterizado por folhas verdes e sem brilho. Elas podem amarelecer e apresentar grandes manchas pardas ou violáceas na ponta e no meio.
Folhas com sintomas de deficiência de Fósforo
A recomendação de adubação para o potássio em lavouras adultas normalmente é trabalhada na manutenção com cerca de 120 mg/dm3 ou de 0,30 a 0,35 cmolc/dm3 no solo, adicionada a extração de potássio para produção e vegetação.
Por exemplo, se o solo possui teor de potássio de 100 mg/dm3 e você deseja que ele tenha 120 mg/dm3 de potássio:
20 mg/dm3 é o que eu preciso aumentar de potássio no solo, para que ele atinja 120 mg/dm3.
Em cmolc/ dm3 essa quantidade corresponde a: 0,05 cmolc/dm3 que preciso aumentar no meu solo (massa molar do potássio: 390).

Para aumentar 1 cmolc/dm3 é necessário 942 Kg de K2O por hectare:

Então, para que eu aumente 20 mg/dm3 ou 0,05 cmolc/dm>3 de potássio no meu solo eu preciso adicionar 47,1 Kg de K2O por hectare.
Para a produção é considerado 3,00 kg de K por saca e para vegetação 2,90 kg de K por saca. Considerando o mesmo exemplo do nitrogênio com produção esperada de 40 sacas/ha naquele ano agrícola e na safra seguinte de 25 sacas/ha.
Dessa forma, é demandado para a produção e vegetação 192,5 kg de K2O por hectare.
Para a adubação com potássio soma-se a quantidade demandada de potássio para atingir o teor pretendido no solo + teor de potássio para a produção e para a vegetação.
Resultando em uma demanda de 239,6 kg de K2O/ha. De acordo com essa quantidade demandada de potássio, escolhe-se a fonte que será utilizada e faz o cálculo da quantidade de fertilizante com base na porcentagem de K2O da fonte.
Após calculada a necessidade de potássio por hectare e determinada a fonte de potássio, faz-se o cálculo da quantidade de adubo potássico considerando porcentagem de K2O em cada fonte:
Tabela 4. Fontes de fertilizantes fosfatados
Das fontes citadas acima a mais utilizada é o cloreto de potássio devido ao seu menor custo quando comparado com outras fontes.
Os sintomas de deficiência de potássio aparecem inicialmente em folhas velhas, sendo esse sintoma caracterizado por clorose com posterior necrose nos bordos e no ápice das folhas.
Folhas com deficiência de Potássio
A cafeicultura é oscilante, mas nos últimos tempos, as safras têm ganhado cada vez mais destaque e valorização. Aquele que se prepara, produz mais, lucra mais e já consegue planejar os próximos passos para que a próxima safra seja ainda mais produtiva.
Se você busca esse resultado, comece se atualizando com as novas técnicas de mercado.
No curso online Gestão na Produção de Café Arábica, você aprenderá com quem entende do assunto, pois os professores atuam em fazendas comerciais e passarão o conhecimento a você. Não perca mais tempo e tire suas dúvidas:

O post Fertilizante NPK: como fazer o cálculo de adubação para cafeeiros? apareceu primeiro em Rehagro Blog.
]]>O post Cultura do cafeeiro: principais aspectos do manejo apareceu primeiro em Rehagro Blog.
]]>Se fosse pra opinar, de olho aqui no café, eu diria que sim: safras lucrativas sempre nascem de um plantio bem realizado.
Entretanto, a escolha certa da cultivar, um bom preparo de solo e uma implantação adequada são só o começo.
Na cafeicultura, os resultados colhidos serão sempre proporcionais à extensão dos cuidados que você teve ao longo do ano agrícola.
Quanto mais caprichado for o manejo, mais vigor a lavoura terá e, assim, poderá oferecer o melhor de si em forma de produtividade e qualidade.
Veja aqui as principais dicas das etapas desse manejo para você!
A calagem corrige a acidez do solo, um dos fatores que podem limitar a produtividade do cafeeiro. Assim, essa prática proporciona um aumento na disponibilidade de nutrientes.
Além disso, o calcário fornece cálcio (Ca) e magnésio (Mg), sendo que o teor deste último no solo é uma característica importante na escolha do calcário utilizado.
Para a adubação de lavouras em produção, os nutrientes nitrogênio (N) e potássio (K), que são demandados em maiores quantidades, devem ser parcelados em 3 ou 4 vezes.
Para a adubação nitrogenada, deve-se considerar 2,6 Kg de nitrogênio por saca de café na carga pendente + 3,6 kg de nitrogênio por saca para a safra futura.
Para a adubação com potássio considerar 3 kg de potássio por saca para produção + 2,9 kg de potássio por saca para vegetação. Trabalha-se com cerca de 0,3 a 0,35 cmolc/dm3 de potássio.
Para o fósforo, considerando o extrator Mehlich, trabalha-se com um mínimo de 15 mg/dm3, sendo o um ideal 25 mg/dm3.
Atenção!
É importante estar atento ao equilíbrio dos nutrientes cálcio, magnésio e potássio (Ca: Mg: K), sendo de 9:3:1 ou 25:5:1, o que muitas vezes não é atingido devido ao uso exagerado da adubação potássica associada ao fornecimento deficiente de magnésio.
O bicho mineiro (Leucoptera coffeella) é uma das principais pragas do cafeeiro no Brasil. Quando há perda de controle dessa praga, ocorre uma alta desfolha, o que causa uma grande perda de produtividade. Essa praga recebe esse nome por causar lesões e deixar um vazio entre as duas epidermes, as populares “minas”. O bicho mineiro é favorecido por períodos de seca e estiagem prolongada.
A broca do café (hypothenemus hampei) é a segunda praga mais importante em cafeeiro arábica no Brasil. Os danos são causados pelas larvas que se alimentam dos grãos de café, acarretando depreciação do tipo do café e perda de peso. Além disso, esses orifícios causados pela broca podem servir de porta de entrada para patógenos, podendo causar fermentações indesejáveis, afetando a qualidade.
A ferrugem do cafeeiro, cujo agente causal é o fungo Hemileia vastatrix, é considerada a doença mais importante na cafeicultura, uma vez que pode causar uma intensa desfolha precoce, afetando a safra atual e até mesmo a safra seguinte.
Condições de alta umidade, ambientes sombreados, lavoura adensada e alta carga pendente favorecem a doença.
Mancha de olho pardo ou Cercosporiose é uma doença causada pelo fungo Cercospora coffeicola BerK. & Cooke, que invade e mata as células, nutrindo-se delas.
Afeta o crescimento e desenvolvimento das plantas e também tem impacto em lavouras adultas, causando desfolha intensa.
Outras doenças também podem acometer o cafeeiro, como a Mancha-de-Phoma, causada pelo agente etiológico Phoma tarda, e a Mancha Aureolada, causada pela bactéria Pseudomonas Syringae.
As plantas daninhas competem com o cafeeiro por água, luz e nutrientes, causando perdas na produtividade. Nesse sentido, o manejo com a utilização da braquiária na entrelinha do cafeeiro torna-se uma ótima ferramenta para manejar as plantas invasoras.

Lavoura de café adulta com braquiária na entrelinha (Foto: Diego Baquião)
É importante que se mantenha uma distância de 1 metro de cada lado da linha do cafeeiro, para não haver competição. Antes do florescimento, essa braquiária é roçada e sua biomassa é colocada na projeção da saia do café, atuando na proteção do solo e retenção de umidade.
Conhecer o tipo de poda recomendado ao cafeeiro de acordo com as condições da lavoura é um aspecto muito importante. Os principais tipos são:
Em relação à época de realização, ela deve ser feita logo após a colheita, para que a planta tenha mais tempo de se recuperar e, dessa forma, não comprometer os resultados de produção das safras seguintes.
Lembre-se!
Cada etapa do manejo é como um tijolo na construção de safras de sucesso.
Não se esqueça de que quanto mais bem feita essa construção, mais sólidos serão seus resultados em termos de produtividade e qualidade.
Estar por dentro das tendências, novidades e conhecimentos técnicos do mercado agrícola cafeeiro, é o que pode te diferenciar entre os profissionais da área.
Aquele que busca se destacar e criar carreira na cafeicultura, precisa estar se atualizando constantemente, afinal, o Agro não para e está cada vez mais exigente.
Com o curso Gestão na Produção de Café, isso é possível! Professores atuantes em campo, vão te passar por meio de dados reais, atuais e validados, as técnicas para atingir a excelência de produção. Domine as principais técnicas e destaque-se no mercado cafeeiro!

O post Cultura do cafeeiro: principais aspectos do manejo apareceu primeiro em Rehagro Blog.
]]>